Mathematics Exam  >  Mathematics Notes  >  Mathematics for Competitive Exams  >  Group Theory- I

Group Theory- I | Mathematics for Competitive Exams PDF Download

Group

Definition : 

A group is an ordered pair (G, *) where G is a set and * is a binary operation on G satisfying the following axioms:

  1. (a * b) * c = a * (b * c), for all a, b, c ∈ G, i.e., * is associative,
  2. there exists an element e in G, called an identity of G, such that for all a ∈ G we have a * e = e * a = a,
  3. for each a e G there is an element a-1 of G, called an inverse of a, such that a * a-1 = a-1 * a = e.

Examples

  1. 𝕫, 𝕒, 𝕣 and 𝕔 are groups under + with e = 0 and a-1 = -a, for all a.
  2. 𝕒 - {0}, R - {0}, 𝕔 - {0}, 𝕒+, 𝕣+ are groups under * with e = 1 and a-1 = 1/a, for all. Note however that 𝕫 - {0} is not a group under * because although * is an associative binary operation on 𝕫 - {0}, the element 2 (for instance) does not have an inverse in 𝕫 - {0}. 

Example : The set of integers Z (so denoted because the German word for numbers is Zahlen), the set of rational numbers 𝕒 (for quotient), and the set of real numbers 𝕣 are all groups under ordinary addition. In each case, the identity is 0 and the inverse of a is -a.

Example : The set of integers under ordinary multiplication is not a group. Since the number 1 is the identity, property 3 fails. For example, there is no integer b such that 5b = 1.

Example : The subset {1,-1, i, -i} of the complex numbers is a group under complex multiplication. Note that -1 is its own inverse, whereas the inverse of i is -i, and vice versa.

Example : The set 𝕒+ of positive rationals is a group under ordinary multiplication. The inverse of any a is 1/a 5 a-1.

Example : The set S of positive irrational numbers together with 1 under multiplication satisfies the three properties given in the definition of a group but is not a group. Indeed, V√2 β€’ V√2 = 2, so S is not closed under multiplication.

Example : A rectangular array of the form Group Theory- I | Mathematics for Competitive Exams is called 2 x 2 matrix. The set o f all 2 x 2 matrices with real entries is a group under component wise addition. That is,

Group Theory- I | Mathematics for Competitive Exams
The identity is Group Theory- I | Mathematics for Competitive Exams and the inverse of Group Theory- I | Mathematics for Competitive Exams

Example : The set 𝕫n = {0, 1, ..., n - 1} for n > 1 is a group under addition modulo n. For any j > 0 in 𝕫n, the inverse of j is n - j.
This group is usually referred to as the group of integers modulo n.
As we have seen, the real numbers, the 2 x 2 matrices with real entries, and the integers modulo n are all groups under the appropriate addition.

Table : Summary of Group Examples (F can be any of Q, R, C, or Zp; L is a reflection)

Group Theory- I | Mathematics for Competitive Exams

Elementary Properties of Groups

  1. Theorem : Uniqueness of the Identity
    In a group G, there is only one identity element.
    Proof. Suppose both e and e' are identities of G. Then,
    (a) ae = a for all a in G, and
    (b) e’a = a for all a in G.
    The choices of a = e’ in (1) and a = e in (2) yield e’e = e’ and e’e = e. Thus, e and e’ are both equal to e’e and so they are equal to each other.
  2. Theorem : Uniqueness of the Inverse
    In a group G, there is only one inverse element.
    Proof : if a1 and a2 are both inverses of a, then
    a1 * (a * a2) = a1* e = a1
    and (a1 * a)*a2 = e*a2 = a2

By the associative law, a1 * (a * a2) = (a1 * a) * a) * a2; hence a1 = a2. This shows that in every group, each element has exactly one inverse.

  • Theorem 1 If G is a group and a, b, c are elements of G, then
    (i) ab = ac implies b = c and
    (ii) ba = ca implies b = c
    It is easy to see why this is true: if we multiply (on the left) both sides of the equation ab = ac by a-1, we get b = c. In the case of ba = ca, we multiply on the right by a-1. This is the idea of the proof; now here is the proof :
    Suppose ab = ac
    Then a-1(ab) = a-1(ac)
    By the associative law, (a-1a)b = (a-1a)c
    that is, eb = ec
    Thus, finally, b = c
    Part (ii) is proved analogously.
    In general, we cannot cancel a in the equation ab = ca.
  • Theorem 2 If G is a group and a, b are elements of G, then ab = e implies a = b1 and b = a-1
    The proof is very simple: if ab = e, then ab = aa-1 so by the cancellation law, b = a-1. Analogously, a = b-1.
    This theorem tells us that if the product of two elements is equal to e, these elements are inverses of each other. In particular, if a is the inverse of b, then b is the inverse of a.
    The next theorem gives us important information about computing inverses.
  • Theorem 3 If G is a group and a, b are elements of G, then
    (i) (ab)-1 = b-1a-1 and
    (ii) ( a-1)-1 = a

The first formula tells us that the inverse of a product is the product of the inverses in reverse order. The next formula tells us that a is the inverse of the inverse of a. The proof of (i) is as follows:
(ab)(b-1a-1) = a[(bb-1)a-1] by the associative law
= a[ea-1] because bb-1 = e  
= aa-1
= e
Since the product of ab and b ’ a 1 is equal to e, it follows by Theorem 2 that they are each other’s inverses. Thus, (ab)-1 = b-1a-1. The proof of (ii) is analogous but simpler: aa-1 = e, so by Theorem 2 a is the inverse of a-1, that is, a= (a-1)-1.
The associative law states that the two products a(bc) and (ab)c are equal; for this reason, no confusion can result if we denote either of these products by writing abc (without any parentheses), and call abc the product of these three elements in this order.
We may next define the product of any four elements a, b, c, and d in G by abed = a(bcd)
By successive uses of the associative law we find that a(bc)d = ab(cd) = (ab)(cd) = (ab)cd
Hence the product abed (without parentheses, but without changing the order of its factors) is defined without ambiguity.
In general, any two products, each involving the same factors in the same order, are equal. The net effect of the associative law is that parentheses are redundant.
Having made this observation, we may feel free to use products of several factors, such as a1a2 ... an, without parentheses, whenever it is convenient. Incidentally, by using the identity (ab)-1 = b-1a-1 repeatedly, we find that Group Theory- I | Mathematics for Competitive Exams
If G is a finite group, the number of elements in G is called the order of G. It is customary to denote the order of G by the symbol |G|.

Abelian Group

The group G is said to be abelian if a β€’ b = b β€’ a for all a, b ∈ G.
An abelian group is a nonempty set A with a binary operation + defined on A such that the following conditions hold:

  1. (Associativity) for all a, b, c ∈ A, we have a + (b + c) = (a + b) + c;
  2. (Commutativity) for all a, b ∈ A, we have a + b = b + a;
  3. ( Existence o f an additive identity there exists an element O ∈ A such that 0 + a = a for all a ∈ A;
  4. (Existence of additive inverses) for each a ∈ A there exists an element -a ∈ A such that -a + a = 0.
    Group Theory- I | Mathematics for Competitive Exams

EXAMPLE OF SEMI-GROUP BUT NOT MONOID : Nonzero real numbers under the operation * defined by a*b = |a|b.

EXAMPLE OF MONOID BUT NOT GROUP : {0,1} under multiplication.

Non-Abelian Group

In mathematics, a nonabelian group, also sometimes called a noncommutative group, is a group (G, *) in which there are at least two elements a and b of G such that a * b β‰  b * a. The term nonabelian is used to distinguish from the idea of an abelian group, where all of the elements of the group commute.

Example : Show that the set {1, - 1, i, - 1} where i = Group Theory- I | Mathematics for Competitive Exams is a finite abelian group for multiplication of complex numbers.

G = {1, -1, i -i}.
We prepare the composition table for (G, x) as follows :
Group Theory- I | Mathematics for Competitive Exams
On observing the table, it is clear that :

  1. All the entire in the table are elements of G. So multiplication of complex numbers has induced a binary composition in G.
  2. The number 1 is the identity element for the multiplication composition.
  3. The inverses of 1, - 1 , i, - i are 1, - 1 , - i and i respectively.

Since the associativity and commutativity of the multiplication of numbers is obvious, so G is a finite (of order 4) abelian group for multiplication.

Example : Show that the set {z ∈ C : |z| = 1} is a multiplicative group.

Let G = {z ∈ C : |z| = 1} and z1, z2 ∈ G; then
z1, z2 ∈ G β‡’ |z1| = 1, |z2| = 1
β‡’ |z1||z2| = 1.1 = 1
β‡’ |z1,z2| = 1 [∡ |z1z2| = |z1||z2|]
β‡’ z1, z2 ∈ G
∴ G is closed for multiplication.

Subgroups 

A subgroup H of a group G is a subset of G that is itself a group under the same operation. Formally, H is a subgroup of G if: 

  • H βŠ† G and H is non-empty. 
  • Closure: For a, b ∈ H, a β€’ b ∈ H. 
  • Inverses: For a ∈ H, its inverse a-1 is also in H. 

If H satisfies these properties, (H, β€’) is called a subgroup of (G, β€’).

Types of Groups

Cyclic Groups: A group G is cyclic if there exists an element g Ο΅ G such that every element of G can be written as gn (or n β€’ g under additive notation) for some integer n. The element g is called a generator.
Example: Z under addition is cyclic, generated by 1: every integer is 1 + 1 + 1 + ... or its negative.

Abelian (Commutative) Groups : A group (G, β€’) is abelian if a . b = b . a for all a, b Ο΅  G. The name "abelian" honors Niels Henrik Abel.
Example: Both (Z, +) and (R*, .) are abelian groups.

The Klein Four-Group (K4 or V4): The Klein four-group, usually denoted V4 or K4, is the group:

  • Elements: {e, a, b, c} 
  • Operation: A group operation (often viewed additively or multiplicatively).
  • Properties:
    (i) All non-identity elements have order 2 (i.e., a . a = e, b . b = e, c . c = e).
    (ii) It is abelian.

The Quaternion Group (Q8)

The quaternion group Q8 is a well-known non-abelian group of order 8. Its elements are:

  • { Β±1, Β±i, Β±j, Β±k }
  • Multiplication follows rules akin to quaternion multiplication (e.g., iΒ·j = k, jΒ·k = i, kΒ·i = j, and each squared is -1, etc.)
  • It is non-abelian.

Permutation Groups (Sn): A permutation group consists of all bijections (permutations) on a set, with the group operation being composition of these permutations.
Symmetric Group Sn: This is the group of all permutations on {1, 2, ..., n}, typically (n!) elements.

Quotient (Factor) Groups: A quotient group (or factor group) G/H is formed when H is a normal subgroup of G (denoted H ◁ G). The elements of G/H are the left cosets (or equivalently, right cosets if H is normal) of H in G, and the group operation is coset multiplication.

If H is normal, the set of cosets {gH : g ∈ G} forms a group under the operation:
(g1H) β€’ (g2H) = (g1 β€’ g2)H.

Homomorphisms and Isomorphisms: A group homomorphism is a function Ο†: G β†’ H between two groups (G, Β·) and (H, Β°) such that:
Ο†(a Β· b) = Ο†(a) Β° Ο†(b) for all a, b ∈ G.

  • Isomorphism: A bijective homomorphism. If such a bijection exists, G and H are isomorphic, meaning they share the same group structure.
  • Kernel of Ο†: The set of elements in G that map to the identity in H. If the kernel is only the identity, the homomorphism is injective.

Why Study Group Theory?
Group theory underlies much of modern mathematics and has countless applications:

  • Symmetry: Groups abstractly describe symmetrical properties of geometric figures, molecules, crystals, etc.
  • Number Theory: The arithmetic of integers and other number systems is studied using group concepts (e.g., modular arithmetic groups).
  • Permutation Puzzles: Rubik's Cube and similar puzzles can be analyzed via permutation group theory.
  • Physics and Chemistry: Particle physics uses groups to classify fundamental particles via symmetry; chemistry models molecular symmetry with group theory.
  • Coding Theory and Cryptography: Groups provide frameworks for error-correcting codes and secure cryptographic systems.

Further Study
Topics such as Rings, Fields, and Modules extend group theory by introducing additional operations and structures. Representation Theory explores how groups act on vector spaces, linking abstract algebra with linear algebra and geometry.

Recommended resources include:

  • Contemporary Abstract Algebra by Joseph Gallian.
  • Abstract Algebra by John B. Fraleigh.
  • Abstract Algebra by David S. Dummit and Richard M. Foote (a more advanced text).
  • Online courses: MIT OpenCourseWare, Khan Academy, Coursera, etc.

Summary
Group theory is the study of sets with associative binary operations that have an identity element and inverses. Subgroups, cyclic groups, abelian groups, non-abelian groups (e.g., Q8), permutation groups (Sn), and quotient groups are all key structures in this domain. These concepts unify various branches of mathematics by providing a single framework to discuss symmetry and structure.

Verification of group axioms in (G, x) :

[G1] Since multiplication operation is associative in numbers, therefore this operation will also be associative in G.
[G2] ∡ |1| = 1 β‡’ 1 ∈ G, which is the identity for multiplication.
[G3] For any element z of G
z ∈ G β‡’ |z| = 1
β‡’ Group Theory- I | Mathematics for Competitive Exams
which is the multiplicative inverse of z.
Thus there exist inverse of every element in G.
Hence G is a multiplicative group.

Example : Prove that the set of n, nth roots of unity is a multiplicative finite abelian group.

Here 11/n = (1 + i0)1/n = (cos 0 + i sin 0)1/n
= (cos 2rΟ€ + i sin 2rΟ€) 1/na, where r is any integer
Group Theory- I | Mathematics for Competitive Exams [by DeMoivre’s theorem]

= ei(2rΟ€)/n r = 0, 1,2, .... (n - 1)
If we take ei(2rΟ€)/n = ΞΈr, then the set of n complex roots
G = {1, ΞΈ, ΞΈ2, ΞΈ3, .... ΞΈn-1}
If a, b ∈ G, then an = 1 and bn = 1
Now (ab)n = an bn = 1.1 = 1
∴ ab is also the nth root of unity, therefore ab ∈ G
i.e., a, b ∈ G β‡’ ab ∈ G
Hence G is closed for multiplication.
[G1] Associativity : Complex roots are associative for multiplication.
[G2] Identity element 1 for multiplication is in G.
[G3If any element ΞΈr, 0 ≀ r ≀ (n - 1) is in G, then there exist an element ΞΈn-r in G such that ΞΈn-rβ€’ΞΈr = ΞΈn = i (identity) [∡ 0 is the nth root of 1]
i.e., there exist inverse ΞΈn-r of ΞΈr
[G4] Commutativity : Complex numbers are commutative for multiplication. Hence (G, x) is a finite abelian group of order n.

Example : Show that Z5 = {0, 1, 2, 3, 4} is an abelian group for the operation *+5’ defined as follows :
Group Theory- I | Mathematics for Competitive Exams

The composition table of (Z5, +5) is as follows :
Group Theory- I | Mathematics for Competitive Exams
From the table it is observed that

  1. All the elements are members of Z5 therefore β€˜+5’ is a binary composition in Z5.
  2. 0 is the identity element for the composition.
  3. The inverse of 0, 1, 2, 3, 4 are 0, 4, 3, 2, and 1 respectively.

Again the base of '+5’ is the addition composition of numbers which is associative and commutative. Therefore '+3’ is also associative and commutative.
Hence (Z5,+5) is a commutative group.

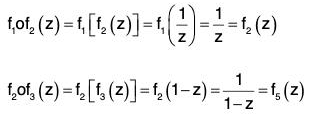
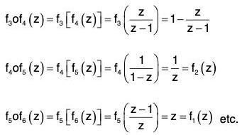
Example : Show that the set {f1, f2, f3, f4, f5, f6} is a finite non-abelian group for the operation β€œcomposite of functions” where fi, i = 1, 2,..., 6 are transformations on the infinite complex plane defined by :
Group Theory- I | Mathematics for Competitive Exams

Let G = {f1, f2, f3, f4, f5, f6} and o denote composite of functions. Now calculating all the possible products under this operation, we have the following:
Group Theory- I | Mathematics for Competitive Exams
Group Theory- I | Mathematics for Competitive Exams
From these we obtain the following composition table of (G, o) :
Group Theory- I | Mathematics for Competitive Exams
The group axioms can be easily verified from the above composition table. There fore (G, o) is a finite group.
More over since the table is not symmetrical about the leading diagonal so it is a non commutative finite group.

Example : Show that the set Q+ of the positive relational numbers forms an abelian group for the operation * defined as :
a * b = ab/2 Group Theory- I | Mathematics for Competitive Exams

Group Theory- I | Mathematics for Competitive Exams
∴ * is a binary composition in Q+
Verification of group axioms in (Q+, *) :
[G1] Associativity : Let a, b ∈ Q+, then
Group Theory- I | Mathematics for Competitive Exams
and Group Theory- I | Mathematics for Competitive Exams
∴ (a *b )*c = a *(b *c)
[G2] Existence of identity :
2 ∈ Q+ is the identity element of the operation *
because for a ∈ Q+, 2*a = a*2 = a.2/2 = a
[G3] Existence of Inverse :
For every a ∈ Q+, (4/a) ∈ Q(∡ a β‰  0) which is the inverse of a
Since Group Theory- I | Mathematics for Competitive Exams
So every element of Q+ is invertible.
[G4] Commutativity : For any a, b ∈ Q+
Group Theory- I | Mathematics for Competitive Exams [∡ multiplication is commutative]
= b*a
∴ the composition * is commutative.
Hence (Q+, *) is an abelian group.

Example : If G = {(a, b) | a, b ∈ R, a β‰  0} and o is the operation defined in G as (a, b) o (c, d) = (ac, be + d) ; then show that (G, o) is a non-abelian group.

Verification of group axioms in (G, o) :
[G1] : Let (a, b); (c, d); (e, f) be any elements of G, then [(a, b) o (c, d)] o (e, f) = (ac, be + d) o (e, f)
= ((ac)e, (be + d)e + f)
= (ace, bee + de + f)
and (a, b) o [(c, d) o (e, f)] = (a, b) o (ce, de + f)
= (a(ce), b(ce) + de + f)
= (ace, bee + de + f)
∴ [(a, b) o (c, d)] o (e, f) = (a, b) o [(c, d) o (e, f)]
Therefore o is associative.
[G2] : Here (1, 0) ∈ G is the identity element of the operation because for every (a, b) ∈ G (1, 0) o (a, b) = (1a, 0a + b) = (a, b)
and (a, b) o (1, 0) = (a1, b1 + 0) = (a, b)
[G3] : If (a, b) ∈ G, then a β‰  0
∴ Group Theory- I | Mathematics for Competitive Exams
Again Group Theory- I | Mathematics for Competitive Exams
and Group Theory- I | Mathematics for Competitive Exams
∴ Group Theory- I | Mathematics for Competitive Exams is the inverse of (a, b)
Thus the inverse of every element of G also exist in G.
Hence (G, o) is a group.
[G4] : The composition of the group is not commutative because if a, b, c, d are different real numbers, then (a, b) o (c, d) = (ac, bc + d)
≑ (ca, da + b) = (c, d) o (a, d)
β‡’ (a, b) o (c, d) β‰  (c, d) o (a, b)
As such (G, o) is a non abelian group.

Example : Show that G = Group Theory- I | Mathematics for Competitive Exams is a commutative group under matrix multiplication.

Let Group Theory- I | Mathematics for Competitive Exams be any two elements of G, where a, b ∈ R0; then AB = Group Theory- I | Mathematics for Competitive Exams∡ a ∈ R0, b ∈ R0 β‡’ ab ∈ R0
∴ AB = G which shows that G is closed for matrix multiplication.
Verification of group axioms in (G, x) :
[G1] : Since Matrix multiplication is associative.
Therefore this is associative in G also.
[G2] : E = Group Theory- I | Mathematics for Competitive Exams is the identity element because
Group Theory- I | Mathematics for Competitive Exams
[G3] : For every Group Theory- I | Mathematics for Competitive Exams (∡ a ∈ R0 β‡’ 1/a ∈ R0)
which is inverse of A because
Group Theory- I | Mathematics for Competitive Exams (Identity)
[G4] : Since AB = Group Theory- I | Mathematics for Competitive Exams and ab = ba (by commutativity of multiplication of real numbers),
Therefore, AB = BA
As such matrix multiplication is commutative in G.
Hence G is a commutative group for matrix multiplication.

Example : Show that the set of all the matrices of the form Group Theory- I | Mathematics for Competitive Exams is an abelian group for matrix multiplication.

Let Group Theory- I | Mathematics for Competitive Exams
and AΞ±, AΞ², ∈ G, where Ξ±, Ξ² ∈ R, then,
Group Theory- I | Mathematics for Competitive Exams
Group Theory- I | Mathematics for Competitive Exams
Group Theory- I | Mathematics for Competitive Exams
= Aα+β ∈ G [∡ α + β ∈ R]
∴ Group Theory- I | Mathematics for Competitive Exams
Consequently G is closed for matrix multiplication.
Verification of group axioms in (G, x) :
[G1] : Matrix multiplication is associative.
Therefore, this is associative in G also.
[G2]: For Ξ± = 0
Group Theory- I | Mathematics for Competitive Exams
which is the identity for matrix multiplication.
[G3]: For every Aα ∈ G, A(-α), ∈ G which is the inverse of Aα, because Aα x A(-α) = Aα-α = Aand A(-α) x Aα = A(-α + α) = A0
Therefore, the inverse of every element of G exists in G.
[G4]: For any two elements AΞ± and AΞ² of G
AΞ± x AΞ² = AΞ±+Ξ² [proved above]
= AΞ²+Ξ± [∡ Ξ±, Ξ² ∈ R β‡’ Ξ± + Ξ² = Ξ² + Ξ±]
Therefore, matrix multiplication is commutative in G.
As such G is a commutative group for matrix multiplication.

Example : The set G = {1, 2, 3, 4...(p - 1)}, xp. p being prime is an abelian group of order (p - 1) with respect to multiplication modulo p.

Let a, b ∈ G, then 1 ≀ a ≀ (p - 1), 1 ≀ b ≀ (p - 1)
By definition, a xP b = r, where r is the least non negative remainder when ordinary product is divided by p.
Now since p is prime, therefore ab is not divisible by p
Consequently, r β‰  0, 1 ≀ r ≀ (p - 1)
therefore a xp b ∈ G βˆ€ a, b ∈ G
β‡’ G is closed for the multiplication modulo p.
[G1] : Associativity : Let a, b, c ∈ G then
a xp (b xp c) = a xp (bc) [∡ b xp c = be (mod p)]
= the least non-negative remainder obtained on dividing a(bc) by p
= the least non-negative remainder obtained on dividing (ab)c by p
= (ab) xp c = (a xp b) xp c [∡ ab = a xp b(mod p)]
Therefore multiplication modulo p is associative.
[G2] : 1 ∈ G is the identity element because for every a ∈ G
1 xp a = a xp 1 = a
[G3] : Let s ∈ G then 1 ≀ s ≀ (p - 1).
Consider the following (p - 1) products :
1 xp s, 2 xp s, 3 xp s, ... (p - 1) xp s
All these are elements of G and no two of these are equal since if 1 ≀ i ≀ (p - 1), 1 ≀ j ≀ (p - 1) and i > j, then i xp s = j xp s
β‡’ (i s) and (j s) leave the same non-negative remainders when divided by p
β‡’ (i s - j s) is divisible by p
β‡’ (i - j)s is divisible by p
But this is not possible because
1 ≀ (i - j) ≀ (p - 1), 1 ≀ s ≀ (p - 1) and p is prime.
∴ i xp s β‰  j xp s
and (p - 1) distinct elements of G and so one of the products must be equal to 1.
Let r xp s = 1 β‡’ is the inverse of s
Therefore every element of G is invertible.
and (p - 1) distinct elements of G and so one of the products must be equal to 1.
Let r xp s = 1 β‡’ r is the inverse of s
Therefore, every element of G is invertible.
[G4] : a xp b = the least non-negative remainder obtained on dividing ab by p
= the least non-negative remainder obtained on dividing (ba) by p  
= b xp a (∡ ba = ab)
Therefore, multiplication modulo p is commutative.
Hence G is an abelian group of order (p - 1).
Remark. If p is not prime, then G will not be a group because G will not be closed for multiplication.

Example : The set of residue classes modulo m is an abelian group with respect to the addition of residue classes.

Let I = { . . . , -3 , -2 , -1 , 0 , 1, 2, 3, ...} be the set of integers. If a ∈ I, then [a] is a residue class modulo m of I if [a] = {x : x ∈ I and x - a is divisible by m}.
Let Im be the set of all residue class of I mod m
i.e., Im = {[a] : a ∈ I}. We have [a] = [b] ⇔ a = b (mod m). The set lm has m distinct elements [0], [1], [2]......[m - 1]. Thus we have
lm = {[0], [1], [2], .... [m - 1]}.
Let a and b are any two integers, then we define the addition of residue classes [a] and [b] as follows :
[a] + [b] = [a + b].
If [a] = [c] and [b] = [d], then it can be easily seen that [a] + [b] = [c] + [d].
Therefore, our addition of residue classes is well-defined.
Now we shall show that lm is a group with respect to addition of residue classes.

Closure Property : 

If [a], [b] ∈ lm, then by definition [a] + [b] = [a + b]. Since a + b is an integer, therefore [a + b] ∈ lm. Thus lm is closed with respect to addition of residue classes.
Associativity : Let [a], [b], [c] be any three elements of lm. Then [a] + ([b] + [c]).
= [a] + [b + c] [by def. of addition of residue classes]
= [a + (b + c)] [by def. of addition of residue classes]
= [(a + b) + c] [∡ addition of integers is a associativity]
= [a + b] + [c] = ([a] + ([b] + [c].
Commutativity : Let [a], [b] ∈ lm. Then [a] + [b] = [a + b] = [b + a] = [b] + [a].
Existence of Identity : We have [0] ∈ Im. If [a] ∈ lm, then we have [0] + [a] = [0 + a] = [a] = [a] + [0]. Therefore, the residue class [0] is the identity element.
Existence of Inverse : We have [0] ∈ lm. If [a] ∈ lm, then we have [0] + [a] = [0 + a] = [0 + a] = [a] + [0]. Therefore, the residue class [0] is the identity element.
Existence of Inverse : Let [a] ∈ lm be arbitrary. Since a ∈ I - a ∈ I, therefore [-a] is also an element of lm. We have [-a] + [a] = [-a + a] = [0] = [a] + [-a]. Thus, [-a] is the inverse of [a].
Thus lm is an abelian group with respect to addition of residue classes.
Since the number of distinct elements in lm is m, therefore the order of this group is m,
Note : If [r] = lm and 0 ≀ r < m, then the inverse of [r] is [m - r]. We have [r] + [m - r] = [r + (m - r)] = [m] = [0].
Note that m I m β‡’ [m] = [0].

Elementary Properties of Groups

1. Uniqueness of the Identity
In a group G, there is only one identity element.
Proof. Suppose both e and e’ are identities of G. Then,
1. ae = a for all a in G, and
2. e’a = a for all a in G.

The choice of a = e’ in (1) and a = e in (2) yields e’ e = e’ and e’ e = e. Thus, e and e’ are both equal to e’ e and so are equal to each other.

Theorem : (Uniqueness of inverse)
The inverse of an element in a group is unique.

Proof. Let a be any element of the group (G, *) which has two inverses b and c in the group.
a-1 = b β‡’ ba = e = ab
and a-1 = c β‡’ ca = e = ac
Now ba = e β‡’ (ba) c = ec
β‡’ b(ac) = c [by G1 and G2]
β‡’ be = c [by (2)]
β‡’ b = c [by G3]
Therefore, the inverse of every element of a group is unique.

Remark. The inverse of the identity of a group is itself.

Theorem : If G is a group then for a, b ∈ G:
(a) (a-1)-1 = a (b) (ab)-1 = b-1 a-1
i.e. the inverse of the produced of two elements is the product of their inverses in the reverse order.

Proof, (a) Since a-1 is the inverse of a, therefore aa-1 = e = a-1 a
β‡’ a-1 a = e = aa-1
β‡’ inverse of a-1 = a, i.e. (a-1)-1 = a.

Remark. For the additive operation - (-a) = a.

(b) Since a, b, a-1, b-1, ab, b-1 a-1 all are element of G, therefore
(ab)(b-1a-1) = a(bb-1)a-1  [by G1]
= aea-1 [by G3]
= aa-1 [by G2]
= e
∴ (ab)(b-1a-1) = e ...(1)
Again (b-1a-1)(ab) = b-1(a-1 a)b
= b-1eb  [by G1]
= b-1b [by G3]
= e [by G2]
∴ (b-1a-1)(ab) = e ...(2)
From (1) and (2),
(ab)(b-1a-1) = e = (b-1a-1)(ab)
β‡’ (ab)-1 = b-1 a-1

Generalised reversal law :

By principle of induction, the above theorem can be generalised as :
(a1a2a3...an)-1 =Group Theory- I | Mathematics for Competitive Exams

Remark : If the composition is addition (+) then this can be written as :
-(a + b) = (-b) + (-a)

Remark : If G is a commutative group, then for a, b ∈ G
(ab)-1 = a-1 b-1

Theorem : Cancellation law :
If a, b, c are elements of a group G, then :
(a) ab = ac β‡’ b = c
(b) ba = ca β‡’ b = c

Proof. ∡ a ∈ G β‡’ a-1 ∈ G [by G3]
∴ ab = ac β‡’ a-1 (ab) = a-1 (ac)
β‡’ (a-1 a)b = (a-1 a)c [by G1]
β‡’ eb = ec [by G3]
β‡’ b = c [by G2]
Similarly, it can be proved that ba = ca β‡’ b = c

Theorem : If a, b are elements of a group G, then the equations ax = b and ya = b have unique solutions in G.
Proof. ∡ a ∈ G β‡’ a-1 ∈ G [by G3]
∴ a ∈ G, b ∈ G β‡’ a-1b ∈ G
Now a(a-1 b) = (aa-1)b [by G1]
= eb [by G3]
= b
Therefore, x = a-1 b is a solution of the equation ax = b in G.

Uniqueness : Let the equation ax = b have two solutions x = x1 and x = x2 in G, then ax1 = b and ax2 = b
β‡’ ax1 = ax2
β‡’ x1 = x[by left cancellation law]
Therefore, the solution of ax = b is unique in G.
Similarly, its can also be proved that the solution of the equation ya = b is unique in G. 

Theorem : Alternate definition of a group :
If for all elements a, b of a semigroup G, equations ax = b and ya = b have unique solutions in G, then G is a group.

Proof. G being semi group, is a non empty set. Therefore let a ∈ G, then the equations ax = a and ya = a will have unique solutions in G. Let these solutions be denoted by e1 and e2 respectively, then
ae1 = a and e2a = a ...(i)
Again if b be any other element of g, then by the given property
x, y ∈ G so that ax = b and ya = b ...(ii)
Now ya = b β‡’ (ya)e1 = be1
β‡’ y(ae1) = be1 [by associativity in G]
β‡’ ya = be1 [by (i)]
β‡’ b = be1 [by (ii)]
∴ e1 is the right identity in G.
Again ax = b β‡’ e2(ax) = e2b
β‡’ (e2a)x = e2b [by associativity in G]
β‡’ ax = e2b [by (i)]
β‡’ b = e2b [by (ii)]
∴ e2 is the left identity in G.
Since e1 is right identity in G and e2 is in G β‡’ e2e1 = e2
Also e2 is left identity in G and e1 is in G β‡’ e2e1 = e1 β‡’ e1 = e1
Hence there exists an identity e1 = e2 = e (say) in G.
Again using the given property for the elements a, e e G we find that the equations ax = e and ya = e have unique solutions in G.
Let these solutions be xa and ya respectively. So
axa = e and yaa = e ...(iii)
β‡’ xa and ya are right and left inverses of a in G.
Now axa = e β‡’ ya(axa) = yae
β‡’ (yaa)xa = ya [by associativity in G]
β‡’ exa = ya [by (iii)]
β‡’ xa = ya
∴ there exist the inverse of a in G.
Since the identity exist and every element of G is invertible in the semigroup G, therefore G is a group.

Remark. If G is a semi group such that for a, b in G, only the equation ax = b (or ya = b) has a unique solution in G, then G may not be a group.
This can be observed by the following example :

Example : Let G be any non-empty set having at-least two elements.
Define a binary operation (*) in G as follows :
a*b = b βˆ€ a, b ∈ G  
∡ For a, b, c ∈ G (a*b)*c = b*c = c
and a*(b*c) = a*c = c
∴ (a*b)*c = a*(b*c)
Therefore the composition * of G is associative.
Hence (G, *) is a semi group.
Again we see that a * b = b β‡’ x = b i s a solution of ax = b in G.
But trivially (G, *) is not a group as there is a no right identity in G.

Theorem : If G is finite semigroup such that for any a, b, c ∈ G
(a) ab = ac β‡’ b = c
and (b) ba = ca β‡’ b = c
then G is a group.

Proof. Since G is a non void finite set, so let
G = {a1, a2, a3......an}
If a ∈ G, then the n products aa1, aa2, ..., aan ...(1)
are all elements of G (∡ G is a semi group)
Again all these are distinct elements because
if aai = aaj, then by the given property
aai, = aaj β‡’ ai = aj
So all elements of (1) are n distinct elements of G, placed possibly in a different order i.e. G = {aa1, aa2......aan}
Now if b ∈ G, then b is one of the above n products.
Therefore, let aar = b, ar ∈ G
Hence we see that for any a, b ∈ G, the equation ax = b has a unique solution in G.
Similarly by considering the n products a1a,a2a....ana it can be shown that for every pair a, b ∈ G, the equation ya = h has a unique solution in G. Hence by theorem G is a group.

Remark : If G is an infinite semi group satisfying cancellation law but it is not a group. 

Example : The positive integers under multiplication form a cancellative semigroup, but is not a group.

Theorem : Definition of a group based on left axioms.
A finite semigroup G is a group iff :
(i) there exists e ∈ G such that ea = a, βˆ€ a ∈ G (Left Identity)
(ii) there exists b ∈ G such that ba = e, βˆ€ a ∈ G (Left Inverse)
Proof. If G is a group, then by the definition of a group the above properties (i) and (ii) must obviously hold true.
Conversely, if a semi group G satisfies both the properties (i) and (ii), then we have to prove that G is a group. For this we have to show that e is the identity in G and b is the inverse of a i.e.
ea = a = ae, βˆ€ a ∈ G
and ba = e = ab
Let a ∈ G, then by the given property (ii), there exists an element b such that
ba = e ...(1)
Again by the same property there exists c such that
cb = e ...(2)
Now for a, b ∈ G ab = e(ab) [by property (i)]
= (cb)(ab) [by (2)]
= c(ba)b [by associativity in G]
= (ce)b [by property (ii)]
= c(eb)
= cb  [by property (i)]
= e [by (2)]
∴ ba = e = ab which prove that b is the inverse of a.
Further, we see that ae = a(ba) [∡ e = ab]
= (ab)a  [by associativity in G]
= ea [∡ ab = e]
= a [by property (i)]
∡ ea = a = ea which proves that e is the identity in G.
Therefore, G is a group.

Theorem : Definition of a group based on right axioms :
A semigroup G is group iff :
(i) βˆƒ e ∈ G such that ae = a, βˆ€ a ∈ G
(ii) βˆƒ b ∈ G such that ab = e, βˆ€ a ∈ G
This can be proved similar to the previous theorem.

Caution : It should be noted that a semi group G may be such that G contains a left identity e and each element a in G has a right inverse related to e. In such a case G may fail to be a group. This will be clear by the following example :

Example : Let G be a set containing atleast two elements.
Define a composition (β€’) in G as follows :
a β€’ b = b, βˆ€ a, b ∈ G
Obviously G is a semi group. Let e be any fixed element of G. Then by definition, for every a ∈ G, ea = a. So e is a identity of a.
Also for each a ∈ G, ae = e β‡’ e is a right inverse of a wrt e.
But G is not a group as G does not have any right identity.

Finite and Infinite group
A group (G, *) is said to be finite if its underlying set G is a finite set and a group which is not finite is called an infinite group.

Order of a Group
The number of elements of a group (finite or infinite) is called its order. We will use IGI to denote the order of G.
Thus, the group Z of integers under addition has infinite order, whereas the group U(10) ={1, 3, 7, 9} under multiplication modulo 10 has order 4.

Integral powers of an element in a group

Let (G, *) be a group and a ∈ G, then a*a, a*a*a, a*a*a, are all elements of G and shall be written as a2, a3, a4 respectively.
Thus (a) for any positive integer n,
an = a*a*a*...*a (n times)

(b) If n is a negative integer : Let n = -n where m is a positive integer, then a" can be defined as follows :
an = a-m = (a-1)m = a-1 * a-1 *...* a-1 (m times)
Therefore a-2 = a-1 * a-1, a-3 = a-1 * a-1 * a-1 etc.
More over we define a0 = e, βˆ€ a ∈ G where e is the identity in G.

Law of indices : If a ∈ G and m, n are integers, then by mathematical induction, the following laws can be easily established :
(a) am + n = am an (b) (am)n = an m
Note. When the composition of a group is addition (+), then an is written as n and in that case if m and n are positive integers, then na = a + a + ... + a (n times)
(-m)a = (-a) +...+ (-a) (m times)
(m + n)a = ma + na
and n(ma) = (nm)a

Order of an Element
The order of an element g in a group G is the smallest positive integer n such that gn = e. (In additive notation, this would be ng = 0). If no such integer exists, we say g has infinite order. The order of an element g is denoted by Igl.
So, to find the order of a group element g, we need only compute the sequence of products g, g2, g3,..., until you reach the identity for the first time. The exponent of this product (or coefficient if the operation is addition) is the order of g. If the identity never appears in the sequence, then g has infinite order.

Remark. From the above definition, it is clear that for any element a of a group if an = e then 0(a) ≀ n.

Example : In the group (Z,+), the order of 0 is 1 and the order of every non zero integer a is infinite, because for any a ∈ Z(a β‰  0) there exists no positive integer n such that na = 0.

Example : In the group (Q0, *), O(1) = 1, O(-1) = 2 and order of all the remaining elements is infinite.

Example : In the multiplicative group {1, Ο‰, Ο‰2} (Ο‰3 = 1)
0(1) = 1, O((Ο‰) = 3, 0(Ο‰2) = 3.

Example : In the multiplicative group { 1 , - 1 , i, - i } since 11 = 1, (-1)2 = 1, i4 = 1, and (-i)4 = 1 so O(1) = 1, O(-1) = 2, O(i) = 4 and O(-i) = 4.

Example : In the group [{0, 1, 2, 3}, +4]
Group Theory- I | Mathematics for Competitive Exams
Here 0 is the identity element
0 +4 0 = 0 β‡’ O(0) = 1
1 +4 0 = 1, 1 +4 1 = 2, 1 +4 2 = 3, 1 +4 3 = 0 β†’ O(1) = 4
2 +4 0 = 2, 2 +4 1 = 3, 2 +4 2 = 0 β‡’ O(2) = 3
3 +4 0 = 3, 3 +4 1 = 0 β‡’ O(3) = 2

Example : In Klein’s 4 group every element except identity is of order 2.

Properties of the order of an element of a group
Theorem : The order of the identity of every group is 1 and it is the only element of order 1.
Proof. Let e be the identity of any group G.
∡ e1 = e, ∴ O(e) = 1
Again if a ∈ G and O(a) = 1, then
O(a) = 1 β‡’ a1 = e β‡’ a = e
Therefore O(a) = 1 β‡’ a = e

Theorem : The order of every element of a finite group is finite and less than or equal to the order of the group i.e.,
O(a) ≀ O(G), βˆ€ a ∈ G
Proof. Let G be a finite group of order n and a ∈ G.
We see that a0, a1, a2, .... aare all elements of G But G contains n elements and the number of these elements is (n + 1), so all can not be distinct. Therefore atleast two of these elements are equal.
Let ai = ai, 0 ≀ j ≀ i ≀ n  
β‡’ aia-j = aj a-j
β‡’ ai-j = a0 = e
β‡’ ar = e, where 0 < r = i - j ≀ n
β‡’ O(a) ≀ r ≀ n = O(G)
Hence O(a) is also finite and less than or equal to O(G).

Remark : The above theorem can also be stated as follows :
If G is a finite group of order n, then for any a ∈ G, there exists a positive integer r ≀ n such that ar = e.
Theorem : If order of an element a of a group (G, *) is n, then am = e, iff m is a multiple of n.
Proof. First of all, suppose that a= e 
Now since m and n are integers, so by division algorithm in integer, there exist integers q and r such that
m = nq + r, 0 ≀ r < n
∴ am = e β‡’ anq+r = e β‡’ anq a= e
β‡’ (an)q ar = e [∡ (am)n = amn]
β‡’ eq-ar = e [∡ O(a) = n β‡’ an = e]
β‡’ ar = e β‡’ r = 0 [∡ 0 ≀ r < n]
β‡’ m = nq i.e., m is a multiple of n.

Conversely : Let m be a multiple of n i.e. m = nq(q Group Theory- I | Mathematics for Competitive Exams then m = nq β‡’ am = anq = (an)q = eq = e
Therefore, am = e ⇔ m is a multiple of O(a).
Cor. : The order of any integral power of an element a of a group (G,*) can not exceed the order of the element.
Proof. Let a be any element of a group G and O(a) = n.
Then for any k ∈ Group Theory- I | Mathematics for Competitive Exams
(ak)n = ank = (an)k = ek = e
β‡’ O(ak) ≀ n β‡’ O(ak) ≀ O(a)
Cor. : The order of an element a of a group (G, *) is equal to that of its inverse a-1 i.e., O(a) = O(a-1).
Proof. Let O(a) = n and O(a-1) = m
Now a-1 is an integral power of a β‡’ 0(a-1) ≀ O(a)
β‡’ m ≀ n ...(1)
Again a = (a-1) β‡’ a is the integral power of a-1
β‡’ O(a) ≀ O(a-1)
β‡’ n ≀ m ...(2)
(1) and (2) β‡’ m = n, i.e. O(a-1) = O(a)
Cor. : If any element of a group G is of order n, then order of ak is n/m where m is g.c.d. of n and k.
You have two things to show. Namely that:

  1. (ak)n/gcd(n.k) = e(where e denotes the identity)
    and that n/gcd(n, k) is the smallest positive power p of ak such that (ak)p = e:
  2. For all m > 0: (ak)m = e β‡’ n/gcd(n, k) ≀ m

The first part is easy:
(ak)n/gcd(n,k) = (an)k/gcd(n,k) = ek/gcd(n,k) = e

For the second part, let Group Theory- I | Mathematics for Competitive Exams be such that (ak)m = akm = e. Since the order of a is n, it follows that n I km. Therefore we also have Group Theory- I | Mathematics for Competitive Exams
Now gcd(n/gcd(n, k), k/gcd(n, k)) = 1 (try to prove this), so it follows that n/gcd(n, k) I m
Hence in particular n/gcd(n, k) ≀ m.

Theorem : For any element a of a group G :
O(a) = O(x-1 ax), βˆ€ x ∈ G
Proof. Let a ∈ G, x ∈ G, then
(x-1 ax)2 = (x-1 ax)(x-1 ax)
= x-1 (xx-1)ax [by associativity]
= x-1 aeax = x-1 (aea)x
= x-1 a2x
Again let (x-1ax)n-1 = x-1 an-1 x , where(n - 1) Group Theory- I | Mathematics for Competitive Exams
β‡’ (x-1 ax)n-1 (x-1 ax) = (x-1 an-1x) (x-1 ax)
β‡’ (x-1 ax)n = x-1an-1 (xx-1)ax = x-1an-1 (eax)
= x-1an-1ax = x-1 anx
Therefore, by induction method,
(x-1 ax)n = x-1 an x, Group Theory- I | Mathematics for Competitive Exams
Now let O(a) = n and O(x-1 ax) = m, then (x-1 ax)n = x-1anx = x-1 ex = e
β‡’ 0(x-1 ax) ≀ n β‡’ m ≀ n ...(1)
Again 0(x-1 ax) = m β‡’ (x-1ax)m = e β‡’ x-1 am x = e
β‡’ x(x-1 amx)x-1 = xex-1 = e
β‡’ (xx-1) am(xx-1) = e
β‡’ eam e = e β‡’ am = e
β‡’ O(a) ≀ m β‡’ n ≀ m ...(2)
(1) and (2)
β‡’ n = m β‡’ O(a) = O(x-1 ax)
If O(a) is infinite, then 0(x-1 ax) will also be infinite.
Cor. : If a and b are elements of a group G; then O(ab) = O(ba)
Let n and m be the order of ab and ba, respectively. That is, (ab)n = e, (ba)m = e,
where e is the identity element of G.
We compute
Group Theory- I | Mathematics for Competitive Exams
= a(ba)n-1 b.
From this, we obtain(ba)n-1 = a-1 b-1 = (ba)-1,  and thus we have (ba)n = e.
Therefore the order m of ba divides n.
Similarly, we see that n divides m, and hence m = n.
Thus the orders of ab and ba are the same.

Proof. ∡ b-1 (ba)b = (b-1b)(ab) [by associativity]
= e(ab) = ab
Therefore by the above theorem, O(ba) = O(b-1(ba) b) = O(ab)

Theorem : If the order of an element a of a group G is n, then the order of ap is also n provided p and n are relatively prime.
Proof. Let O(ap) = m
∡ O(a) = n β‡’ an = e β‡’ anp = eP = e
β‡’ (ap)n = e β‡’ O(ap) ≀ n
β‡’ m ≀ n ...(1)
Again since p and n are relatively prime, therefore GCD of p and n = 1
β‡’ there exist two integers x and y such that px + ny = 1
β‡’ a1 = apx+ny = apx β€’ any
= apx .(an)y = apx.ey
= apx .e = apx
am = (apx)m = ampx = (amp)x = ex = e
β‡’ O(a) ≀ m
β‡’ n ≀ m ...(2)
(1) and (2) β‡’ n ≀ m β‡’ O(a) = O(ap)

Example : If for every element a of a group G, a2 = e; then prove that G is abelian.

Let a, b ∈ G, then by the given property  
a ∈ G β‡’ a2 = e β‡’ aa = e
β‡’ a-1 = a ...(1)
Similarly b ∈ G β‡’ b-1 = b ...(2)
Now a ∈ G, b ∈ G β‡’ ab ∈ G
β‡’ (ab)-1 = ab [by the given property]
β‡’ b-1a-1 = ab [by reversal law]
β‡’ ba = ab [by (1) and (2)]
∴ G is an abelian group.

Example : If a, b are any two elements of a group G; then show that G is an abelian group if (ab)2 = a2 b2.

Let G be an abelian group, then G is abelian β‡’ ab = ba, βˆ€ a, b ∈ G
β‡’ (ab)(ab) = (ba)(ab)
β‡’ (ab)2 = b(aa)b [by associativity]
β‡’ (ab)2 = (ba2)b
β‡’ (ab)2 = (a2b)b [∡ G is abelian]
β‡’ (ab)2 = a2(bb)
β‡’ (ab)2 = a2 b2

Conversely : For a, b ∈ G, (ab)2 = a2 b2, then (ab)2 = a2 b2 β‡’ (ab) (ab) = (aa) (bb)
β‡’ a(ba)b = a(ab)b [by associativity]
β‡’ G is an abelian group.
Therefore G is an abelian group ⇔ (ab)2 = a2 b2.

Example : If a is an element of a group G, then show that : a2 = a ⇔ a = e

Let a ∈ G and a2 = a then a2 = a β‡’ aa = ae
β‡’ a = e [by left cancellation law]
Conversely : If a = e, then
a = e β‡’ aa = ea
β‡’ a2 = a
Therefore a2 = a ⇔ a = e

Remark. For any element a of a group G, if a2 = a, then a is called an idempotent.

The identity element of the given group is 1, therefore O(a) = 1. For other elements, we see that
22 = 4, 23 = 3, 24 = 1 β‡’ O(2) = 4.
32 = 4, 33 = 2, 34 = 1 β‡’ O(3) = 4.
and 42 = 2 β‡’ O(4) = 2.

Example : If a, b are two elements of a group G such that am bn = ba, βˆ€ m, n Group Theory- I | Mathematics for Competitive Exams; then prove that : ambn-2, am-2bn, ab-1 are element of the same order in G.

ambm-2 = ambnb-2 = (ambn)b-2 = (ba)b-2
= (ba)(b-1b-1) [∡ ambn = ba]
= b(ab-1)b-1 = (b-1)-1 (ab-1) (b-1)
∴ O(ambn-2) = O(ab-1) [∴ O(a) = O(x-1 ax), βˆ€ x ∈ G] ...(1)
Again am-2bn = a-2 (ambn) = a-1a-1 ba [∡ ambn = ba]
am-2bn = a-1(a-1b)a
∴ O(am-2 bn) = O(a-1(a-1b)a)
= O(a-1b) [∡ O(a) = 0(x-1 ax), βˆ€ x ∈ G]
= O(a-1 b)-1 [∡ O(x) = 0(x-1)]
= O(b-1a) = O(eb-1 a)
= O(a-1 ab-1 a)
= O( a-1 (ab-1)a) = O(ab-1) ...(2)
From (1) and (2),
O(ambn-2) = O(am-2bn) = O(ab)-1

Example : If a is the only element of order 2 in a group G, then show that ax = xa, βˆ€ x ∈ G.

We know that for any element a in a group G.
O(a) = O(x-1 ax), βˆ€ x ∈ G
∴ O(a) = 2 β‡’ O(x-1 ax) = 2
But a is the only element of order 2 in G, therefore
O(a) = O(x-1 ax) β‡’ a = x-1 ax
β‡’ xa = x(x-1 ax)
β‡’ xa = ax, βˆ€ x ∈ G

Example : If G is a group such that (ab)m = ambn for three consecutive integers m, m + 1, m + 2 for all a, b ∈ G; show that G is abelian.

a, b ∈ G, then as given
(ab)m = ambm ...(i)
(ab)m+1 = am+1 bm+1 ...(ii)
(ab)m+2 = am+2 bm+2 ...(iii)
Now (ab)m+2 = (ab)m+1 ab
β‡’ am+2 bm+2 = am+1 bm+1 ab [by (ii) and (iii)]
β‡’ am+1 abm+1 b = bm+1 bm+1 ab
β‡’ abm+1 = bm+1 a [by cancellation law]
β‡’ am(abm+1) = am(bm+1 a)
β‡’ (ama)bm+1 = am(bmb)a
β‡’ am+1bm+1 = ambm(ba)
β‡’ (ab)m+1 = (ab)m (ba)
β‡’ (ab)m (ab) = (ba)m (ba)
β‡’ ab = ba
∴ G is an abelian group.

Example : If a, b are elements of an abelian group G, then prove that :
(ab)n = anbn, Group Theory- I | Mathematics for Competitive Exams

Case (i) When n = 0, then (ab)Β° = e = ee [by definition]
= aΒ° bΒ°
Case (ii) when n > 0; If n > 1, then (ab)1 = ab = a1 b1
∴ The result is true for n = 1.
Let the result be true for n = k, then (ab)k = ak bk
β‡’ (ab)(ab)k = (ab)(ak bk)
β‡’ (ab)k+1 = a(bak)b[by associativity]
β‡’ = a(akb)b[by commutativity in G]
β‡’ = (aak)(bbk) = ak+1 bk+1
Thus if the result is true for n = k, it is also true for n = k + 1.
Hence by principle of induction it is true for all integers.
Case (iii) When n < 0, then let n = - m , where m ∈ Z+, then
(ab)n = (ab)-m = [(ab)m]-1
= (ambm)-1 [by case (ii)]
= (bm am)-1 [by commutativity in G]
= (am)-1 (bm)-1 = a-m b-m
= an bn
Combining all the three cases, we conclude that G is commutative β‡’ (ab)n = anbn, βˆ€ Group Theory- I | Mathematics for Competitive Exams

Example : Prove that every group of order 4 is an abelian group.

Let G = {e, a, b, c} be a group of order 4 with e as its identity. Its composition table is as under :
Group Theory- I | Mathematics for Competitive Exams
Since every element of the group appears only once in each row of the composition table, therefore in the second row
ab = e or ab = b or ab = c
But ab = b β‡’ a = e which is not possible (∡ a β‰  e)
∴ ab β‰  b, Hence ab = e or, ab = c
Similarly in the third row ba β‰  a
∴ ba = e or ba = c
Since every element of the group appears only once in each column of the composition table, therefore
and Group Theory- I | Mathematics for Competitive Exams
Similarly it can be seen that
ac = ca and be = cb
Hence G is an abelian group.

Example : Consider Group Theory- I | Mathematics for Competitive Exams under addition modulo 10. Since 1-2 = 2, 2-2 = 4, 3-2 = 6, 4-2 = 8, 5-2 = 0, we know that |2| = 5. Similar computations show that |0| = 1, |7| = 10, |5| = 2, |6| = 5.

The document Group Theory- I | Mathematics for Competitive Exams is a part of the Mathematics Course Mathematics for Competitive Exams.
All you need of Mathematics at this link: Mathematics
98 videos|34 docs|32 tests

FAQs on Group Theory- I - Mathematics for Competitive Exams

1. What is group theory?
Ans. Group theory is a branch of mathematics that studies the properties and structures of groups. A group is a set of elements combined with an operation that satisfies certain properties, such as closure, associativity, identity element, and inverse element. Group theory has applications in various fields, including physics, chemistry, cryptography, and computer science.
2. What is an abelian group?
Ans. An abelian group, also known as a commutative group, is a group in which the order of the elements does not affect the result of the group operation. In other words, if 'a' and 'b' are elements of an abelian group, then 'a * b' is equal to 'b * a', where '*' represents the group operation. The name "abelian" comes from the mathematician Niels Henrik Abel, who extensively studied commutative groups.
3. What is the difference between an abelian group and a non-abelian group?
Ans. The main difference between an abelian group and a non-abelian group lies in the property of commutativity. In an abelian group, the order of the elements does not affect the result of the group operation, meaning 'a * b' is equal to 'b * a'. However, in a non-abelian group, the order of the elements does matter, and 'a * b' may not be equal to 'b * a'. Non-abelian groups exhibit more complex behavior and are often encountered in areas such as symmetry and transformations.
4. What are some examples of abelian groups?
Ans. Several examples of abelian groups include: 1. The additive group of integers (Z, +) 2. The additive group of real numbers (R, +) 3. The additive group of complex numbers (C, +) 4. The multiplicative group of non-zero rational numbers (Q*, *) 5. The set of all matrices of a fixed size with real numbers as entries, under matrix addition.
5. What are some examples of non-abelian groups?
Ans. Some examples of non-abelian groups include: 1. The symmetric group (S_n) of permutations of n elements, where n is greater than or equal to 3. 2. The dihedral group (D_n) of symmetries of a regular polygon with n sides. 3. The quaternion group (Q) of order 8. 4. The general linear group (GL_n) of invertible matrices of size n x n over a field. 5. The special unitary group (SU(2)) of 2x2 unitary matrices with determinant 1.
Related Searches

MCQs

,

Previous Year Questions with Solutions

,

Group Theory- I | Mathematics for Competitive Exams

,

study material

,

Group Theory- I | Mathematics for Competitive Exams

,

pdf

,

shortcuts and tricks

,

Semester Notes

,

Objective type Questions

,

past year papers

,

Extra Questions

,

ppt

,

Sample Paper

,

Group Theory- I | Mathematics for Competitive Exams

,

Important questions

,

Summary

,

mock tests for examination

,

Exam

,

Viva Questions

,

Free

,

practice quizzes

,

video lectures

;