Physics Exam  >  Physics Notes  >  Oscillations, Waves & Optics  >  Differential Equation for Simple Harmonic Oscillator

Differential Equation for Simple Harmonic Oscillator | Oscillations, Waves & Optics - Physics PDF Download

Simple Harmonic Oscillation

Periodic motion: A motion said to be periodic if, after some set amount of time it returns

to its starting point and begins to repeat its motion.

Example: Earth rotation around sun, Movement of Clock Arm, Electron motion around

nucleus, simple pendulum, and spring loaded mass etc.

Simple Harmonic Motion: Simple harmonic motion is the motion of a mass when it is

subject to the linear restoring force which is proportional but opposite to the displacement

of the mass.

Example: Motion of spring loaded mass, simple pendulum, atomic vibration etc.

Important Terms

Cycle: The motion of the object from a starting position back to its starting position is called a cycle

Time Period: The time it takes to complete one cycle is called the time period(T ).

Frequency: The frequency ( f ) is the number of cycles per unit time.

Amplitude: The maximum displacement of the mass from its equilibrium position is

called the amplitude ( A) .

Phase: how much of a cycle the system completed (system that begins is in phase zero,

system which completed half a cycle is in phaseπ ).

Differential Equation for Simple Harmonic Oscillator | Oscillations, Waves & Optics - Physics

Equilibrium position: The position about which an object in harmonic motion oscillates;

the center of vibration.

Hooke’s law: law that states that the restoring force applied by a spring is proportional to

the displacement of the spring and opposite in direction.

Restoring force: The force acting on an oscillating object which is proportional to the

displacement and always points toward the equilibrium position.

Equations of Motion (Hooke's Law)

Consider a mass m is attached to the spring, and the other end of the spring is connected

to a rigid support such as a wall. If the system is left at rest at the equilibrium position (x = 0) then there is no net force acting on the mass. However, if the mass is displaced from the equilibrium position, a restoring elastic force opposite to the displacement is exerted by the spring. The equations of motion for a mass on a spring, using Hooke's law is

F = −kx

Differential Equation for Simple Harmonic Oscillator | Oscillations, Waves & Optics - Physics

where F is the restoring elastic force exerted by the spring, k is the spring constant, and

x is the displacement from the equilibrium position.

The equation of motion is a second-order linear ordinary differential equation obtained by

means of Newton's second law.

Differential Equation for Simple Harmonic Oscillator | Oscillations, Waves & Optics - Physics

Differential Equation for Simple Harmonic Oscillator | Oscillations, Waves & Optics - Physics = 0 where ω = √k/m is the Angular frequency of the oscillator.

We see from this equation that the higher the spring constant k , the stiffer the spring, and the greater the angular frequency of oscillation. A smaller mass will also increase the angular frequency for a particular spring. Solving the differential equation above, a solution which is a sinusoidal function is obtained. 

Differential Equation for Simple Harmonic Oscillator | Oscillations, Waves & Optics - Physics

Differential Equation for Simple Harmonic Oscillator | Oscillations, Waves & Optics - Physics

The velocity and acceleration is

v (t) = dx/dt = Aωcos(ωt + φ) = ω√A2 - x2 and a (t) = Differential Equation for Simple Harmonic Oscillator | Oscillations, Waves & Optics - Physics = - Aω2cos(ωt + φ) = -ω2x

Then sinceω = 2π f , f = Differential Equation for Simple Harmonic Oscillator | Oscillations, Waves & Optics - Physics

and since T = 1/f where T is the time period, T = Differential Equation for Simple Harmonic Oscillator | Oscillations, Waves & Optics - Physics

Example 1: An object oscillates with simple harmonic motion along the x - axis. Its

position varies with time according to the equation

Differential Equation for Simple Harmonic Oscillator | Oscillations, Waves & Optics - Physics

where t is in seconds and the angles in the parentheses are in radians.
(a) Determine the amplitude, frequency, and period of the motion.
(b) Calculate the velocity and acceleration of the object at any time t.
(c) Using the results of part (b), determine the position, velocity, and acceleration of the object at t =1.00 s .
(d) Determine the maximum speed and maximum acceleration of the object.
(e) Find the displacement of the object between t = 0 and t =1.00 s.

(a) Since x = Acos (ωt +φ ) , we see that A = 4.00m andω =π rad / s .

Therefore, f =ω / 2π =π / 2π = 0.500Hz and T =1/ f = 2.00 s .

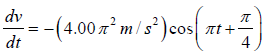
(b) Differentiating x to find v to find a , we obtain

Differential Equation for Simple Harmonic Oscillator | Oscillations, Waves & Optics - Physics and a = Differential Equation for Simple Harmonic Oscillator | Oscillations, Waves & Optics - Physics

(c) At t =1.00 s ,

x = Differential Equation for Simple Harmonic Oscillator | Oscillations, Waves & Optics - Physics= Differential Equation for Simple Harmonic Oscillator | Oscillations, Waves & Optics - Physics= ( = 4.00m)(−0.707) = −2.83m

v = Differential Equation for Simple Harmonic Oscillator | Oscillations, Waves & Optics - Physics= −(4.00π m/ s)(−0.707) = 8.89m/ s

a = −(4.00π2 m/ s2 )(−0.707) = 27.9m/ s2

(d) Since maximum values of the sine and cosine functions are unity. Therefore, v varies between ±4.00π m/ s and a varies between ±4.00πm/ s2 .

Thus, vmax = 4.00π m/ s =12.6m/ s and amax = 4.00π2 m/ s2 = 39.5m/ s2

We obtain the same results using the relations vmax =ωA and amax2A where A = 4.00m and ω =π rad / s

(e) The position at t = 0 is

xi = Differential Equation for Simple Harmonic Oscillator | Oscillations, Waves & Optics - Physics = (4.00m)(0.707) =  2.83m

In part (c), we found that the position at t =1.00 s is −2.83m; therefore, the displacement between t = 0 and t =1.00s is

Δx = xf − xi = −2.83m −2.83m = − 5.66m

Because the object’s velocity changes sign during the first second, the magnitude of Δx

is not the same as the distance traveled in the first second. (By the time the first second is over, the object has been through the point x = −2.83m once, traveled to x = −4.00 m and come back to x = −2.83m)


Energy of Simple Harmonic Motion

As an object vibrates in harmonic motion, energy is transferred between potential energy

and kinetic energy. If we stretch a spring from its equilibrium (unstretched) position to a certain displacement the work done is equal to the stored potential energy in the spring. If

we release the mass and allow it to begin moving back toward the equilibrium position, the potential energy begins changing into kinetic energy. As the mass passes through the equilibrium position, all of the potential energy has been converted into kinetic energy, and the speed of the mass is maximum. The kinetic energy in turn begins changing into potential energy, until all of the kinetic energy is converted into potential energy at 

maximum compression. The compressed spring then accelerates the mass back through

the equilibrium to the original starting position, and the entire process repeats itself. The

total energy of the system remains constant, that is,

Total Energy = Potential Energy + Kinetic Energy = a constant

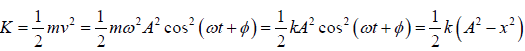
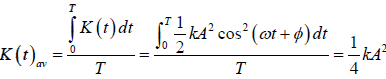
The kinetic energy K of the system at time t is

Differential Equation for Simple Harmonic Oscillator | Oscillations, Waves & Optics - Physics

The potential energy is U = 1/2kx2 = Differential Equation for Simple Harmonic Oscillator | Oscillations, Waves & Optics - Physics

The total mechanical energy of the system therefore has the constant value

Differential Equation for Simple Harmonic Oscillator | Oscillations, Waves & Optics - Physics

The total energy is constant and has the value is 1/2kA2 . This is also the maximum value

of the potential or the kinetic energy. Thus at the time when P.E. is zero the K.E. is

maximum or vice versa.

Energy vs Position Graph

Differential Equation for Simple Harmonic Oscillator | Oscillations, Waves & Optics - Physics

Energy vs Time Graph

The distribution of energy versus time for S.H.M. is shown in the figure. The P.E.Differential Equation for Simple Harmonic Oscillator | Oscillations, Waves & Optics - Physics and K.E. is Differential Equation for Simple Harmonic Oscillator | Oscillations, Waves & Optics - Physics variation with time is shown

in figure below.

Differential Equation for Simple Harmonic Oscillator | Oscillations, Waves & Optics - Physics

Frequency of energy change in S.H.M.

The energy of the particle in S.H.M. changes periodically from P.E. to K.E. Both U and

K depends upon the square of the displacement x , i.e. each acquires same value twice in

each oscillation. Thus the frequency of energy change is twice the frequency of

oscillation.

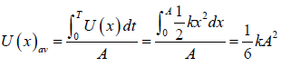
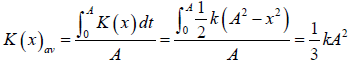
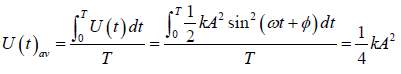
Time average of kinetic and potential energy

Time average of kinetic energy Differential Equation for Simple Harmonic Oscillator | Oscillations, Waves & Optics - Physics

Time average of potential energyDifferential Equation for Simple Harmonic Oscillator | Oscillations, Waves & Optics - Physics

Thus the time average of kinetic energy is equal to the time average of the potential

energy which is half the total energy.

Position average of kinetic and potential energy

Position average of kinetic energyDifferential Equation for Simple Harmonic Oscillator | Oscillations, Waves & Optics - Physics

Position average of potential energyDifferential Equation for Simple Harmonic Oscillator | Oscillations, Waves & Optics - Physics

Thus the position average of kinetic energy is equal to the twice of the position average

of the potential energy.

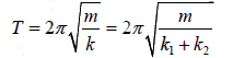
Mass Loaded Spring System

Example 2: Find the time period for the arrangement for the following mass loaded spring having spring constant k1 and k2 .

Differential Equation for Simple Harmonic Oscillator | Oscillations, Waves & Optics - Physics

Let x be the displacement of m from its equilibrium position at an instant, and

x1, x2 is extension in the length of springs k1 and k2 respectively.

Thus x = x1 + x2

The restoring force in k1 and k2 will be the same. By Hooke’s law we have

F = -k1x1 = -k2x2

x = Differential Equation for Simple Harmonic Oscillator | Oscillations, Waves & Optics - Physics ⇒ F = Differential Equation for Simple Harmonic Oscillator | Oscillations, Waves & Optics - Physics = -kx

Thus the force constant of the system is k = Differential Equation for Simple Harmonic Oscillator | Oscillations, Waves & Optics - Physics.

Hence the time period is T = Differential Equation for Simple Harmonic Oscillator | Oscillations, Waves & Optics - Physics


Example 3: Find the time period for the arrangement for the following mass loaded spring having spring constant k1 and k2 .

Differential Equation for Simple Harmonic Oscillator | Oscillations, Waves & Optics - Physics

During oscillation one spring stretched and other compressed and vice versa.

Let x be the displacement of mass m from its equilibrium distance, and this is also the

compression and expansion in the springs k1 and k2 . The restoring force developed in the two springs is F1 = −k1x and F2 = −k2x . F1 and F2 act on the mass in the same direction
F = F1 + F2 = −k1x − k2x = − (k1 + k2)x = −kx
Thus the force constant of the system is (k1 + k2), and the time period is

Differential Equation for Simple Harmonic Oscillator | Oscillations, Waves & Optics - Physics


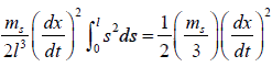
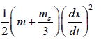
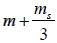
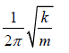
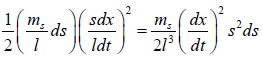
Example 4: Determine the time period of the system of mass m attached with spring of mass  ms (ms << m) and spring constant k .

Differential Equation for Simple Harmonic Oscillator | Oscillations, Waves & Optics - Physics

If ms << m , then the spring will stretch uniformly along its length. Let l be the

length of the spring, its mass per unit length will be ms/l. Let us consider an element of

length ds at a distance s from the fixed end of the string. The mass of this element

is Differential Equation for Simple Harmonic Oscillator | Oscillations, Waves & Optics - Physics. Let x be the instantaneous displacement of m .

The displacement of a element of spring = Differential Equation for Simple Harmonic Oscillator | Oscillations, Waves & Optics - Physics

The instantaneous velocity of element = Differential Equation for Simple Harmonic Oscillator | Oscillations, Waves & Optics - Physics

The instantaneous kinetic energy of element = Differential Equation for Simple Harmonic Oscillator | Oscillations, Waves & Optics - Physics

The total kinetic energy of the uniform spring Differential Equation for Simple Harmonic Oscillator | Oscillations, Waves & Optics - Physics

The total kinetic energy of the whole system is K = Differential Equation for Simple Harmonic Oscillator | Oscillations, Waves & Optics - Physics

This shows the effective mass of the system isDifferential Equation for Simple Harmonic Oscillator | Oscillations, Waves & Optics - Physics.

Hence the time period is T = Differential Equation for Simple Harmonic Oscillator | Oscillations, Waves & Optics - Physics


Example 5: Find the time period for the arrangement for the following mass loaded

vertical spring having spring constant k .

Consider l be the length of the spring hanging vertically. When mass m attached to the lower end, it’s length extended by y0 . By Hooke’s law the restoring

force is F = −ky0 .

Differential Equation for Simple Harmonic Oscillator | Oscillations, Waves & Optics - Physics

The other force acting on the mass is its weight +mg (downward). Thus the total force on m is 0 −ky + mg .

Since mass has no acceleration, the total force on mass m is zero,

−ky0 + mg = 0 ⇒ y0 = mg / k

When the body is pulled through a small distance y from the equilibrium position and

released, it start oscillating with SHM, since the restoring force is F = −ky , imparting an acceleration ofDifferential Equation for Simple Harmonic Oscillator | Oscillations, Waves & Optics - Physics is given by Differential Equation for Simple Harmonic Oscillator | Oscillations, Waves & Optics - Physics

Which is a equation of SHM whose time period is T = Differential Equation for Simple Harmonic Oscillator | Oscillations, Waves & Optics - Physics

It can also be written as T = Differential Equation for Simple Harmonic Oscillator | Oscillations, Waves & Optics - Physics


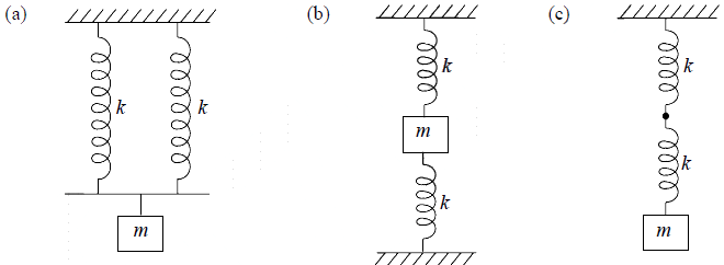
Example 6: Find the time period of the following sets of mass loaded springs hanged vertically.

Differential Equation for Simple Harmonic Oscillator | Oscillations, Waves & Optics - Physics

(a) Since both springs are in parallel combination. The resultant spring constant of the

system is k′ = k + k = 2k . Thus the time period is T = Differential Equation for Simple Harmonic Oscillator | Oscillations, Waves & Optics - Physics

(b) Since both springs are in series. The resultant spring constant of the system is Differential Equation for Simple Harmonic Oscillator | Oscillations, Waves & Optics - Physics. Thus the time period is T = Differential Equation for Simple Harmonic Oscillator | Oscillations, Waves & Optics - Physics

(c) In this case also springs are in series. Thus time period of the system is T = Differential Equation for Simple Harmonic Oscillator | Oscillations, Waves & Optics - Physics


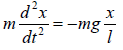
Example 7: A block weighing14.0 N , which can slide without friction on an incline at

angle θ = 40.00 , is connected to the top of the incline by a massless spring of unstretched length 0.450 m and spring constant120 N/m.

Differential Equation for Simple Harmonic Oscillator | Oscillations, Waves & Optics - Physics

(a) How far from the top of the incline is the block's equilibrium point?

(b) If the block is pulled slightly down the incline and released, what is the period of the resulting oscillations?

(a) The equilibrium position when the block is gently lowered until forces balance. If the

amount spring is stretched is x , then we examine force-components along the incline

surface and find

kx = mg sinθ ⇒ x = Differential Equation for Simple Harmonic Oscillator | Oscillations, Waves & Optics - Physics= 0.0750 m

At equilibrium, the distance from the top of the incline is therefore

(0.450 + 0.075)m = 0.525 m.

(b) Just as with a vertical spring, the effect of gravity (or one of its components) is simply to shift the equilibrium position; it does not change the characteristics (such as the period) of simple harmonic motion.

T = Differential Equation for Simple Harmonic Oscillator | Oscillations, Waves & Optics - Physics


Example 8: A spring of constant k = 100 N/m hangs at its natural length from a fixed stand. A mass of 3 kg is hung on the end of the spring, and slowly let down until the spring and mass hang at their new equilibrium position. 

Differential Equation for Simple Harmonic Oscillator | Oscillations, Waves & Optics - Physics

(a) Find the value of the quantity x in the figure above. The spring is now pulled down an additional distance x and released from rest. 
(b) What is the potential energy in the spring at this distance?
(c) What is the speed of the mass as it passes the equilibrium position?
(d) How high above the point of release will the mass rise?
(e) What is the period of oscillation for the mass?

(a) As it hangs in equilibrium, the upward spring force must be equal and opposite to the downward weight of the block.

Differential Equation for Simple Harmonic Oscillator | Oscillations, Waves & Optics - Physics

Fs = mg and kx = mg ⇒ x = mg/k = Differential Equation for Simple Harmonic Oscillator | Oscillations, Waves & Optics - Physics = 0.3 m

(b) The potential energy in the spring is related to the displacement from equilibrium

position by the equation

U = 1/2kx2 = Differential Equation for Simple Harmonic Oscillator | Oscillations, Waves & Optics - Physics= 4.5J

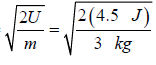
(c) Since energy is conserved during the oscillation of the mass, the kinetic energy of the mass as it passes through the equilibrium position is equal to the potential energy at the amplitude. Thus,

K = U = 1/2mv2 ⇒ v = Differential Equation for Simple Harmonic Oscillator | Oscillations, Waves & Optics - Physics= 1.7 m/s

(d) Since the amplitude of the oscillation is 0.3 m , it will rise to 0.3 m above the

equilibrium position.

(e) T = Differential Equation for Simple Harmonic Oscillator | Oscillations, Waves & Optics - Physics= Differential Equation for Simple Harmonic Oscillator | Oscillations, Waves & Optics - Physics= 1.1s


Example 9: A mass of 0.5 kg oscillates on the end of a spring on a horizontal surface with negligible friction according to the equation x = Acos(ω t). The graph of F vs x for this motion is shown below.

Differential Equation for Simple Harmonic Oscillator | Oscillations, Waves & Optics - Physics

The last data point corresponds to the maximum displacement of the mass.
Determine the
(a) Angular frequency ω of the oscillation,
(b) Frequency f of oscillation,
(c) Amplitude of oscillation,
(d) Displacement from equilibrium position (x = 0) at a time of 2s .

(a) When we looked at this graph k = Differential Equation for Simple Harmonic Oscillator | Oscillations, Waves & Optics - Physics ⇒ω = Differential Equation for Simple Harmonic Oscillator | Oscillations, Waves & Optics - Physics= Differential Equation for Simple Harmonic Oscillator | Oscillations, Waves & Optics - Physics

(b) f = Differential Equation for Simple Harmonic Oscillator | Oscillations, Waves & Optics - Physics= 1.6 Hz

(c) The amplitude corresponds to the last displacement on the graph, A =1.2 m.

(d) x = Acos(ωt ) = (1.2 m)cos [(10 rad / s)(2 s)] = 0.5m


Simple Pendulum

A simple pendulum is an idealized system containing of a massless inextensible string,

fixed rigidly at one end, having a point mass at the other end.

A mass m suspended by a light string of length L from a fixed point. When the mass is displaced slightly from its equilibrium position and released, it oscillates in a vertical plane under gravity. Let θ be the angular displacement of the pendulum. The force acting on m is mg . This force can be resolved into two components, a radial component mg cosθ along the string and tangential component mg sinθ at right angle to it. The tangential component is the restoring force.

Thus F = −mg sinθDifferential Equation for Simple Harmonic Oscillator | Oscillations, Waves & Optics - Physics

Using Newton’s law, we get Differential Equation for Simple Harmonic Oscillator | Oscillations, Waves & Optics - Physics

For small angles of oscillations sinθ = x/L, is governed by Differential Equation for Simple Harmonic Oscillator | Oscillations, Waves & Optics - Physics

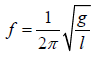
The frequency ( f ) and the period(T ) of the pendulum in this case are given by:

Differential Equation for Simple Harmonic Oscillator | Oscillations, Waves & Optics - Physics and Differential Equation for Simple Harmonic Oscillator | Oscillations, Waves & Optics - Physics

Therefore, the simple pendulum has the following properties

(i) The period of a pendulum is independent of its own mass and the amplitude of the

oscillation.

(ii) The period of the pendulum is depends on its length.

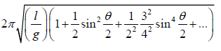
Large Amplitude: When the amplitude of motion of the simple pendulum is large, the

approximation sinq = q does not hold and the pendulum deviates from the simple

harmonic behavior. Then the time period T = Differential Equation for Simple Harmonic Oscillator | Oscillations, Waves & Optics - Physics

Thus with increasing amplitude the time period increases.

Compound Pendulum

A compound pendulum is a rigid body, of any shape, capable of oscillating about a horizontal axis passing through it.

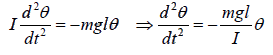
Let m be the mass of the body and l be the distance of C from O. When body displaced by an angle θ with the vertical, at this instant the moment of its weight mg about the axis of oscillation through O is mg (l sinθ ) . 

This is the restoring torque which brings the body to its equilibrium position.

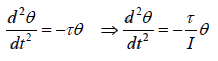
Thus τ = −mgl sinθDifferential Equation for Simple Harmonic Oscillator | Oscillations, Waves & Optics - Physics

For small angle, we have; τ = −mglθ

If I is the moment of inertia of the pendulum about the axis of suspensionO, the torque

is also equal toDifferential Equation for Simple Harmonic Oscillator | Oscillations, Waves & Optics - Physics

Thus the time period is T = Differential Equation for Simple Harmonic Oscillator | Oscillations, Waves & Optics - Physics

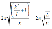
It is sometime more useful to write the time period in term of radius of gyration of

pendulum. If we write the moment of inertia about a parallel axis through C , then

I = mk2 +ml2 = m(k2 + l2 )

Thus the time period is

T = Differential Equation for Simple Harmonic Oscillator | Oscillations, Waves & Optics - Physics

Here L is called the “length of the equivalent simple pendulum.”

The Torsional Pendulum

A torsional pendulum consist of a heavy body such as disc or cylinder be hung by a long

and thin vertical wire from a rigid support. If the disc is turned in the horizontal plane and

then released, due to wire elasticity, it executes a torsional oscillation about the wire as a

axis.

Differential Equation for Simple Harmonic Oscillator | Oscillations, Waves & Optics - Physics

If the disc is turned by an angleθ , the wire is also twisted by same angle. A restoring

torque (−τθ ) produced which brings the pendulum back to its original position. If I is

the moment of inertia of the disc about the wire, then the torque acting on the disc must

be equal to the product of the moment of inertia I and the angular acceleration.

Thus

Differential Equation for Simple Harmonic Oscillator | Oscillations, Waves & Optics - Physics

The time period of the oscillation is T = Differential Equation for Simple Harmonic Oscillator | Oscillations, Waves & Optics - Physics

The document Differential Equation for Simple Harmonic Oscillator | Oscillations, Waves & Optics - Physics is a part of the Physics Course Oscillations, Waves & Optics.
All you need of Physics at this link: Physics
54 videos|22 docs|14 tests

FAQs on Differential Equation for Simple Harmonic Oscillator - Oscillations, Waves & Optics - Physics

1. What is a simple harmonic oscillator?
A simple harmonic oscillator refers to a system that undergoes oscillatory motion around an equilibrium position, where the restoring force is directly proportional to the displacement from the equilibrium. This type of motion can be described by Hooke's Law, which states that the force is equal to the negative of the spring constant multiplied by the displacement.
2. How can the equations of motion be derived using Hooke's Law?
The equations of motion for a simple harmonic oscillator can be derived by applying Newton's second law of motion to the system. By considering the forces acting on the object, such as the restoring force from Hooke's Law and any other external forces, the second law can be used to establish a differential equation that governs the motion. Solving this differential equation yields the equations of motion for the system.
3. What is a simple pendulum?
A simple pendulum is a weight (or bob) attached to a string or rod that is free to swing back and forth about a fixed point. The motion of a simple pendulum can be approximated as simple harmonic motion when the amplitude of the swing is small. The period of a simple pendulum depends on the length of the string and the acceleration due to gravity.
4. How does a compound pendulum differ from a simple pendulum?
A compound pendulum, also known as a physical pendulum, consists of a rigid body that is free to oscillate about a horizontal axis. Unlike a simple pendulum, which has a single point of suspension, a compound pendulum has a distributed mass and an extended shape. The motion of a compound pendulum is still governed by simple harmonic motion, but the period is affected not only by the length but also by the moment of inertia of the object.
5. What is a torsional pendulum?
A torsional pendulum is a system that oscillates in a rotational or twisting motion instead of linear motion. It typically consists of a wire or rod that is twisted and attached to a fixed point at one end, while the other end is attached to a mass or another object. The restoring torque acting on the system is proportional to the angle of twist, similar to how the restoring force in a simple harmonic oscillator is proportional to the displacement. The motion of a torsional pendulum follows simple harmonic motion and can be described using similar equations of motion.
Related Searches

Previous Year Questions with Solutions

,

Objective type Questions

,

ppt

,

MCQs

,

shortcuts and tricks

,

Semester Notes

,

past year papers

,

Viva Questions

,

Differential Equation for Simple Harmonic Oscillator | Oscillations

,

practice quizzes

,

Free

,

Important questions

,

Sample Paper

,

mock tests for examination

,

video lectures

,

pdf

,

Waves & Optics - Physics

,

Waves & Optics - Physics

,

Summary

,

Differential Equation for Simple Harmonic Oscillator | Oscillations

,

Waves & Optics - Physics

,

Extra Questions

,

study material

,

Differential Equation for Simple Harmonic Oscillator | Oscillations

,

Exam

;