Physics Exam  >  Physics Notes  >  Oscillations, Waves & Optics  >  Interference of light

Interference of light | Oscillations, Waves & Optics - Physics PDF Download

Introduction

When the two waves of the same frequency travel in approximately the same direction

and have a constant phase difference the resultant intensity of the light is not distributed

uniformly in space. The non uniform distribution of light intensity due to superposition of

two waves is called interference.

At some points the intensity is a maximum and the interference at these points is called

constructive interference at some other points, the intensity is a minimum (possibly even

zero) and the interference at these points is called destructive interference.

Usually when two lights waves are made to interfere, we get alternate dark and bright

bands of a regular or irregular shape.

Young’s double slit Experiment

Purpose of this experiment is to demonstrate the fundamental properties of light

diffraction and interference patters.

Interference of light | Oscillations, Waves & Optics - Physics

Let S1 and S2 represent the two pinholes of Young’s interference experiment. We want

to determine the positions of maxima and of minima on line LL′ !which is parallel to the

y axis and lies in the plane containing points S, S1 and S. We will show that the

interference pattern (around point O) consists of a series of dark and bright lines.

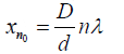
For an arbitrary point P (on line LL′ ) to correspond to a maximum or minima,

S2P − S1P = nλ

Now, (S2P)2 - (S1P)2 = Interference of light | Oscillations, Waves & Optics - Physics

= 2ynd

⇒ S2P − S1P = Interference of light | Oscillations, Waves & Optics - Physics

If yn, d << D , then negligible error will be introduced if S2P + S1P is replaced by 2D

S2P − S1P = Interference of light | Oscillations, Waves & Optics - Physics

Thus, the dark and bright fringes are equally spaced, and the distance between two

consecutive dark (or bright) fringes is given by

β = yn+1 - yn = λD/d, which is the expression for the fringe width.

The Intensity Distribution

Let E1 and E2 be the electric fields produced at point P by S1 and S2 , respectively. The

electric fields E1 and E2 will, in general, have different directions and different

magnitudes. However, if the distances S1P and S2P are very large in comparison to the

distance S1S2 , the two fields will almost be in the same direction. Thus, we may write

Interference of light | Oscillations, Waves & Optics - Physics

Interference of light | Oscillations, Waves & Optics - Physics

Where, ˆi represents the unit vector along the direction of either of the electric fields. The

resultant field is given by

E = E1 + E2 = Interference of light | Oscillations, Waves & Optics - Physics

The intensity I is proportional to the square of the electric field and is given by I = KE2

Interference of light | Oscillations, Waves & Optics - Physics

I = Interference of light | Oscillations, Waves & Optics - Physics 

+ Interference of light | Oscillations, Waves & Optics - Physics

where K is a proportionality constant.

The factor cos (ωt −φ ) will oscillate between +1 and –1, and its average will be zero,

whereas average value of cos2 (ωt −φ ) is 1/ 2 .

Thus the intensity, that a detector will record, will be given by

I = I1 + I2 + 2√I1I2cosδ ,

where δ = Interference of light | Oscillations, Waves & Optics - Physics represents the phase difference between the displacements reaching point P from S1 and S2

Further I1 = Interference of light | Oscillations, Waves & Optics - Physics and I2 = 1/2KE202 represents the intensity produced by source S1 and from S2 on the screen.

Condition of Maximum Intensity

The maximum values of cosδ is +1. Therefore the maximum values of I is given by

Imax = Interference of light | Oscillations, Waves & Optics - Physics

The maximum intensity occurs when, Phase difference: δ = 2nπ ; n = 0,1,2,......

or Path difference: S2P − S1P = nλ

Condition of Minimum Intensity

The minimum values of cosδ is −1, as a result the minimum values of I is given by

Interference of light | Oscillations, Waves & Optics - Physics

The minimum intensity occurs when Phase difference: δ = (2n +1)π ; n = 0,1, 2,......

or Path difference: S2P − S1P = Interference of light | Oscillations, Waves & Optics - Physics

Intensity when S1P and S2P are extremely large

If the distances S1P and S2P are extremely large in comparison to d , then I1 ≅ I2 = I0

and

I = 2I0 + 2I0 cosδ = 4I0 cos2 δ / 2

The intensity distribution is shown in below

Interference of light | Oscillations, Waves & Optics - Physics

Conditions for sustained Interference

  • The two interfering waves should be coherent
  • The two waves should be of same frequency
  • If the interfering waves are polarized, they must be in the same state of polarization.

Conditions for observation

  • The spacing between the light sources (d) should be as small as possible.
  • The distance (D)of the screen from the two sources should be quite large.

Conditions for good contrast

  • The amplitudes of the interfering waves should be equal or at least very nearly equal.
  • The two sources must be narrow.
  • The two sources should give monochromatic or very nearly monochromatic light, or else the path difference should be very small.

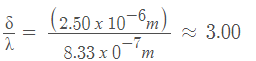
Example 1: Suppose in the double-slit arrangement, d = 0.150mm , D = 120cm, λ = 833nm, and y = 2.00cm.
(a) What is the path difference δ for the rays from the two slits arriving at point P? 
(b) Express this path difference in terms of λ
(c) Does point P correspond to maximum, a minimum, or an intermediate condition?

(a) The path difference is given byδ = d sinθ . When D >> y,θ is small and we can make the approximation sinθ ≈ tanθ =  y/D. Thus,

Interference of light | Oscillations, Waves & Optics - Physics

= 2.50 x 10-6m

(b) From the answer in part (a), we have Interference of light | Oscillations, Waves & Optics - Physics or δ = 3.00λ

(c) Since the path difference is an integer multiple of the wavelength the intensity at point

P is a maximum.


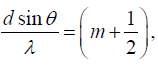
Example 2: In Young’s double-slit experiment, suppose the separation between the two slits is d = 0.320 mm. If a beam of 500 nm light strike the slits and produces an interference pattern. How many maxima will there be in the angular range −45.0o <θ < 45.0o ?

On the viewing screen, light intensity is a maximum when the two waves

interfere constructively. This occurs when

d sinθ = nλ,       n = 0, ±1, ±2...

where λ is the wavelength of the light. Atθ = 45.0o , d = 3.20×10−4m and λ = 500×10−9m, we get n = Interference of light | Oscillations, Waves & Optics - Physics= 452.5

Thus, there are 452 maxima in the range0 <θ < 45.5o . By symmetry, there are also 452 maxima in the range −45.0o < θ < 0 . Including the one for n = 0 straight ahead, the total number of maxima is N = 452 + 452 + 1 = 905


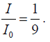
Example 3: Let the intensity on the screen at a point P in a double slit interference pattern be 60.0% of the maximum value
(a) What is the minimum phase difference (in radians) between sources?
(b) In (a), what is the corresponding path difference if the wavelength of light is λ = 500nm?

(a) The intensity I= Interference of light | Oscillations, Waves & Optics - Physics where Imax is the maximum light intensity.

Thus, 0.60 cos2Interference of light | Oscillations, Waves & Optics - Physics ⇒δ = 2cos−1(√0.60) = 78.5o =1.37 rad

(b) The phase difference δ is related to the path difference Δ and the wavelength λ by

Δ =Interference of light | Oscillations, Waves & Optics - Physics= Interference of light | Oscillations, Waves & Optics - Physics= 109nm


Intensity of Three Slit Interference

Suppose a monochromatic coherent source of light passes through three parallel slits,

each separated by a distance d from its neighbor, as shown in following FigureInterference of light | Oscillations, Waves & Optics - Physics

The waves have the same amplitude E0 and angular frequencyω , but a constant phase

difference δ = Interference of light | Oscillations, Waves & Optics - Physics


Example 4: Show that the intensity is I = Interference of light | Oscillations, Waves & Optics - Physicswhere I0 is the maximum intensity associated with the primary maxima.
(b) What is the ratio of the intensities of the primary and secondary maxima?

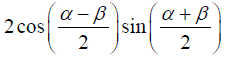
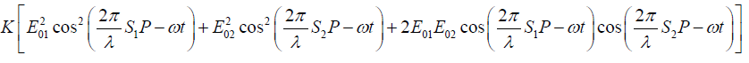
(a) Let the three waves emerging from the slits be

E1 = E0 sinωt, E2 = E0 sin ω t +δ, E3 = E0 sin ω t + 2δ

Using the trigonometric identity sinα + sinβ = Interference of light | Oscillations, Waves & Optics - Physics

The sum of E1 and E3 is

E1 + E3 = E0[sinω t + sin ω t + 2δ] = 2E0 cosδ sin (ωt + δ)

The total electric field at the point P on the screen is

E = E1 + E2 + E3 = 2E0 cosδ sin(ωt +δ) + E0 sin (ωt +δ) = E0(1+ 2cosδ) sin (ωt + δ)

where δ = Interference of light | Oscillations, Waves & Optics - Physics

The intensity is proportional to E2 , thus

Interference of light | Oscillations, Waves & Optics - Physics

= Interference of light | Oscillations, Waves & Optics - Physics

Interference of light | Oscillations, Waves & Optics - Physics

The maximum intensity I0 is attained when cosδ =1, thus I0 = Interference of light | Oscillations, Waves & Optics - Physics

Thus,

Interference of light | Oscillations, Waves & Optics - Physics

(b) The interference pattern is shown in following figure

Interference of light | Oscillations, Waves & Optics - Physics

Form the figure, we see that the minimum intensity is zero, and occurs when cosδ = -1/2

The condition for primary maxima is cosδ = +1, which gives Interference of light | Oscillations, Waves & Optics - Physics

In addition, there are also secondary maxima which are located at cosδ = −1. The

condition implies

δ = (2m+ 1)π

Interference of light | Oscillations, Waves & Optics - PhysicsInterference of light | Oscillations, Waves & Optics - Physics

The intensity ratio is Interference of light | Oscillations, Waves & Optics - Physics


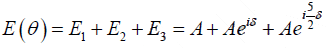
Example 5: Consider the interference pattern from the three slits illustrated (shown in figure). Assume the openings of the individual slits are the same Interference of light | Oscillations, Waves & Optics - Physics.At what value of θ is the first principal maximum? (i.e., the wavelets from all three slits are in phase).
Interference of light | Oscillations, Waves & Optics - Physics

The electric field E(θ ) on the screen is the sum of the fields produced by the slits individually:
Interference of light | Oscillations, Waves & Optics - Physics

where Interference of light | Oscillations, Waves & Optics - Physics

Then the total intensity at θ is

Interference of light | Oscillations, Waves & Optics - Physics

For θ = 0 , we have I (0) ~ 9A2 .

The expression for I (θ ) shows that the first principal maximum occurs at δ = 2π , i.e.,

Interference of light | Oscillations, Waves & Optics - Physics


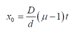
Displacement of Fringes by the introduction of a thin Lamina Sheet

When a thin transparent plate, say of glass or mica, is introduced in the path of one of the

two interfering beams, the entire fringe-pattern is displaced to a point towards the beam

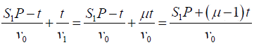
in the path of which the plate is introduced. Let a thin plate of thickness t be introduced in the path of light from S1Interference of light | Oscillations, Waves & Optics - PhysicsLet μ be the refractive index of the plate for the monochromatic light employed. Time taken for the journey from S1 to P

Interference of light | Oscillations, Waves & Optics - Physics

v0 = velocity of light in air &

v1 = velocity of light in plate

Hence the effective path in air from S1 to P is Interference of light | Oscillations, Waves & Optics - Physics

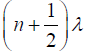
At any point P , effective path difference

=Interference of light | Oscillations, Waves & Optics - Physics

For bright fringe Interference of light | Oscillations, Waves & Optics - Physics

In the absence of the plate t = 0 ;Interference of light | Oscillations, Waves & Optics - Physics

Thus the displacement of nth fringeInterference of light | Oscillations, Waves & Optics - Physics

This expression is independent of n so that the displacement of any dark fringe is also

Interference of light | Oscillations, Waves & Optics - Physics

What Are Interference Fringes?

  • As laser light is diffracted through the two barrier slits, each diffracted wave meets the other in a series of steps, as illustrated in Figure 4 (and graphically in the interactive tutorial described above). 
  • Sometimes the waves meet in step (or in phase; constructive interference), sometimes they meet out of step (or out of phase; destructive interference), and sometimes they meet partially in step. 
  • When the waves meet in step, they add together owing to constructive interference, and a bright area is displayed on the screen. 
  • In areas where the waves meet totally out of step, they will subtract from each other owning to destructive interference, and a dark area will appear in that portion of the screen. 
  • The resulting patterns on the screen, a product of interference between the two diffracted beams of laser light, are often referred to as interference fringes.

Interference of light | Oscillations, Waves & Optics - Physics

  • Other types of experiments have been devised to demonstrate the wave-like nature of light and interference effects. 
  • Most notable are the single mirror experiment of Humphrey Lloyd and the double mirror and biprism experiments devised by Augustin Fresnel.

Newton’s Rings Experiment

  • Sir Isaac Newton, the famous 17th century mathematician and physicist, was one of the first scientists to study interference phenomena. 
  • In his famous Newton's Rings experiment, he placed a convex lens of large curvature radius on a flat glass plate and applied pressure to hold the lens and glass plate together. 
  • When he viewed the plates through reflected sunlight, he observed a series of concentric light and dark highly colored bands of light similar to those illustrated in Figure 5. 
  • Newton recognized that the rings indicated the presence of some degree of periodicity and used this observation to suggest a wave theory of light. 
  • Despite this, Newton regarded light as a stream of particles.
  • Interference of light | Oscillations, Waves & Optics - PhysicsThe rings occur because of a thin layer of air that exists between the curved convex and flat glass surfaces. 
  • Light reflected from the top and bottom surfaces of the glass is superimposed (combined) and produces interference patterns that appear as colored rings. 
  • This principle is often used by lens manufacturers to test the uniformity of large polished surfaces.
The document Interference of light | Oscillations, Waves & Optics - Physics is a part of the Physics Course Oscillations, Waves & Optics.
All you need of Physics at this link: Physics
54 videos|22 docs|14 tests

FAQs on Interference of light - Oscillations, Waves & Optics - Physics

1. What is Young's double slit experiment?
Ans. Young's double slit experiment is a classic experiment in physics that demonstrates the wave nature of light. It involves shining a beam of light through two closely spaced slits and observing the resulting interference pattern on a screen.
2. How does the intensity distribution in Young's double slit experiment vary?
Ans. The intensity distribution in Young's double slit experiment varies in the form of bright and dark fringes. The bright fringes correspond to regions of constructive interference, where the crests of the two diffracted waves from the slits coincide. The dark fringes correspond to regions of destructive interference, where the crests of one wave coincide with the troughs of the other wave.
3. What is the condition for maximum intensity in Young's double slit experiment?
Ans. The condition for maximum intensity in Young's double slit experiment occurs when the path difference between the two diffracted waves from the slits is an integer multiple of the wavelength of the light. This leads to constructive interference and the formation of bright fringes.
4. What is the condition for minimum intensity in Young's double slit experiment?
Ans. The condition for minimum intensity in Young's double slit experiment occurs when the path difference between the two diffracted waves from the slits is a half-integer multiple of the wavelength of the light. This leads to destructive interference and the formation of dark fringes.
5. How does the introduction of a thin lamina sheet affect the fringes in Young's double slit experiment?
Ans. The introduction of a thin lamina sheet causes a displacement of the fringes in Young's double slit experiment. This displacement is known as the displacement of fringes. It occurs because the lamina sheet introduces an additional phase difference between the two diffracted waves, leading to a shift in the interference pattern on the screen.
Related Searches

Summary

,

Objective type Questions

,

Interference of light | Oscillations

,

Viva Questions

,

Previous Year Questions with Solutions

,

Interference of light | Oscillations

,

Sample Paper

,

video lectures

,

Semester Notes

,

MCQs

,

Waves & Optics - Physics

,

pdf

,

Important questions

,

Exam

,

Free

,

Extra Questions

,

study material

,

practice quizzes

,

Waves & Optics - Physics

,

Interference of light | Oscillations

,

past year papers

,

mock tests for examination

,

ppt

,

Waves & Optics - Physics

,

shortcuts and tricks

;