Physics Exam  >  Physics Notes  >  Electricity & Magnetism  >  Electric Dipole, Multipole Expansions & Polarisation

Electric Dipole, Multipole Expansions & Polarisation | Electricity & Magnetism - Physics PDF Download

Electric Dipole

An electric dipole is composed of two charges, each with a magnitude of ±q, separated by a distance d. Its dipole moment is given by p = qd, with the direction extending from the -q to the +q charge.

Electric DipoleElectric Dipole


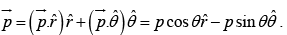
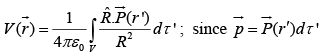
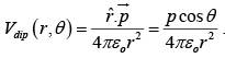
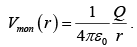
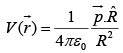
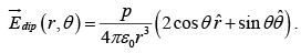
Electric Potential and Field of a Dipole

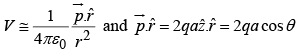
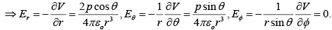
If we choose coordinates so that Electric Dipole, Multipole Expansions & Polarisation | Electricity & Magnetism - Physics(dipole moment) lies at the origin and points in the z direction, then the potential at (r,θ ) is:Electric Dipole, Multipole Expansions & Polarisation | Electricity & Magnetism - Physics


Electric Dipole, Multipole Expansions & Polarisation | Electricity & Magnetism - Physics

Since,
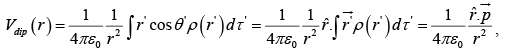
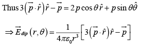
Electric Dipole, Multipole Expansions & Polarisation | Electricity & Magnetism - PhysicsElectric Dipole, Multipole Expansions & Polarisation | Electricity & Magnetism - PhysicsThe electric field of a dipole:Electric Dipole, Multipole Expansions & Polarisation | Electricity & Magnetism - Physics

We can express
Electric Dipole, Multipole Expansions & Polarisation | Electricity & Magnetism - Physics

Electric Dipole, Multipole Expansions & Polarisation | Electricity & Magnetism - Physics

Note:

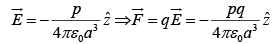
(a) A dipole is placed in a uniform electric field Electric Dipole, Multipole Expansions & Polarisation | Electricity & Magnetism - Physics experiences a net force on the dipole that is zero but it experiences a torque Electric Dipole, Multipole Expansions & Polarisation | Electricity & Magnetism - Physics

(b) In a non-uniform field, dipoles have a net force, Electric Dipole, Multipole Expansions & Polarisation | Electricity & Magnetism - Physics

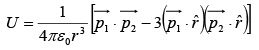
(c) Energy of an ideal dipole Electric Dipole, Multipole Expansions & Polarisation | Electricity & Magnetism - Physics in an electric field Electric Dipole, Multipole Expansions & Polarisation | Electricity & Magnetism - Physics (d) Interaction energy of two dipoles separated by a distance Electric Dipole, Multipole Expansions & Polarisation | Electricity & Magnetism - Physics isElectric Dipole, Multipole Expansions & Polarisation | Electricity & Magnetism - Physics

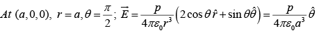
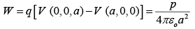
Example 1: A “pure” dipole Electric Dipole, Multipole Expansions & Polarisation | Electricity & Magnetism - Physics is situated at the origin, pointing in the z-direction(a) What is the force on a point charge q at ( a,0,0 ) ?(b) What is the force on q at ( 0, 0, a)?
(c) How much work does it take to move q from ( a,0,0 ) to ( 0, 0, a )? 

(a)Electric Dipole, Multipole Expansions & Polarisation | Electricity & Magnetism - PhysicsElectric Dipole, Multipole Expansions & Polarisation | Electricity & Magnetism - Physics

(b)Electric Dipole, Multipole Expansions & Polarisation | Electricity & Magnetism - Physics

(c)Electric Dipole, Multipole Expansions & Polarisation | Electricity & Magnetism - PhysicsElectric Dipole, Multipole Expansions & Polarisation | Electricity & Magnetism - Physics


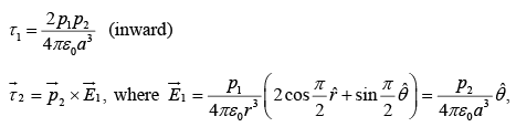
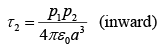
Example 2: In figure Electric Dipole, Multipole Expansions & Polarisation | Electricity & Magnetism - Physics and Electric Dipole, Multipole Expansions & Polarisation | Electricity & Magnetism - Physics are (perfect) dipoles a distance r apart. What is the torque on Electric Dipole, Multipole Expansions & Polarisation | Electricity & Magnetism - Physics due to Electric Dipole, Multipole Expansions & Polarisation | Electricity & Magnetism - Physics ? What is the torque on Electric Dipole, Multipole Expansions & Polarisation | Electricity & Magnetism - Physics due to Electric Dipole, Multipole Expansions & Polarisation | Electricity & Magnetism - Physics ?

Electric Dipole, Multipole Expansions & Polarisation | Electricity & Magnetism - Physics

Electric Dipole, Multipole Expansions & Polarisation | Electricity & Magnetism - Physics
Electric Dipole, Multipole Expansions & Polarisation | Electricity & Magnetism - Physics
Electric Dipole, Multipole Expansions & Polarisation | Electricity & Magnetism - Physics


Approximate potential at large distances 

Approximate potential at large distances due to arbitrary localized charge distribution
Electric Dipole, Multipole Expansions & Polarisation | Electricity & Magnetism - Physics

Electric Dipole, Multipole Expansions & Polarisation | Electricity & Magnetism - Physics

The first term ( n = 0) is the monopole contribution (it goes like 1/r). The second term ( n = 1) is the dipole term (it goes like 1/r2. The third term is quadrupole; the fourth is octopole and so on.
The lowest nonzero term in the expansion provides the approximate potential at large r and the successive terms tell us how to improve the approximation if greater precision is required.

The Monopole and Dipole Terms

Ordinarily, the multipole expansion is dominated (at large r) by the monopole term:
Electric Dipole, Multipole Expansions & Polarisation | Electricity & Magnetism - Physics 

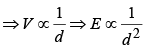
where Electric Dipole, Multipole Expansions & Polarisation | Electricity & Magnetism - Physics is the total charge of the configuration? If the total charge is zero, the dominant term in the potential will be the dipole (unless, of course, it also vanishes):Electric Dipole, Multipole Expansions & Polarisation | Electricity & Magnetism - Physics 

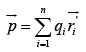
where dipole moment Electric Dipole, Multipole Expansions & Polarisation | Electricity & Magnetism - PhysicsThe dipole moment is determined by the geometry (size, shape, and density) of the charge distribution. The dipole moment of a collection of point charges isElectric Dipole, Multipole Expansions & Polarisation | Electricity & Magnetism - Physics

Note: Ordinarily, the dipole moment does change when we shift the origin, but there is an important exception: If the total charge is zero, then the dipole moment is independent of the choice of origin.

Example 3: Find the approximate potential for points on the z–axis, far from the sphere. Four particles of charges q , 3q , −2q and −2q are placed as shown in the figure, each a distance a from the origin. Find a simple approximate formula for the potential, valid at points far from the origin. 

Electric Dipole, Multipole Expansions & Polarisation | Electricity & Magnetism - Physics

Net dipole moment
Electric Dipole, Multipole Expansions & Polarisation | Electricity & Magnetism - Physics ThereforeElectric Dipole, Multipole Expansions & Polarisation | Electricity & Magnetism - Physics

Electric Dipole, Multipole Expansions & Polarisation | Electricity & Magnetism - Physics

Example 4: An insulating sphere of radius R carries a charge density
Electric Dipole, Multipole Expansions & Polarisation | Electricity & Magnetism - PhysicsFind the leading order term for the electric field at a distance d , far away from the charge distribution.

Electric Dipole, Multipole Expansions & Polarisation | Electricity & Magnetism - PhysicsElectric Dipole, Multipole Expansions & Polarisation | Electricity & Magnetism - Physics


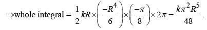
Example 5: A sphere of radius R, centered at the origin, carries charge density Electric Dipole, Multipole Expansions & Polarisation | Electricity & Magnetism - Physics where k is a constant, and r , θ are the usual spherical coordinates.

Monopole term:
Electric Dipole, Multipole Expansions & Polarisation | Electricity & Magnetism - Physics

Since the r integral is Electric Dipole, Multipole Expansions & Polarisation | Electricity & Magnetism - Physics
Dipole term:
Electric Dipole, Multipole Expansions & Polarisation | Electricity & Magnetism - Physics
Since the integral is
Electric Dipole, Multipole Expansions & Polarisation | Electricity & Magnetism - Physics
Quadrupole term:
Electric Dipole, Multipole Expansions & Polarisation | Electricity & Magnetism - Physics 
r integral :
Electric Dipole, Multipole Expansions & Polarisation | Electricity & Magnetism - Physics

θ integral:
Electric Dipole, Multipole Expansions & Polarisation | Electricity & Magnetism - Physics
φ integral:
Electric Dipole, Multipole Expansions & Polarisation | Electricity & Magnetism - Physics

Electric Dipole, Multipole Expansions & Polarisation | Electricity & Magnetism - Physics

For point P on the z –axis ( r →z) the approximate potential is
Electric Dipole, Multipole Expansions & Polarisation | Electricity & Magnetism - Physics

Polarization

When a dielectric material is placed in an external field, neutral atoms in the substance will develop a small induced dipole moment aligned with the field. If the material consists of polar molecules, each permanent dipole will experience a torque that aligns it along the field direction. However, random thermal motions interfere with this alignment process, so complete alignment is never achieved, especially at higher temperatures, and the alignment disappears almost immediately when the field is removed.

(Polarization) ≡ dipole moment per unit volume.

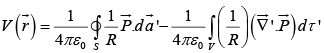
The Field of a Polarized Object (Bound Charges)

Suppose we have a piece of polarized material with a polarization vector Electric Dipole, Multipole Expansions & Polarisation | Electricity & Magnetism - Physics containing a lot of microscopic dipoles lined up. 

Electric Dipole, Multipole Expansions & Polarisation | Electricity & Magnetism - Physics

For a single dipole of dipole moment Electric Dipole, Multipole Expansions & Polarisation | Electricity & Magnetism - Physics we have Electric Dipole, Multipole Expansions & Polarisation | Electricity & Magnetism - Physics where Electric Dipole, Multipole Expansions & Polarisation | Electricity & Magnetism - Physics is the vector from the dipole to the point at which we are evaluating the potential. 

Thus,
Electric Dipole, Multipole Expansions & Polarisation | Electricity & Magnetism - Physics

By solving the above equation, we get
Electric Dipole, Multipole Expansions & Polarisation | Electricity & Magnetism - Physics
The first term looks like the potential of a surface-bound charge Electric Dipole, Multipole Expansions & Polarisation | Electricity & Magnetism - Physics (where 

Electric Dipole, Multipole Expansions & Polarisation | Electricity & Magnetism - Physics is the normal unit vector)
The second term looks like the potential for a volume-bound charge Electric Dipole, Multipole Expansions & Polarisation | Electricity & Magnetism - Physics
Thus the potential (and hence also the field) of a polarized object is the same as that produced by a volume charge density Electric Dipole, Multipole Expansions & Polarisation | Electricity & Magnetism - Physics plus a surface charge density 

Electric Dipole, Multipole Expansions & Polarisation | Electricity & Magnetism - Physics

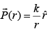
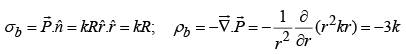
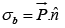
Example 6: A sphere of radius R carries a polarization Electric Dipole, Multipole Expansions & Polarisation | Electricity & Magnetism - Physics where K is a constant and Electric Dipole, Multipole Expansions & Polarisation | Electricity & Magnetism - Physics  is the vector from the center.
(a) Calculate the bound charges σb and ρb.
(b) Find the field inside and outside the sphere.

(a) Electric Dipole, Multipole Expansions & Polarisation | Electricity & Magnetism - Physics 
(b) For r <R ;
Electric Dipole, Multipole Expansions & Polarisation | Electricity & Magnetism - Physics 
For r >R ; same as if all charge at center; but  
Electric Dipole, Multipole Expansions & Polarisation | Electricity & Magnetism - Physics

Example 7: Consider a sphere of radius R with a polarization �=��2P=Kr2, where K is a constant and r is the vector from the center of the sphere. (a) Calculate the bound surface charge density (��σb) and volume charge density (��ρb). (b) Determine the electric field both inside and outside the sphere.

Solution: 

(a) Bound charge densities:

The bound surface charge density ��σb is given by:

Electric Dipole, Multipole Expansions & Polarisation | Electricity & Magnetism - Physics

where �^n^ is the unit normal vector to the surface. Since �=��2P=Kr2 and r points outward from the center, we have �^=�^n^=r^. Therefore, 

Electric Dipole, Multipole Expansions & Polarisation | Electricity & Magnetism - Physics

The bound volume charge density ��ρb is given by:

Electric Dipole, Multipole Expansions & Polarisation | Electricity & Magnetism - Physics

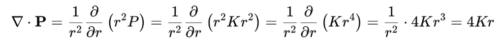
Since �=��2P=Kr2, the divergence of P is:

Electric Dipole, Multipole Expansions & Polarisation | Electricity & Magnetism - PhysicsSo, inside the sphere, the electric field is Electric Dipole, Multipole Expansions & Polarisation | Electricity & Magnetism - Physicsin the radial direction. 

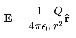
Outside the sphere (�>�r>R), the electric field is the same as if the sphere were uniformly charged, which is:

Electric Dipole, Multipole Expansions & Polarisation | Electricity & Magnetism - Physics

where Q is the total charge enclosed by the sphere. Since the polarization is �=��2P=Kr2, the total charge Q is given by the volume integral of ∇⋅�P over the sphere, which equals the volume integral of 4��4Kr over the sphere, and this equals 4��34KR3. Therefore, Electric Dipole, Multipole Expansions & Polarisation | Electricity & Magnetism - Physics

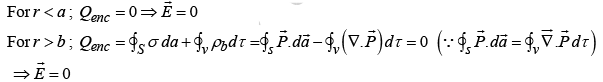
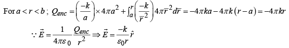
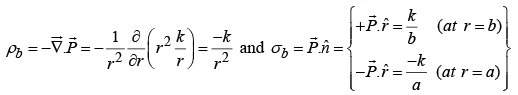
�=14��04��3�2�^=��3Example 7: A thick spherical shell (inner radius a and outer radius b ) is made of dielectric material with a polarization Electric Dipole, Multipole Expansions & Polarisation | Electricity & Magnetism - Physics where k is a constant and r is the distance from the center. Find the electric field in all three regions. 
Electric Dipole, Multipole Expansions & Polarisation | Electricity & Magnetism - Physics

Solution:

Electric Dipole, Multipole Expansions & Polarisation | Electricity & Magnetism - Physics
Electric Dipole, Multipole Expansions & Polarisation | Electricity & Magnetism - Physics

Electric Dipole, Multipole Expansions & Polarisation | Electricity & Magnetism - Physics

The document Electric Dipole, Multipole Expansions & Polarisation | Electricity & Magnetism - Physics is a part of the Physics Course Electricity & Magnetism.
All you need of Physics at this link: Physics
82 videos|32 docs|22 tests

FAQs on Electric Dipole, Multipole Expansions & Polarisation - Electricity & Magnetism - Physics

1. How are multipole expansions used in physics and engineering?
Ans. Multipole expansions are used to approximate complex functions or fields by simpler expressions involving a series of terms. They are commonly used in physics and engineering to analyze systems with spherical or cylindrical symmetry, such as electromagnetic fields around antennas or gravitational fields around celestial bodies.
2. What are the different types of multipole expansions?
Ans. The most common types of multipole expansions are the monopole, dipole, quadrupole, octupole, and higher-order moments. Each type corresponds to a different level of complexity in the approximation of a field or function.
3. How do you calculate the coefficients in a multipole expansion?
Ans. The coefficients in a multipole expansion can be calculated by integrating the field or function over the appropriate volume or surface, depending on the type of multipole. The coefficients represent the strength and orientation of the corresponding moment in the expansion.
4. What is the physical significance of the multipole moments in a multipole expansion?
Ans. The multipole moments in a multipole expansion represent the distribution of charge, mass, or other physical quantities within a system. They provide insight into the symmetry and structure of the system, as well as how it interacts with external fields.
5. How accurate are multipole expansions in approximating complex fields or functions?
Ans. The accuracy of a multipole expansion depends on the number of terms included in the series and the distance from the center of symmetry. In general, multipole expansions are most accurate for systems with well-defined symmetry and become less accurate for complex or asymmetric systems.
Related Searches

Electric Dipole

,

Exam

,

MCQs

,

mock tests for examination

,

Objective type Questions

,

pdf

,

Semester Notes

,

Summary

,

past year papers

,

Previous Year Questions with Solutions

,

Sample Paper

,

Important questions

,

ppt

,

practice quizzes

,

Multipole Expansions & Polarisation | Electricity & Magnetism - Physics

,

shortcuts and tricks

,

Extra Questions

,

study material

,

Free

,

Viva Questions

,

Multipole Expansions & Polarisation | Electricity & Magnetism - Physics

,

video lectures

,

Multipole Expansions & Polarisation | Electricity & Magnetism - Physics

,

Electric Dipole

,

Electric Dipole

;