Mathematics Exam  >  Mathematics Notes  >  Mathematics for Competitive Exams  >  Functions of One Variable - I

Functions of One Variable - I | Mathematics for Competitive Exams PDF Download

Introduction

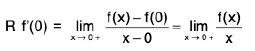
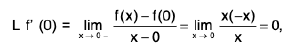
Function 

If A and B two non-empty sets then a relation defined from A to B is said to be a function if every element of A is associated with some unique element of set B
Functions of One Variable - I | Mathematics for Competitive Exams

Domain, Co-domain & Range

If y = f(x) is a function such that f is defined from A B then

  • Domain:Set A is called domain of f(x) and it is the set from which the independent variable ‘x’ takes its values. The independent variables ‘x’ must be able to take each and every element of set A
  • Co-domain:Set B is called co-domain of f(x) and it is the set from which the dependent variable y takes its values the dependent variables ‘y’ cannot take its values outside the co-domain.
  • Range:The set of values that y actually takes for different values of ‘x' is called range of f(x)
    ⇒ Range is a subset of B Range ⊆ co - domain

Real-valued Function

A function whose range is in the real numbers is said to be a real-valued function, also called a real function.
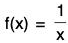
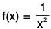
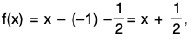
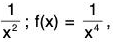
Example 1: f(x) = 1/x a real-valued function,

Sol: Each member of the codomain of f(x) = Functions of One Variable - I | Mathematics for Competitive Examsis a real number.
Also note that excluding zero from the codomain does not change the fact that every other member is a real number. Symbolically, we have
Functions of One Variable - I | Mathematics for Competitive Exams
Since Functions of One Variable - I | Mathematics for Competitive Examsis a subset ofFunctions of One Variable - I | Mathematics for Competitive Examsthen the expression above can be read as f is a real-valued function of a real-valued variable.

Example 2: The function f, g, and h defined on (-∞, ∞) by

Sol: f(x) = x2, g(x) = sin x, and h(x) = ex
have ranges [0, ), [-1, 1], and (0, ), respectively.

Example 3: The equation

Sol: [f(x)]= x ...(1)
does not define a function except on the singleton set {0}. If x < 0, no real number satisfies (1), while if x > 0, two real numbers satisfy (1). However, the conditions
[f(x)]2 = x and f(x) > 0
define a function f (1) Df = [0, ) with values f(x) = √x . Similarly, the conditions
[g(x)]2 = x and g(x) < 0
define a function g on Dg = (-∞, 0] with values g(x) = - √x . The ranges of f and g are [0, ∞) and (-∞, 0], respectively.

Arithmetic Operations on Functions

If Df ∩ Dg ≠ 0, then f + g, f - g and fg are defined by
(f + g)(x) = f(x) + g(x),
(f - g)(x) = f(x) - g(x),
and

(fg)(x) = f(x)g(x).

The quotient f/g is defined by
Functions of One Variable - I | Mathematics for Competitive Exams
for x in Df ∩ Dg such that g(x) ≠ 0.
Example 1: If f(x) = Functions of One Variable - I | Mathematics for Competitive Examsand g(x) = Functions of One Variable - I | Mathematics for Competitive Examsthen Df = [- 2 , 2] and Dg = [1, ∞), so f + g, f - g, and fg are defined on Df ∩ Dg = [1, 2] by

Sol: (f + g)(x) =Functions of One Variable - I | Mathematics for Competitive Exams
(f - g)(x) =Functions of One Variable - I | Mathematics for Competitive Exams
and
Functions of One Variable - I | Mathematics for Competitive Exams...(2)
The quotient f/g is defined on (1, 2] by
Functions of One Variable - I | Mathematics for Competitive Exams
Although the last expression in (2) is also defined for -∞ < x < -2, it does not represent fg for such x, since g is not defined on (-∞, -2] but f is.

Example 2: If c is a real number, the function cf defined by (cf)(x) = cf(x) can be regarded as the product of f and a constant function. Its domain is Df. The sum and product of n (> 2) functions f1,.....fn are defined by

Sol: (f1 + f2 + ... + fn) (x) = f1(x) + f2(x) + ... + fn(x)
and
(f1 + f2 + ... + fn)(x) = f1(x) * f2(x) * ... * fn(x) ...(3)
on Functions of One Variable - I | Mathematics for Competitive Examsprovided that D is nonempty. If f1 = f2 = ... = fn, then (3) defines the nth power of f :
(fn)(x) = (f(x))n.
From these definitions, we can build the set of all polynomials
p(x) = a0 + a1x + ... + anxn,
starting from the constant functions and f(x) = x. The quotient of two polynomials is a rational function
Functions of One Variable - I | Mathematics for Competitive Exams
The domain of r is the set of points where the denominator is nonzero.

Domain of Definition

The domain on which the function is define is known as domain of definition.

[let y = f(x) be a rule, D subset of R on which f becomes real valued function, i.e. if f :D → R with D subset of R then D is called Dod - domain of definition
Ex- f(x) = (1/x), Dod ~ R-{0}

Ex- f(x) = logex, Dod ~ R+]

Types of Functions

Functions of One Variable - I | Mathematics for Competitive Exams
Algebraic Functions

Polynomial Function A function of the form :

  • f(x) = a0 + a1x + a2x2 + ... + anxn ;
    where n ∈ N and a0, a1, a2, ..., anFunctions of One Variable - I | Mathematics for Competitive Exams
  • Then, f is called a polynomial function . “f(x) is also called polynomial in x” .

Some of basic polynomial functions are
(i) Identity function/Graph of f(x) = x

  • A function f defined by f(x) = x for all x ∈Functions of One Variable - I | Mathematics for Competitive Examsis called the identity function.
  • Here, y = x clearly represents a straight line passing through the origin and inclined at an angle of 45° with x-axis shown as : The domain and range of identity functions are both equal toFunctions of One Variable - I | Mathematics for Competitive Exams

Functions of One Variable - I | Mathematics for Competitive Exams(ii) Graph of f(x) = x2

  • A function given by f(x) = x2 is called the square function.
  • The domain of square function is Functions of One Variable - I | Mathematics for Competitive Examsand its range is Functions of One Variable - I | Mathematics for Competitive Exams∪ {0} or [0, ∞)
  • Clearly y = x2, is a parabola. Since y = x2 is an even function, so its graph is symmetrical about y-axis, shown as :
    Functions of One Variable - I | Mathematics for Competitive Exams

(iii) Graph of f(x) = x3

  • A function given by f(x) = x3 is called the cube function.
  • The domain and range of cube are both equal to Functions of One Variable - I | Mathematics for Competitive Exams
  • Since, y = x3 is an odd function, so its graph is symmetrical about opposite quadrant, i.e., “origin”,shown as :

Functions of One Variable - I | Mathematics for Competitive Exams

(iv) Graph of f(x) = x2n; n ∈ N

  • If n ∈ N, then function f given by f(x) = x2n is an even function.
  • So, its graph is always symmetrical about y-axis.
    Also, x2 > x4 > x6 > x8 > ... for   all x ∈ (-1,1)
    and x2 < x4 < x6 < x8 < ... for   all x ∈ (-∞,-1) υ(1,∞)
  • Graphs of y = x2, y = x4, y = x6,..., etc. areshownas:
    Functions of One Variable - I | Mathematics for Competitive Exams

(v) Graph of f(x) = x2n-1; n ∈ N

  • If n ∈ N, then the function f given by f(x) = x2n-1 is an odd function. So, its graph is symmetrical about origin or opposite quadrants.
  • Here, comparison of values of x, x3, x5, ...
    x ∈   (1, ∞)x<x3<x5<...
    x ∈   (0, 1)x>x3>x5>...
    x ∈   (-1, 0)x<x3<x5< ...
    x ∈   (-∞, -1)x>x3>x5>...
  • Graphs of f(x) = x, f(x) = x3, f(x) = x5, ... are shown as in Fig.
    Functions of One Variable - I | Mathematics for Competitive Exams

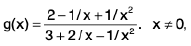
Rational Function

A function obtained by dividing a polynomial by an other polynomial is called a rational function.
Functions of One Variable - I | Mathematics for Competitive Exams
Domain ∈Functions of One Variable - I | Mathematics for Competitive Exams - {x | Q(x) = 0}
i.e. domain ∈Functions of One Variable - I | Mathematics for Competitive Examsexcept those points for which denominator = 0.
Graphs of some Simple Rational Functions
(i) Graph of f(x) = 1/x

  • A function defined by f(x) = 1/x is called the reciprocal function or rectangular hyperbola, with coordinate axis as asymptotes. The domain and range of f(x) = 1/x isFunctions of One Variable - I | Mathematics for Competitive Exams- {0}.
    Since, f(x) is odd function, so its graph issymmetrical about opposite quadrants. Also, we observe
    Functions of One Variable - I | Mathematics for Competitive Exams
    and as x → ± ∞ ⇒ f(x) → 0.
    Thus,Functions of One Variable - I | Mathematics for Competitive Exams could be shown as in Fig.
    Functions of One Variable - I | Mathematics for Competitive Exams

(ii) Graph of f(x) = 1/x2

  • Here,Functions of One Variable - I | Mathematics for Competitive Exams is an even function, so its graph issymmetrical about y-axis.
    Domain of f(x) isFunctions of One Variable - I | Mathematics for Competitive Exams - {0} and range is (0, ∞).
    Also, as y → ∞ as Functions of One Variable - I | Mathematics for Competitive Exams
    Thus,Functions of One Variable - I | Mathematics for Competitive Exams could be shown as in Fig.
    Functions of One Variable - I | Mathematics for Competitive Exams

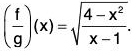
(iii) Graph of f(x) = Functions of One Variable - I | Mathematics for Competitive Exams

  • Here, f(x) = Functions of One Variable - I | Mathematics for Competitive Examsis an odd function, so its graph is Symmetrical in opposite quadrants.
    Also, y → when Functions of One Variable - I | Mathematics for Competitive Examsf(x) and y → - ∞ when Functions of One Variable - I | Mathematics for Competitive Exams
    Thus, the graph for f(x) = Functions of One Variable - I | Mathematics for Competitive Examsetc. will be similar to the graph of f(x) = 1/x which has asymptotes as coordinate axes, shown as in Figure.
    Functions of One Variable - I | Mathematics for Competitive Exams

(iv) Graph of f(x) = Functions of One Variable - I | Mathematics for Competitive Exams

  • We observe that the function f(x) = Functions of One Variable - I | Mathematics for Competitive Examsis an even function, so its graph is symmetrical about y-axis.
    As, y → ∞ as Functions of One Variable - I | Mathematics for Competitive Examsf(x) orFunctions of One Variable - I | Mathematics for Competitive Examsf(x)
    and y → 0 as Functions of One Variable - I | Mathematics for Competitive Examsf(x) orFunctions of One Variable - I | Mathematics for Competitive Examsf(x).
    The values of y decrease as the values of x increase. Thus, the graph of f(x) =Functions of One Variable - I | Mathematics for Competitive Exams etc. will be similar as the graph of f(x) = 1/x2, which has asymptotes as coordinate axis. Shown as in Fig.
    Functions of One Variable - I | Mathematics for Competitive Exams

Irrational Function

The algebraic function containing terms having non-integral rational powers of x are called irrational functions.

Graphs of Some Simple Irrational Functions

(i) Graph of f(x) = x1/2

  • Here, f(x) = √x is the portion of the parabola y2 = x, which lies above x-axis.
    Domain of f(x) ∈ R+ u {0} or [0, ∞)
    and range of f(x) ∈ R+ u {0} or [0, ∞)
    Thus, the graph of f(x) = x1/2 is shown as;
    If f(x) = xn and g(x) = x1/n, then f(x) and g(x) are inverse of each other.
    ∴ f(x) = xn and g(x) = x1/n is the mirror image about y = x.
    Functions of One Variable - I | Mathematics for Competitive Exams

(ii) Graph of f(x) = x1/3

  • As discussed above, if g(x) = x3. Then f(x) = x,1/3 is image of g(x) about y = x. wheredomain f(x) ∈ R.
    andrange of f(x) ∈ R.
    Thus, the graph of f(x) = x1/3 is shown in Fig.
    Functions of One Variable - I | Mathematics for Competitive Exams

(iii) Graph of f(x) = x1/2n; n e N

  • Here f(x) = x1/2n is defined for all x e [0, ∞) and the values taken by f(x) are positive.
    So, domain and range of f(x) are [0, ∞).
    Here, the graph of f(x) = x,/2n is the mirror image of the graph of f(x) = x2n about the line y = x, when x e [0, oo).
    Thus, f(x) = x1/2, f(x) = x1/4, ... are shown as;Functions of One Variable - I | Mathematics for Competitive Exams

(iv) Graph of f(x) = x1/2n-1when n ∈ N

  • Here, f(x) = x1/2n-1 is defined for all x ∈ Functions of One Variable - I | Mathematics for Competitive Exams So, domain of f(x) ∈ R, and range of f(x) ∈ R. Also the graph of f(x) = x,1/2n-1 is the mirror image of the graph of f(x) = x2n-1 about the line y = x when x ∈Functions of One Variable - I | Mathematics for Competitive Exams
    Thus, f(x) = x1/3, f(x) = x1/5, are shown as;
    Functions of One Variable - I | Mathematics for Competitive Exams

Piecewise Functions

As discussed piecewise functions are:

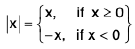
(i) Absolute value function (or modulus function)
Functions of One Variable - I | Mathematics for Competitive Exams
“It is the numerical value of x”.
“It is symmetric about y-axis" where domain ∈ Functions of One Variable - I | Mathematics for Competitive Exams
and   range ∈ [0, ∞).
Functions of One Variable - I | Mathematics for Competitive Exams

Properties of modulus functions

  • I x I < a - a < x < a ; (a > 0)
  • lxl > a => x < -a or x > a ; (a > 0)
  • lx ± y| < l x l + l y l
  • I x ± y | > II x I - | y ||

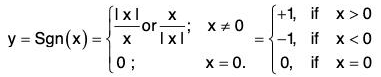
(ii) Signum function; y = Sgn(x)

It is defined by;
Functions of One Variable - I | Mathematics for Competitive Exams
Here, Domain of f(x) ∈Functions of One Variable - I | Mathematics for Competitive Exams
and Range of f(x) ∈ {-1, 0, 1}.
Functions of One Variable - I | Mathematics for Competitive Exams

Greatest integer function

[x] indicates the integral part of x which is nearest and smaller integer to x. It is also known as floor of x.

Thus, [2, 3] = 2, [0.23] = 0, [2] = 2, [-8.0725] = -9   

In general; n < x < n + 1(n ∈ Integer) ⇒ [x] = n.

Here, f(x) = [x] could be expressed graphically as;
Functions of One Variable - I | Mathematics for Competitive Exams
Thus, f(x) = [x] could be shown as;
Functions of One Variable - I | Mathematics for Competitive Exams

Properties of greatest integer function

  • [x] = x holds, if x is integer.
  • [x + I] = [x] + I, if I is integer.
  • [x + y] > [x] + [y].
  • If [ϕ(x)] > I, then ϕ (x) > I.
  • If [ϕ(x)] < I, then ϕ(x) <1 + 1.
  • [-x] = -[x], if x ∈ integer.
  • [-x] = -[x] -1, if x ∉ integer.

“It is also known as stepwise function/floor of x.”
Functions of One Variable - I | Mathematics for Competitive ExamsFractional part of function

Here, {.} denotes the fractional part of x. Thus, in y = {x}.
x = [x] + {x} = I + f ; where I = [x] and f = {x}
y = {x} = x - [x], where 0 < {x} < 1; shown as:
Functions of One Variable - I | Mathematics for Competitive Exams
Functions of One Variable - I | Mathematics for Competitive Exams
Properties of fractional part of x

  • {x} = x ; if 0 < x < 1
  • {x} = 0 ; if x e integer.
  • {-x} = 1 - {x} ; if x e integer.

Least Integer Function

y = (x)= M.

(x) or x I indicates the integral part of x which is nearest and greatest integer to x.

It is known as ceiling of x.

Thus, [2.3023] = 3, (0.23) = 1, (-8.0725) = - 8, (-0.6) = 0
In general,   n < x < n + 1 (n ∈ integral))

i.e.,   [x] or (x) = n + 1

shown as;
Functions of One Variable - I | Mathematics for Competitive ExamsHere, f(x) = (x) = [x], can be expressed graphically as:
Functions of One Variable - I | Mathematics for Competitive Exams
Functions of One Variable - I | Mathematics for Competitive ExamsProperties of least integer function

  • (x) = [x] = x, if
  • (x + I) = I x + I 1 = (x) = I ; if I ∈ integer.
  • Greatest integer converts x = I + f to [x]   = I while (xl converts to (I + 1).

Transcendental Functions

Trigonometric Function

(a) Sine Function: Here, f(x) = sin x can be discussed in two ways i.e., Graph diagram and Circle diagram where Domain of sine function is Functions of One Variable - I | Mathematics for Competitive Examsand range is [-1, 1].

Graph Diagram
(On x-axis and y-axis)
f(x) = sin x, increases strictly from - 1 to 1 as x increases from Functions of One Variable - I | Mathematics for Competitive Examsdecreases strictly from 1 to -1 as x increases from Functions of One Variable - I | Mathematics for Competitive Examsand so on. We have graph as;
Functions of One Variable - I | Mathematics for Competitive ExamsHere, the height is same after every interval of 2k. (i.e., In above figure, AB = CD after every interval of 2n).

sin x is called periodic function with period 2n.

Circle Diagram

(On trigonometric plane or using quadrants). Let a circle of radius T, i.e., unit circle.
Then, Functions of One Variable - I | Mathematics for Competitive Exams
Functions of One Variable - I | Mathematics for Competitive Exams
Functions of One Variable - I | Mathematics for Competitive Exams
Functions of One Variable - I | Mathematics for Competitive Exams
∴ sin x generates a circle of radius '1'.
Functions of One Variable - I | Mathematics for Competitive Exams(b) Cosine Function: Here, f(x) = cos x
The domain of cosine function is R and the range is [-1, 1].

Graph diagram (on x-axis and y-axis)
As discussed, cos x decreases strictly from 1 to -1 as x increases from 0 to π, increases strictly from -1 to 1 as x increases from π to 2π and so on. Also, cos x is periodic with period 2k.
Functions of One Variable - I | Mathematics for Competitive ExamsCircle Diagram
Let a circle of radius '1', i.e., a unit circle.

Functions of One Variable - I | Mathematics for Competitive Exams

Functions of One Variable - I | Mathematics for Competitive Exams

∴ cos x generates a circle of radius '1'.

Functions of One Variable - I | Mathematics for Competitive Exams
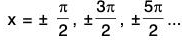
(c) Tangent Function: f(x) = tan x
The domain of the function y = tan x is;
Functions of One Variable - I | Mathematics for Competitive Exams
Functions of One Variable - I | Mathematics for Competitive Exams
The function y = tan x increases strictly from - oo to + oo as x increases from
Functions of One Variable - I | Mathematics for Competitive Exams
The graph is shown as :
Functions of One Variable - I | Mathematics for Competitive ExamsNote : Here, the curve tends to meet at x = Functions of One Variable - I | Mathematics for Competitive Exams ...but never meets or tends to infinity.
∴ Functions of One Variable - I | Mathematics for Competitive Examsare asymptotes to y = tan x.
(d) Cosecant Function: f(x) = cosec x
Functions of One Variable - I | Mathematics for Competitive ExamsHere, domain of y = cosec x is,
R - {0, ±π, ±2π, ±3π, ...}
i.e., R - {nπ I n ∈ z} and range e Functions of One Variable - I | Mathematics for Competitive Exams- (- 1, 1)
as shown in Fig.
The function y = cosec x is periodic with period 2π.

(e) Secant Function: f(x) = sec x
Here, Functions of One Variable - I | Mathematics for Competitive Exams

Range ∈ R - (-1, 1)
Shown as:

Functions of One Variable - I | Mathematics for Competitive ExamsThe function y = sec x is periodic with period 2n.

  • The curve y = cosec x tends to meet at x = 0, ±π, ±2π, ... at infinity.
    ∴ = 0, ±π, ±2π, ...
    or x = nπ, n ∈ integer are asymptote to y = cosec x.
  • The curve y = sec x tends to meet at x =Functions of One Variable - I | Mathematics for Competitive Exams ... at infinity.
    Functions of One Variable - I | Mathematics for Competitive Exams n ∈ integer are asymptote to y = cosec x.

(f) Cotangent Function: f(x) = Cot x
Here, domain ∈ Functions of One Variable - I | Mathematics for Competitive Exams- {nπ In ∈ z} Range ∈ R.
which is periodic with period π, and has x = nπ, n ∈ z as asymptotes. As shown in Fig.
Functions of One Variable - I | Mathematics for Competitive Exams

Exponential Function

Here, f(x) = ax, a > 0, a ≠ 1, and x ∈ R, where domain ∈ Functions of One Variable - I | Mathematics for Competitive Exams

Range ∈ (0, ∞).
Case I. a > 1
Here, f(x) = y = ax increase with the increase in x, i.e., f(x) is increasing function on R.
Functions of One Variable - I | Mathematics for Competitive Exams

For Ex;

y = 2x y = 3x, y = 4x, ... have;
2x < 3x < 4x < ... for x > 1
and2x > 3x > 4x > ... for 0 < x < 1.

and they can be shown as;

Case II. 0 < a < 1

Here, f(x) = ax decrease with the increase in x, i.e., f(x) is decreasing function on R.

“In general, exponential function increases or decreases as (a > 1) or (0 < a < 1) respectively”.

Functions of One Variable - I | Mathematics for Competitive Exams

Logarithmic Function

(Inverse of Exponential)
The function f(x) = loga x; (x, a > 0) and a ≠ 1 is a logarithmic function.
Thus, the domain of logarithmic function is all real positive numbers and their range is the set R of all real numbers.
We have seen that y = ax is strictly increasing when a > 1 and strictly decreasing when 0 < a < 1.
Thus, the function is invertible.The inverse of this function is denoted by loga x, we write
y = ax ⇒ x = loga y;
where x ∈ R and y e (0, ∞) writing y = loga x in place of x = loga y, we have the graph of y =loga x.
Thus, logarithmic function is also known as inverse of exponential function.

Functions of One Variable - I | Mathematics for Competitive Exams

Properties of logarithmic function

  •  loge (ab) = loge a + loge b {a, b > 0}
  •  Functions of One Variable - I | Mathematics for Competitive Exams {a, b > 0}
  •  loge am = m loge a {a > 0 and m ∈ R }
  •  loga a = 1 {a > 0 and a ≠ 1}
  • Functions of One Variable - I | Mathematics for Competitive Exams {a, b > 0, b * 1 and m e R}
  • Functions of One Variable - I | Mathematics for Competitive Exams                    {a, b > 0 and a, b ≠ 1}
  • Functions of One Variable - I | Mathematics for Competitive Exams                    {a, b > 0 * {1} and m > 0}
  • Functions of One Variable - I | Mathematics for Competitive Exams                             {a, m > 0 and a ≠ 1}
  • Functions of One Variable - I | Mathematics for Competitive Exams                      {a, b, c > 0 and c ≠ 1}
  • If logm x > logm y ⇒ Functions of One Variable - I | Mathematics for Competitive Exams

which could be graphically shown as;

If m > 1 (Graph of logm a)

Functions of One Variable - I | Mathematics for Competitive Exams

⇒ logm x > logm y when x > y and m > 1.

Again if 0 < m < 1. (Graph of logm a)

Functions of One Variable - I | Mathematics for Competitive Exams

⇒ logm x > logm y; when x < y and m < m < 1.

  • logm a = b ⇒ a = mb             { a , m > 0 ; m * 1; b ∈ R } 
  •  logm a > b ⇒ Functions of One Variable - I | Mathematics for Competitive Exams
  •  logm a < b ⇒ Functions of One Variable - I | Mathematics for Competitive Exams

Geometrical Curves

(a) Straight line : ax + by + c = 0 (represents general equation of straight line). We know,
y = -c/b where x = 0
and x = -c/a where y = 0
joining above points we get required straight line.

Functions of One Variable - I | Mathematics for Competitive Exams

(b) Circle : We know,
(i) x2 + y2 = a2 is circle with centre (0, 0) and radius r.

Functions of One Variable - I | Mathematics for Competitive Exams

(ii) (x - a)2 + (y - b)2 = r2, circle with centre (a, b) and radius r.

Functions of One Variable - I | Mathematics for Competitive Exams

(iii) x2 + y2 + 2gr + 2fy + c = 0; centre (-g, -f); radius Functions of One Variable - I | Mathematics for Competitive Exams

Functions of One Variable - I | Mathematics for Competitive Exams

(iv) (x - x1)(x - x2) + (y - y1)(y - y2) = 0;

End points of diameter are (x1, y1) and (x2, y2).

Functions of One Variable - I | Mathematics for Competitive Exams

(c) Parabola:
(i) y2 = 4ax
Vertex : (0, 0)
Focus : (a, 0)
Axis : x-axis or y = 0
Directrix : x = -a
(ii)y2 = -4ax
Vertex : (0, 0
Focus : (-a, 0)
Axis : x-axis or y = 0
Directrix : a = 0

Functions of One Variable - I | Mathematics for Competitive Exams

(iii) x2 = 4ay
Vertex : (0, 0
Focus : (0, a)
Axis : y-axis or x = 0
Directrix : y = -a
(iv) x2 = - 4ay
Vertex : (0, 0)
Focus : (0, -a)
Axis : y-axis or x = 0
Directrix : y = 0

Functions of One Variable - I | Mathematics for Competitive Exams

(v) (y - k)2 = 4a (x - h)
Vertex : (h, k)
Focus : (h + a, k)
Axis : x = h
Directrix : x = h - a

Functions of One Variable - I | Mathematics for Competitive Exams

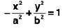
(d) Ellipse:

(i) Functions of One Variable - I | Mathematics for Competitive Exams

Centre : (0, 0)
Focus : (±ae, 0)
Vertex : (±a, 0)

Functions of One Variable - I | Mathematics for Competitive Exams

Eccentricity : e = Functions of One Variable - I | Mathematics for Competitive Exams

Directrix : x = ± a/e

(ii) Functions of One Variable - I | Mathematics for Competitive Exams

Functions of One Variable - I | Mathematics for Competitive Exams

(iii)Functions of One Variable - I | Mathematics for Competitive Exams

Functions of One Variable - I | Mathematics for Competitive Exams

(e) Hyperbola:

(i) Functions of One Variable - I | Mathematics for Competitive Exams

Centre : (0, 0)
Focus : (±ae, 0)
Vertices : (±a, 0)
Eccentricity : e = Functions of One Variable - I | Mathematics for Competitive Exams
Directrix : x = ± a/e

In above figure asymptotes are y =  Functions of One Variable - I | Mathematics for Competitive Exams

Functions of One Variable - I | Mathematics for Competitive Exams

(ii)Functions of One Variable - I | Mathematics for Competitive Exams

Functions of One Variable - I | Mathematics for Competitive Exams

(iii) Functions of One Variable - I | Mathematics for Competitive Exams

Functions of One Variable - I | Mathematics for Competitive Exams

(iv) x2 - y2 = a2 (Rectangular hyperbola)

As asymptotes are perpendicular. Therefore, called rectangular hyperbola.

Functions of One Variable - I | Mathematics for Competitive Exams

(v) xy = c2

Here, the asymptotes are x-axis and y-axis.

Functions of One Variable - I | Mathematics for Competitive Exams

Inverse Trigonometric Curves

As we know trigonometric functions are many one in their domain, hence, they are not invertible. But their inverse can be obtained by restricting the domain so as to make invertible. Every inverse trigonometric is been converted to a function by shortening the domain.

For Ex :Let f(x) = sin x
We know, sin x is not invertible for x ∈ R.
In order to get the inverse we have to define domain as:

Functions of One Variable - I | Mathematics for Competitive Exams

∴ If Functions of One Variable - I | Mathematics for Competitive Examsdefined by f(x) = sin x is invertible and inverse can be represented by:

Functions of One Variable - I | Mathematics for Competitive Exams

Similarly,
y = cos x becomes invertible when f : [0, π ] →[-1, 1]
y = tan x ; becomes invertible when Functions of One Variable - I | Mathematics for Competitive Exams

y = cot x ; becomes invertible when f : (0, π ) → [-∞, ∞]
y = sec x ; becomes invertible when Functions of One Variable - I | Mathematics for Competitive Exams

y = cosec x; becomes invertible when Functions of One Variable - I | Mathematics for Competitive Exams

(i) Graph of y = sin-1 x ;

where,
x ∈ [-1, 1]
and y = Functions of One Variable - I | Mathematics for Competitive Exams
As the graph of f-1(x) is mirror image of f(x) about y = x.

Functions of One Variable - I | Mathematics for Competitive Exams

(ii) Graph of y = cos-1 x ;

Here,
domain ∈ [-1, 1]
Range e [0, π]
Functions of One Variable - I | Mathematics for Competitive Exams

(iii) Graph of y = tan-1 x ;

Here, domain ∈ R, Range ∈ Functions of One Variable - I | Mathematics for Competitive Exams

Functions of One Variable - I | Mathematics for Competitive Exams

As we have discussed earlier, “graph of inverse function is image of f(x) about y = x” or “by interchanging the coordinate axes”.

(iv) Graph of y = cot-1 x ;

We know that the function f : (0, π) → R, given by f(θ) = cot θ is invertible.

∴ Thus, domain of cot-1 x ∈ R and Range ∈ (0, π).

Functions of One Variable - I | Mathematics for Competitive Exams

(v) Graph for y = sec-1 x;

The function f : Functions of One Variable - I | Mathematics for Competitive Examsgiven by f(θ) = sec θ is invertible.

y = sec-1 x, has domain ∈ R - (-1, 1) and range ∈ [0, π] - π/2 : shown as

Functions of One Variable - I | Mathematics for Competitive Exams

(vi) Graph for y = cosec-1 x;

As we know, f : Functions of One Variable - I | Mathematics for Competitive Exams is invertible given by f(θ) = cosθ.
∴ y = cosec-1 x ; domain ∈ R - (-1, 1)

Range ∈ Functions of One Variable - I | Mathematics for Competitive Exams

Functions of One Variable - I | Mathematics for Competitive Exams

Note : If no branch of an inverse trigonometric function is mentioned, then it means the principal value branch of that function.
In case no branch of an inverse trigonometric function is mentioned, it will mean the principal value branch of that function, (i.e.,)

Functions of One Variable - I | Mathematics for Competitive Exams

Bounded Function

A function f : [a, b] → R is said to be bounded in the interval [a, b], if there exist two numbers k and K such that
k < f(x) < K ∀ x ∈ [a, b]. or if its range is bounded.
Thus a function is bounded in [a, b], if it is both bounded above and bounded below in [a, b].
Ex :

  • f(x) = x2 is bounded in [1, 2], since 1 < f(x) < 4 ∀ x ∈ [1, 2].
  • f(x) = 1/x is bounded in (0, 1).
  • f(x) = x/x-1 is not bounded in [1, 4].

Results :

  • Every bounded sequence has a limit points.
  • A number p is a limit point of a sequence <an> iff there exists a subsequence (ank) of <an> such that ank → p.
  • Every closed interval [a, b] is a closed set.
  • A closed set contains all its limit points.
  • If p is a limit point of a set S and S⊂T, then p is also a limit point of T.

Unbounded function
If a function is neither bounded above nor below, then this is known as an unbounded function.
Ex :

  • f(x) = x is unbounded for x∈ (-∞,∞).
  • f(x)= 1/x is unbounded on any interval that includes x = 0.

Properties of bounded functions

  • If f,g are bounded, then f + g, f - g, f-g, and f/g are also bounded.
  • If f is bounded, then I f I is bounded and also the composition fog is bounded for any function g. In particular, any transformation of f is also bounded.
  • If f is bounded and g does not approach 0 arbitrarily close (that is, inf(lgl) > 0, then f /g is bounded
  • A sum/difference of a bounded and an unbounded function is again unbounded.

Ex:A product of two unbounded functions may be bounded. x(1/x) = 1.
Composition of two unbounded functions may yield a bounded function.
For Ex, 1/x is unbounded, so is (ex + 1), but when we substitute the latter into the former, we get 1/(ex + 1), which is a bounded function. Indeed, inf(ex + 1) = 1, so we are separated from zero, and 1 is a bounded function (constant), so the ratio is bounded..

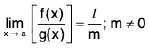
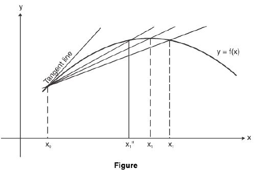
Limit of a Function of One Variable

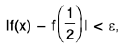
If L is a real number, then limx→x0 f(x) = L means that the value f(x) can be made as close to L as we wish by taking x sufficiently close to x0. This is made precise in the following definition.
Functions of One Variable - I | Mathematics for Competitive Exams

A function f is said to tend to a limit / as x tends to a, written as Functions of One Variable - I | Mathematics for Competitive Examsif given any ε > 0 (however small), there exists some δ > 0 (depending on ε) such that I f(x) - / I < ε whenever 0 < I x - a | < δ.
Figure depicts the graph of a function for which Functions of One Variable - I | Mathematics for Competitive Examsf(x) exists.

Solved Example
Example : Functions of One Variable - I | Mathematics for Competitive Exams= 5

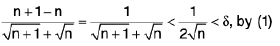
Sol: L et ε > 0 be given . We have I (2x + 3) - 5 | = | 2x - 2 | = 2 | x - 1 |.
Now I (2x + 3) - 5 | < ε when 2 I x — 1 | < ε or I x — 1 | < 1/2ε.

Choosing δ =  1/2ε, I (2x + 3) - 5 | < ε when I x - 1 | < δ.
Hence Functions of One Variable - I | Mathematics for Competitive Exams= 5

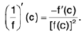
Example : If c and x are arbitrary real numbers and f(x) = cx, then Functions of One Variable - I | Mathematics for Competitive Exams

Sol: To prove this, we write lf ( x ) - c x0l = le x - c x0l = Icllx - x0l.

If c ≠0, this yields

lf(x) - cx0l < ε ------(*)
if

lx - x0l < δ,

where δ is any number such that 0 < δ < ε/lcl. If c = 0, then f(x) - cx0 = 0 for all x, so (*) holds for all x.

One-Sided Limits

The function
f(x) = 2x sin √x
satisfies the inequality
lf(x)l < ε
if 0 < x < δ = ε/2. However, this does not mean that limx →0 f(x) = 0, since f is not defined for negative x, as it must be to satisfy the conditions of Definition with x0 = 0 and L = 0. The function
Functions of One Variable - I | Mathematics for Competitive Exams

can be rewritten as

Functions of One Variable - I | Mathematics for Competitive Exams

hence, every open interval containing x0 = 0 also contains points x1 and x2 such that Igf(x1) - g(x2)l is as close to 2 as we places. Therefore, limx→ xo g(x) does not exist.

Although f(x) and g(x) do not approach limits as x approaches zero, they each exhibit a definite sort of limiting behavior for all positive values of x, as does g(x) for small negative values of x. The kind of behavior we have in mind is defined precisely as follows.

Functions of One Variable - I | Mathematics for Competitive Exams

Left Hand and Right Hand Limits

A function f is said to tend to a limit / as x tends to a from the left, if given any ε > 0 (however small), there exists a δ > 0 (depending on ε) such that I f(x) -/I < ε, whenever a- δ < x < a.
Functions of One Variable - I | Mathematics for Competitive Exams
It is called the left hand limit at a

Remarks 1. x → a-      x → a through values less than a,

x → a+  x → a through values greater than a.
Remarks 2. Clearly, Functions of One Variable - I | Mathematics for Competitive Examsf(x) exists if and only if Functions of One Variable - I | Mathematics for Competitive Examsf(x) and Functions of One Variable - I | Mathematics for Competitive Examsf(x) both exist and are equal.

Hence Functions of One Variable - I | Mathematics for Competitive Exams

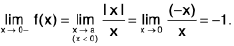
Example : I x I = x, if x ≥ 0 and I x I = - x, if x < 0

Sol: Functions of One Variable - I | Mathematics for Competitive Exams
Functions of One Variable - I | Mathematics for Competitive Exams

Hence Functions of One Variable - I | Mathematics for Competitive Examsdoes not exist, since Functions of One Variable - I | Mathematics for Competitive Exams

Example : Show that the function f, defined on R\{0} by f(x) = sin(1/x), whenever x ≠ 0, does not approach 0 as x → 0.

Sol: Let ε = 1/2 > 0 and let δ be any positive number.
By Archimedean property, for 1/δ > 0, ∃ π ε N such that
Functions of One Variable - I | Mathematics for Competitive Exams

If Functions of One Variable - I | Mathematics for Competitive Exams
Now Isin (1/x) - 0| = |sin (2nπ + π/2) = 1 > ε.
Thus there is an Functions of One Variable - I | Mathematics for Competitive Examssuch that for each δ > 0, ∃ some point x = Functions of One Variable - I | Mathematics for Competitive Exams for which Isin (1/x) - 0| > ε and 0 < lx — 0| < δ .
Hence Functions of One Variable - I | Mathematics for Competitive Exams

Some Theorems on limit

Theorem :Functions of One Variable - I | Mathematics for Competitive Exams, if it exists, is unique.

Proof. Let Functions of One Variable - I | Mathematics for Competitive Exams = and Functions of One Variable - I | Mathematics for Competitive Exams = l'                                                ----(1)

We shall show that / = /’. Let ε > 0 be given.

Using (1), there exists δ1 > 0 and δ2 > 0 such that
Functions of One Variable - I | Mathematics for Competitive Exams                                                  ----(2)
and Functions of One Variable - I | Mathematics for Competitive Exams                                         ----(3)
Let δ = min (δ1, δ2). Then, by (2) and (3),
Functions of One Variable - I | Mathematics for Competitive Exams
Functions of One Variable - I | Mathematics for Competitive Exams
Now I/ - /’| = |/ - f(x) + f(x) - l'| Functions of One Variable - I | Mathematics for Competitive Exams
∴ I/ - / ’| < ε, when 0 < lx — a| < δ .
Since ε is arbitrarily small, I/ - /’| = 0. Hence / = /’.

Theorem : If Functions of One Variable - I | Mathematics for Competitive Examsand Functions of One Variable - I | Mathematics for Competitive Exams, then
(i) Functions of One Variable - I | Mathematics for Competitive Exams
(ii) Functions of One Variable - I | Mathematics for Competitive Exams
(iii)
Functions of One Variable - I | Mathematics for Competitive Exams

Proof.

(i) Let ε > 0 be given. There exist δ1 > 0, δ2 > 0 such that
lf(x) - /I < 1/2 ε, whenever 0 < lx - a| < δ1 

and lg(x) - m| < 1/2 ε, whenever 0 < lx - a| < δ2,

Let δ = min (δ1 δ2). Then

lf(x) - /I < 1/2 ε, whenever 0 < lx - a| < δ,

and   lg(x) - m| < 1/2 ε, whenever 0 < lx — a| <δ,

Now   lf(x) ± g(x) - (/ ± m)| = |(f(x) - /I ± (g(x) - m)|

< lf(x) - /I + lg(x) - m| < δ/2 + ε/2 = ε, when 0 < lx — a| <δ l{f(x) ± g(x)| - (/ ± m)| < δ, whenever 0 < lx - a| < δ.

Hence lim [f(x) ± g(x)l = / ± m.

(ii) We have lf(x) g(x) - /ml

=I g(x)   (f(x) - /) +   /(g(x) - m) | ≤I g(x)   I I f((x) - /   I + I / I I g(x) - m   |.   ...(1)

SinceFunctions of One Variable - I | Mathematics for Competitive Examsf(x) = / and Functions of One Variable - I | Mathematics for Competitive Examsg(x) = m, for ε’ > 0, there exists some δ > 0 such that

Ig(x)- /I < ε’   and | g(x) - m | < ε' 0 <| x - a | < ε .   ...(2)

Now   Ig(x)I =   I m + g(x) - m |I m I + I g(x) -m|

orIg(x) I <   I m I   + ε' when   0 < | x — a | < δ.   ...(3)
From (1), (2) and (3) ; we obtain
I f(x) g(x) - /m I
< (I m I + ε’) ε’ + | / I ε’ when 0 < | x - a | < δ
< (I m I +l / I + 1) v when 0 < | x - a | < δ. (∴ ε’ < 1)
Let us choose ε’ such that
Functions of One Variable - I | Mathematics for Competitive Exams
∴ lf(x) g(x) - /ml < ε, whenever 0 < lx - a| < δ.
Hence Functions of One Variable - I | Mathematics for Competitive Exams
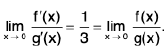
(iii) Consider Functions of One Variable - I | Mathematics for Competitive Exams

= Functions of One Variable - I | Mathematics for Competitive Exams
Functions of One Variable - I | Mathematics for Competitive Exams ......(1)
Since Functions of One Variable - I | Mathematics for Competitive Exams g(x) = m ≠0, so there exists a δ1 > 0 such that
Functions of One Variable - I | Mathematics for Competitive Exams
Functions of One Variable - I | Mathematics for Competitive Exams            ......(2)

Since Functions of One Variable - I | Mathematics for Competitive Exams f(x) = l, so there exists a δ2 > 0 such that
Functions of One Variable - I | Mathematics for Competitive Exams ......(3)
Since Functions of One Variable - I | Mathematics for Competitive Exams g(x) = m, so there exists a δ3 > 0 such that
Functions of One Variable - I | Mathematics for Competitive Exams ......(4)
Let δ = min (δ1, δ2, δ3). From (1), (2), (3), (4) ; we get
Functions of One Variable - I | Mathematics for Competitive Exams
Hence Functions of One Variable - I | Mathematics for Competitive Exams, provided m ≠ 0

Ex.Let f(x) = x2 sin (1/x), when x ≠ 0, f(0) = 0, and g(x) = x.
Ex. Evaluate Functions of One Variable - I | Mathematics for Competitive Examsand Functions of One Variable - I | Mathematics for Competitive Exams
Hint,Functions of One Variable - I | Mathematics for Competitive Exams
Functions of One Variable - I | Mathematics for Competitive Exams
Theorem : If Functions of One Variable - I | Mathematics for Competitive Exams , then there exists a 8 > 0 such that
Functions of One Variable - I | Mathematics for Competitive Exams

Proof. Since / ≠0, so I / I > 0.

Let us choose ε > 0 such that Functions of One Variable - I | Mathematics for Competitive Exams

Now Functions of One Variable - I | Mathematics for Competitive Exams ⇒ for any ε > 0, ∃ a δ > 0 such that
lf(x) - l| < ε, when 0 < lx - a| < δ.                                 ----(1)
Now I / 1 = I / - f(x) + f(x) | < I / - f(x) | + | f(x) |.           ----(2)
From (1) and (2), I / I < ε + I f(x) I, when 0 < I x - a | < δ
⇒ I f(x) I > I / I - ε, when 0 < I x - a | < δ
⇒ Functions of One Variable - I | Mathematics for Competitive Exams, hen 0 < I x - a | < δ
Hence Functions of One Variable - I | Mathematics for Competitive Examswhen 0 < I x - a | < δ.

Theorem : Prove that Functions of One Variable - I | Mathematics for Competitive Examsf(x) exists and is equal to a number / if and only if both left limit Functions of One Variable - I | Mathematics for Competitive Examsf(x) and right limit Functions of One Variable - I | Mathematics for Competitive Examsf(x) exist and are equal to /.

OR

Let f be defined on a deleted neighbourhood of c. Show thatFunctions of One Variable - I | Mathematics for Competitive Examsf(x) exists and equals / iff

f(c + 0), f(c - 0) both exist and are equal to /.

Proof. Condition is necessary

Let Functions of One Variable - I | Mathematics for Competitive Examsf(x) = /. Then for any ε > 0, there exists some δ > 0 such that

lf(x)-/I   <ε,when0 <lx - c| < 8

orlf(x)-/I<ε,when c - δ < x < c + δ, x ≠ c.

It follows that lf(x) -/I<ε,whenc-δ < x < c,   ...(1)

and   lf(x)   -   /I   <   c,whenc<x < c + δ.   ...(2)

From (1) and (2), we see that

Functions of One Variable - I | Mathematics for Competitive Examsf(x) and Functions of One Variable - I | Mathematics for Competitive Exams f(x) both exist and are equal to /.
Condition is sufficient
Let Functions of One Variable - I | Mathematics for Competitive Exams
Then for any ε > 0, there exist some δ, > 0 and δ2 > 0 such that

lf(x) - /I < ε, when c < x < c + δ1   ...(3)

and   lf(x) - /I < ε, when c - δ2 < x < c.   ...(4)
Let δ = min (δ1, δ2). Then 8 ≤ δand δ2 ≤ δ2

⇒ c + δ ≤ c + δ1 and c - δ ≥ c - δ2 (or c - δ2 < c - δ).   ...(5)
From (3), and (5), we obtain

lf(x) - /I < ε, when c < x < c +δ1
and   lf(x) - /I < ε, when c - δ < x < c.

If(x) — /I < ε, when c - δ < x < c + δ1 x ≠ c
orlf(x) — /I < ε, when 0 < lx - c| < δ.
Hence Functions of One Variable - I | Mathematics for Competitive Examsf(x) = /.

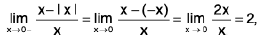
Ex : Show that Functions of One Variable - I | Mathematics for Competitive Exams does not exist.

We have
Functions of One Variable - I | Mathematics for Competitive Exams
and Functions of One Variable - I | Mathematics for Competitive Exams

L.H.L ≠ R.H.L
Hence Functions of One Variable - I | Mathematics for Competitive Examsdoes not exist.

Infinite Limits or Limits at Infinity

Definition :The expression Functions of One Variable - I | Mathematics for Competitive Examsf(x) = / means, given any ε > 0, there exists some M > 0 such thatI f(x) - l I < ε, when x > M.
Definition :The expression Functions of One Variable - I | Mathematics for Competitive Exams means, given any M > 0 (however large), there exists some δ > 0 such that
f (x) > m, whenever I x - a | < δ.
Definition :The expression Functions of One Variable - I | Mathematics for Competitive Examsmeans, given any M > 0 (however large), there exists some δ > 0 such that
f(x) < -M, whenever I x - a | < δ.

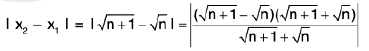
Ex : Show that
(i) Functions of One Variable - I | Mathematics for Competitive Exams

(ii) Functions of One Variable - I | Mathematics for Competitive Exams
(iii) Functions of One Variable - I | Mathematics for Competitive Exams

(i)Let M > 0 be any large number. Let δ = 1/M.
Then 0 < x < δ ⇒ Functions of One Variable - I | Mathematics for Competitive Exams
Hence Functions of One Variable - I | Mathematics for Competitive Exams   by
(ii)Again - d < x < 0 ⇒ Functions of One Variable - I | Mathematics for Competitive ExamsFunctions of One Variable - I | Mathematics for Competitive ExamsFunctions of One Variable - I | Mathematics for Competitive Exams
Hence Functions of One Variable - I | Mathematics for Competitive Exams by

Note : Functions of One Variable - I | Mathematics for Competitive Exams does not exist.
(iii)Now - δ < x < δ ⇒ Functions of One Variable - I | Mathematics for Competitive Exams  ⇒ Functions of One Variable - I | Mathematics for Competitive Exams

Hence Functions of One Variable - I | Mathematics for Competitive Exams by

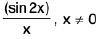
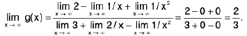
Example: Find Functions of One Variable - I | Mathematics for Competitive Exams

Sol: Dividing numerator and denominator by x2, we get
Functions of One Variable - I | Mathematics for Competitive Exams
= Functions of One Variable - I | Mathematics for Competitive Exams
= Functions of One Variable - I | Mathematics for Competitive Exams
= 1

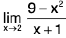
Example: Find Functions of One Variable - I | Mathematics for Competitive Examsand Functions of One Variable - I | Mathematics for Competitive Exams

Sol: If c is a constant, then Functions of One Variable - I | Mathematics for Competitive Examsc = c, and, from Example Functions of One Variable - I | Mathematics for Competitive Exams x = x0,. Therefore, from Theorem
Functions of One Variable - I | Mathematics for Competitive Exams

= Functions of One Variable - I | Mathematics for Competitive Exams
= 9 - 22 = 5,
and
Functions of One Variable - I | Mathematics for Competitive Exams
Therefore,
Functions of One Variable - I | Mathematics for Competitive Exams
and
Functions of One Variable - I | Mathematics for Competitive Exams

Example :LetFunctions of One Variable - I | Mathematics for Competitive Exams

Sol: it leads to an indeterminate form as x tends to infinity. Rewriting it as
Functions of One Variable - I | Mathematics for Competitive Exams
we find that

Functions of One Variable - I | Mathematics for Competitive Exams

Monotonic Functions

A function f is non-decreasing on an interval I if
f(x1) < f(x2) whenever x1 and x2 are in I and x1 < x2,   ...(1)
Similarly, A function f is non-increasing on I if
f(x1) > f(x2) whenever x1 and x2 are in I and x1 < x2.   ...(2)
In either case, f is monotonic on I. If < is replaced by < in (1), f is said to be strictly increasing on I. If > is replaced by > in (2), f is said to be strictly decreasing on I. In either of these two cases, f is strictly monotonic on I.
Ex :The functionFunctions of One Variable - I | Mathematics for Competitive Examsis non-decreasing on I = [0, 2] and - f is non-increasing on I = [0, 2].
Functions of One Variable - I | Mathematics for Competitive Exams

The function g(x) = x2 is increasing on [0, ∞) Figure,
Functions of One Variable - I | Mathematics for Competitive Exams

and h(x) = -x3 is decreasing on (-∞, ∞) Figure.
Functions of One Variable - I | Mathematics for Competitive Exams

Properties of Monotonic Functions

  • If f is monotonic then, for any monotonic sequence <an>, <f(an)> is also monotonic.
  • Sum of two monotonically increasing (decreasing) sequence again monotonically increasing (decreasing).
  • Difference of two monotonically increasing (decreasing) sequence may not be monotonically increasing (decreasing).

Ex : Functions of One Variable - I | Mathematics for Competitive Exams
such that f(x) = sinx & g(x) = x
but (f - g)(x) = sinx - x is not monotonic.
(iv) Similarly product of two monotonically increasing (decreasing) sequences may not be monotonically increasing (decreasing).

Ex: f: R→ M & g : R → R
such that f(x) = x & g(x) = x
but (fg)(x) = x2 is not monotonic.
(v)If the function f is increasing (decreasing), then the inverse function 1/f is decreasing (increasing).

(vi) Composition of two monotonic functions f:X →Y & g : Y →Z is monotonic g of: X→ Z.

Continuous Functions of One Variable

Consider a function f : [a, b] → R, Let a < c < b i.e. c ∈[a,b].
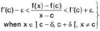
Definition : A function f is said to be continuous at a point c, if for any ε > 0, there exist some δ > 0 such that

I f(x) - f(c) | < ε, whenever I x - c | < δ   ...(1)
or Functions of One Variable - I | Mathematics for Competitive Exams
A function f is said to be continuous in an interval [a, b], if it is continuous at every point of the interval [a, b].
Remark : If a function f is not continuous at a point c, then from (1), it follows that there exists some ε > 0 such that for each δ > 0, there is some y ∈ [a, b] satisfying
| f(y) - f(c) | > e, when I y - c | < δ.
Definition :A function f is said to be discontinuous at a point x = c, if f is not continuous at

x = c.
Remark :The discontinuity of a function f at x = c is obtained in either of the following cases:

  • f is not defined at x = c.
  • Functions of One Variable - I | Mathematics for Competitive Examsf(x) does not exist.
  • Functions of One Variable - I | Mathematics for Competitive Examsf(x) exists but Functions of One Variable - I | Mathematics for Competitive Examsf(x) ≠ f(c).

Algebra of Continuous Functions

  • The identity function f(x) = x is continuous   in   its   domain.
  • If f(x)and g(x) are bothcontinuous at x =c,so is f(x) + g(x)at x= c.
  • If f(x) and g(x) are both continuous at x =c,so is f(x) * g(x) at x = c.
  • If f(x) and g(x) are both continuous at x =c,and g(x) * 0, then f(x) / g(x) is continuous
  • at x = c.
  • If f(x) is continuous at x = c, and g(x) is continuous at x = f(c), then the composition g(f(x)) is continuous at x = c

Solved Example

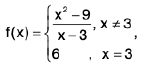
Example 1: The function defined as Functions of One Variable - I | Mathematics for Competitive Examsis continuous at x = 3.

Sol: We have
Functions of One Variable - I | Mathematics for Competitive Exams
Since f(3) = 6, Functions of One Variable - I | Mathematics for Competitive Exams
Hence f is continuous at x = 3.

Example 2: Show that the function Functions of One Variable - I | Mathematics for Competitive Examsis continuous at x = 0.

Sol: We know Functions of One Variable - I | Mathematics for Competitive Exams {Since sin(1/x) is bounded}
Also f(0) = 0.So Functions of One Variable - I | Mathematics for Competitive Exams
Hence f is continuous at x = 0.

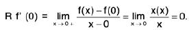
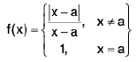
Example 3: Show that Functions of One Variable - I | Mathematics for Competitive Examsis discontinuous at x = a.

Sol: We know Functions of One Variable - I | Mathematics for Competitive Exams
Now Functions of One Variable - I | Mathematics for Competitive Exams
Functions of One Variable - I | Mathematics for Competitive Exams
ThusFunctions of One Variable - I | Mathematics for Competitive Examsdoes not exist and so f is discontinuous at x = a.

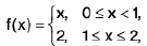
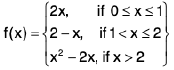
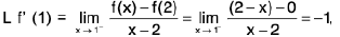
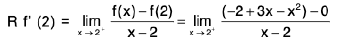
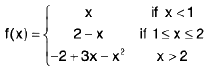
Example 4: Examine the continuity of the functionFunctions of One Variable - I | Mathematics for Competitive Examsat x = 1 and x = 2.

Sol: We have Functions of One Variable - I | Mathematics for Competitive ExamsFunctions of One Variable - I | Mathematics for Competitive Exams 2x = 2
Functions of One Variable - I | Mathematics for Competitive Exams
ThusFunctions of One Variable - I | Mathematics for Competitive Exams f(x) does not exist and so f is discontinuous at x = 1.
Now Functions of One Variable - I | Mathematics for Competitive Exams
Functions of One Variable - I | Mathematics for Competitive Exams
Also f(2 ) = 2 - 2 = 0.
Thus Functions of One Variable - I | Mathematics for Competitive Examsf(x) =Functions of One Variable - I | Mathematics for Competitive Examsf(x) = f(2) and so f is continuous at x = 2.

Example 5: Show that the function Functions of One Variable - I | Mathematics for Competitive Examsis continuous at x = 0.

Sol: We have
Functions of One Variable - I | Mathematics for Competitive Exams
∴ Functions of One Variable - I | Mathematics for Competitive Exams (∴f(0) = 0)
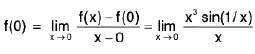
Hence f is continuous at x = 0.

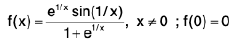
Example 6: Show that the function Functions of One Variable - I | Mathematics for Competitive Examsis discontinuous at x = 0.

Sol: Functions of One Variable - I | Mathematics for Competitive Exams
By computing two sided limit
Left Hand Limit (LHL)
Functions of One Variable - I | Mathematics for Competitive Exams
=Functions of One Variable - I | Mathematics for Competitive Exams
Right Hand Limit (RHL)
Functions of One Variable - I | Mathematics for Competitive Exams
= Functions of One Variable - I | Mathematics for Competitive Exams
= Functions of One Variable - I | Mathematics for Competitive Exams
RHL ≠ LHL ≠ f(0)
So f is discontinuous at x = 0.

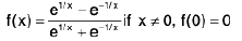
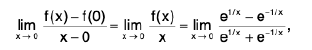
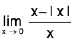
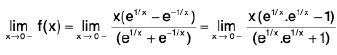
Example 7: Show that the function Functions of One Variable - I | Mathematics for Competitive Examsis discontinuous at x = 0.

Sol: We know x → 0- ⇒ e1/x → 0   ...(1)
and x → 0+ ⇒ e-1/x → 0          ...(2)
Functions of One Variable - I | Mathematics for Competitive Exams
Functions of One Variable - I | Mathematics for Competitive Exams
Hence Functions of One Variable - I | Mathematics for Competitive Exams does not exist (∴ -1 ≠ 1)
and so the given function is discontinuous at x = 0.

Example 8: Examine the continuity of the function : Functions of One Variable - I | Mathematics for Competitive Examsat x = 0.

Sol: Clearly, x  → 0+ ⇒ 1/x2 -> + ∞ ⇒ e1/x2 → + ∞
Functions of One Variable - I | Mathematics for Competitive Exams
Functions of One Variable - I | Mathematics for Competitive Exams
Similarly, Functions of One Variable - I | Mathematics for Competitive Exams
Hence f is discontinuous at x = 0.

Example 9: Show that the function f defined on R by setting Functions of One Variable - I | Mathematics for Competitive Examsis continuous at x = 0.

Sol: Functions of One Variable - I | Mathematics for Competitive ExamsFunctions of One Variable - I | Mathematics for Competitive Exams
Functions of One Variable - I | Mathematics for Competitive Exams  Functions of One Variable - I | Mathematics for Competitive Exams
Also f(0) = 0. Hence f is continuous at x = 0.

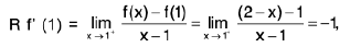
Example 10: Show that f(x) = I x I + I x - 1 | is continuous at x = 0 and x = 1.

Sol: f(x) = - x - (x - 1) = 1 - 2x, when x < 0;           . . . (1)
f(x) = x - (x - 1) = 1 when 0 < x < 1 ;              . . . (2)
Now Functions of One Variable - I | Mathematics for Competitive Exams by (2).
Also f(0) = I 0 I + I 0 - 1 | = 1.
Functions of One Variable - I | Mathematics for Competitive Exams
Hence f is continuous at x = 0.
Now Functions of One Variable - I | Mathematics for Competitive Exams by (2).
Functions of One Variable - I | Mathematics for Competitive Exams by (3).
Also f(1) = I 1 I + I 1 - 1 | = 1.
Functions of One Variable - I | Mathematics for Competitive Exams
Hence f is continuous at x = 1.

Example 11: Let f be the function defined on R by setting f(x) = [x], for all x ∈ R, where [x] denotes the greatest integer not exceeding x. Show that f is discontinuous at the points x = 0, ± 1, ± 2, ± 3, ... and is continuous at every other point.

Sol: By definition, we have
[x] = 0, for 0 ≤ x < 1,
[x] = 1, for 1 ≤ x < 2,
[x] = 2, for 2 ≤ x < 3,
[x] = -1, for -1 ≤ x < 0.
[x] = -2 for -2 ≤ x - 1 and so on.
At x = 0
Functions of One Variable - I | Mathematics for Competitive Exams
Functions of One Variable - I | Mathematics for Competitive Exams
Since Functions of One Variable - I | Mathematics for Competitive Exams, f is discontinuous at 0.
At x = 1
Functions of One Variable - I | Mathematics for Competitive Exams
Functions of One Variable - I | Mathematics for Competitive Exams
So f is discontinuous at -1.

Similarly, f is discontinuous at - 2, - 3, - 4, ...
Let α ∈ R - Z be any real number but not an integer. Then there exists an integer n such that n ≤ α < n + 1. Then
[x] = n, for n ≤ x < n + 1.
Now Functions of One Variable - I | Mathematics for Competitive Exams
Hence f is continuous at α.

Example 12: Let f be the function on [0, 1] defined by Functions of One Variable - I | Mathematics for Competitive ExamsExamine the continuity of f at 1, 1/2 ,1/3 ...

Sol: We observe that
Functions of One Variable - I | Mathematics for Competitive Exams (r = 1)
= 1, If Functions of One Variable - I | Mathematics for Competitive Exams (r = 2)
= -1, if Functions of One Variable - I | Mathematics for Competitive Exams (r = 3)
and so on.
At x = 1.
Functions of One Variable - I | Mathematics for Competitive Exams = 1
Since Functions of One Variable - I | Mathematics for Competitive Examsf is continuous at x = 1.
At x = 1/2
Functions of One Variable - I | Mathematics for Competitive Exams
Functions of One Variable - I | Mathematics for Competitive Exams
Thus f is discontinuous at 1/2
Similarly, f is discontinuous at 1/3, 1/4, 1/5...

Example 13: Show that the function f on [0, 1] defined as Functions of One Variable - I | Mathematics for Competitive Examswhen Functions of One Variable - I | Mathematics for Competitive Examsis discontinuous at Functions of One Variable - I | Mathematics for Competitive Exams,.....

Sol: We observe that
f(x) = 1 when 1/2 < x ≤ 1   (n = 0 )
= 1/2 when 1/22 < x ≤ 1/2 (n = 1 )
= 1/22 when 1/23 < x ≤ 1/22 (n = 2) and so on.
At x = 1/2
Functions of One Variable - I | Mathematics for Competitive Exams
Functions of One Variable - I | Mathematics for Competitive Exams
Thus f is discontinuous at x = 1/2
At x = (1/2)2
Functions of One Variable - I | Mathematics for Competitive Exams
Thus f is discontinuous at x = (1/2)2 and so on.
At x = (1/2)n
Functions of One Variable - I | Mathematics for Competitive Exams
Hence f is discontinuous at (1/2)n , n = 1, 2, ...

Example 14: Let f be a function defined by : Functions of One Variable - I | Mathematics for Competitive ExamsDiscuss the continuous of f at x = 0.

Sol: We see that
Functions of One Variable - I | Mathematics for Competitive Exams = 0,
Functions of One Variable - I | Mathematics for Competitive Exams Also f(0) = 0.
Hence f is continuous at x = 0.

Example 15: Examine the continuity of the function : f(x) = 2x - [x] + sin (1/x), x ≠ 0 ; f(0) = 0 at x = 0 and x = 2, where [x] denotes the greatest integer not greater than x.

Sol: By Example Functions of One Variable - I | Mathematics for Competitive Examsand Functions of One Variable - I | Mathematics for Competitive Exams do not exist.
Also Functions of One Variable - I | Mathematics for Competitive Exams does not exist.
ThusFunctions of One Variable - I | Mathematics for Competitive Examsf(x) and Functions of One Variable - I | Mathematics for Competitive Examsf(x) do not exist and so the given function is discontinuous at x = 0, 2.

Example 16: Let f be the function defined on R by setting Functions of One Variable - I | Mathematics for Competitive ExamsShow that f is continuous at all points of R ~ Z and is discontinuous whenever x ∈ Z.

Sol: Let n ∈Z = {0, ± 1, ± 2, ± 3, ...} be arbitrary.
Then Functions of One Variable - I | Mathematics for Competitive Examsdoes not exist and so Functions of One Variable - I | Mathematics for Competitive Exams does not exist.
Hence f is discontinuous whenever n ∈ Z.

We observe that
[x] = 0, if 0 ≤ x < 1,
[x] = 1, if 1 ≤ x < 2,
[x] = 2, if 2 ≤ x < 3,
.............................
[x] = m, if m ≤ x ≤ m + 1 and so on.
Using these, we obtain
f(x) = 1/2 if 0 ≤ x < 1,
f(x) = x - 1 - 1/2 = x - 3/2, if 1 ≤ x < 2,
f(x) = x -2 - 1/2 = x - 5/2, if 2 ≤ x < 3 and so on.
he above relations are all linear and so f is continuous at all positive non-integral points. Similarly, f is continuous at all negative non-integral points, since
Functions of One Variable - I | Mathematics for Competitive Exams if - 1 ≤ x < 0
Functions of One Variable - I | Mathematics for Competitive Exams if - 2 ≤ x < - 1 etc.
Hence f is continuous at all points of R ~ Z.

Types of Discontinuities

  • The function f is said to have a removable discontinuity at x = c, if Functions of One Variable - I | Mathematics for Competitive Exams exists but is not equal to f(c). If we redefine f(c), then f will become continuous.
  • If is said to have a discontinuity of the first kind at x = c, if Functions of One Variable - I | Mathematics for Competitive Examsand Functions of One Variable - I | Mathematics for Competitive Exams both exist but are not equal.
  • If is said to have a discontinuity of the first kind from the left at x = c, if Functions of One Variable - I | Mathematics for Competitive Examsexists but is not equal to f(c).
  • If is said to have a discontinuity of the first kind from the right at x = c, if Functions of One Variable - I | Mathematics for Competitive Exams exists but is not equal to f(c).
  • If is said to have a discontinuity of the second kind from the left [right] at x = c, if Functions of One Variable - I | Mathematics for Competitive ExamsFunctions of One Variable - I | Mathematics for Competitive Examsdoes not exist.

Solved Example

Example 1: The function f(x) = Functions of One Variable - I | Mathematics for Competitive Examsand f(0) = 1 has a removable discontinuity at the origin.

Sol: We have
Functions of One Variable - I | Mathematics for Competitive Exams
Also f(0) = 1, ∴ Functions of One Variable - I | Mathematics for Competitive Exams
Hence f has a removable discontinuity at x = 0.

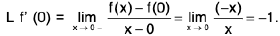
Example 2: Examine the continuity of the function f defined by Functions of One Variable - I | Mathematics for Competitive Examsat x = 0. Also discuss the kind of discontinuity if any.

Sol: We have,
Functions of One Variable - I | Mathematics for Competitive Exams
Functions of One Variable - I | Mathematics for Competitive Exams
Hence f has a discontinuity of the first kind from the left and the right at x = 0.

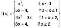
Example 3: A function f is defined by Functions of One Variable - I | Mathematics for Competitive ExamsExamine f for continuity at x = 0, 1,2. Also discuss the kind of discontinuity, if any.

Sol: At x = 0.
Functions of One Variable - I | Mathematics for Competitive Exams
Functions of One Variable - I | Mathematics for Competitive Exams
Also f(0) = 0.
Thus Functions of One Variable - I | Mathematics for Competitive Exams and so f has a discontinuity of the first kind from the right at x = 0.
At x = 1.
Functions of One Variable - I | Mathematics for Competitive Exams
Functions of One Variable - I | Mathematics for Competitive Exams
and f(1) = 5 x 1 - 4 = 1.
Thus Functions of One Variable - I | Mathematics for Competitive Exams and so f is continuous at x = 1.
At x = 2.
Functions of One Variable - I | Mathematics for Competitive Exams = 4 x 4 - 3 x 2 = 10,
Functions of One Variable - I | Mathematics for Competitive Exams = 10
Also f(2) = 3 x 2 + 4 = 10.
Thus Functions of One Variable - I | Mathematics for Competitive Examsand so f is continuous at x = 2.

Example 4: Obtain the points of discontinuity of the function f defined on [0, 1] as follows : Functions of One Variable - I | Mathematics for Competitive Exams= Functions of One Variable - I | Mathematics for Competitive ExamsFunctions of One Variable - I | Mathematics for Competitive ExamsAlso examine the kind of discontinuities.

Sol: At x = 0.
Functions of One Variable - I | Mathematics for Competitive Exams
Also f(0) = 0. ∴ Functions of One Variable - I | Mathematics for Competitive Exams
Thus f has a discontinuity of the first kind from the right at 0.
At x = 1/2
Functions of One Variable - I | Mathematics for Competitive Exams
Functions of One Variable - I | Mathematics for Competitive Exams
Functions of One Variable - I | Mathematics for Competitive Exams
Thus f has a discontinuity of the first kind at x = 1/2
At x = 1.
Functions of One Variable - I | Mathematics for Competitive Exams = 1/2. Also f(1) = 1.
Functions of One Variable - I | Mathematics for Competitive Exams
Thus f has a discontinuity of the first kind from the left at x = 1.

Example 5: Examine for continuity at x = 0, the function Functions of One Variable - I | Mathematics for Competitive Exams

Sol: Functions of One Variable - I | Mathematics for Competitive Exams
Functions of One Variable - I | Mathematics for Competitive Exams
By applying L-Hospital rule-
= Functions of One Variable - I | Mathematics for Competitive Exams
= Functions of One Variable - I | Mathematics for Competitive Exams
= 0

⇒ f is continuous at x = 0.

Example 6: Examine the function Functions of One Variable - I | Mathematics for Competitive Examsfor points of discontinuity, if any.

Sol: We know that
x → 0- ⇒ e 1/x → 0 and x → 0 + ⇒ e-1/x → 0.
Functions of One Variable - I | Mathematics for Competitive Exams
which does not exist. Hence f has a discontinuity of the second kind from the right at x = 0.

Theorems on Continuous Functions

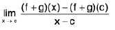
Theorem : (a) If two functions f, g are continuous at a point c, then the functions f + g, f - g, fg are also continuous at c and if g (c) ≠ 0, then f / g is also continuous at c.
(b) Prove that if a function f is continuous at x = a, then I f I is also continuous at x = a. But the converse if not true

Proof. Since f and g are continuous at c,
Functions of One Variable - I | Mathematics for Competitive Exams ---(1)
We show that f + g is continuous at c. We have
Functions of One Variable - I | Mathematics for Competitive Exams
= Functions of One Variable - I | Mathematics for Competitive Exams
Functions of One Variable - I | Mathematics for Competitive Exams
Thus f + g is continuous at c.
Again, Functions of One Variable - I | Mathematics for Competitive Exams
= Functions of One Variable - I | Mathematics for Competitive Exams
= f(c) g(c) = (fg) (c).
Thus fg is continuous at c
Similarly, we can prove the remaining parts.
(b) Since f is continuous at x = a, therefore, for ε > 0 there exists some δ > 0 such that
I f(x) - f(a) | < ε when 0 < I x - a | < δ                 ...(2)
We know l l x l - | y | | ≤ l x — y | ∀ x, y ∈ R.
∴ I I f(x) I - | f(a) | | < I f(x) - f(a) | < ε, 0 < I x — a | < δ, using (2)
Hence I f I is continuous at x = a.

However, if I f I is continuous at x = a, then f may not be continuous at x = a as seen below:
Let Functions of One Variable - I | Mathematics for Competitive Exams
Then I f(x) | = 1 ∀ x ∈ R and so I f I is continuous at every point of R, but f is discontinuous at every point of R.

Remarks : 1. Let f and g be defined on an interval I. If f + g and fg are continuous at a point p ∈ l , then f and g may not be continuous at p as explained by the following examples :
(i) Let Functions of One Variable - I | Mathematics for Competitive Exams
Functions of One Variable - I | Mathematics for Competitive Exams
Thus f and g are discontinuous at x = 0, but f + g = 0 (being a constant function) is continuous at x = 0.
(ii) Let f(x) = g(x) = 1, when x is rational
f(x) = g(x) = - 1 , when x is irrational.
By Example, f and g are discontinuous at every point of R, but fg = 1 (being a constant function) is continuous at every point of R.
Similarly, we can give examples to show that if f - g, f/g are continuous at a point p ∈ I; then f and g may not be continuous at p.

Notice that in (ii), f/g = 1 ∀ x ∈ R ⇒ f/g continuous ∀ x ∈ R.

If in (i), g(x) = f(x), then f - g = 0  ⇒ f - g is continuous ∀ x ∈ R.
2. A polynomial function f(x) = a0 + a1x + a2x2 + ... + anxn is continuous for all x ∈ R.
Clearly Functions of One Variable - I | Mathematics for Competitive Exams = cn ∀ n ∈ N ⇒ xn is continuous ∀ x ∈ R, ∀ n ∈ N.
Also an (being a constant) is continuous. By Theorem , anxn is continuous ∀ n ∈ N and ∀ x ∈ R. Hence a0 + a1x + a2x2 + ... + anxn is continuous ∀ x ∈ R.
Theorem : A function f defined on an interval I is continuous at a point p ∈ I if and only if for each sequence <pn) converging to p, the sequence <f(pn)> converges to f(p).

Proof. The condition is necessary.
We are given that the function f is continuous at p and the sequence <pn> converges to p. We shall show that <f(pn)> converges to f(p). Since f is continuous at x = p, therefore for ε > 0, there exists a δ > 0 such that
I f(x) - f(p) | < ε, when I x - p | < δ.                                           ...(1)
Since the sequence (pn> converges to p, so there exists some positive integer m such that
lpn - p| < δ ∀ n ≥ m. ...(2)
Replacing x by pn in (1), we get
I f(Pn) - f(P) I < ε when I pn - p | < δ. ...(3)
From (2) and (3), we obtain I f(Pn) - f(P) I < ε ∀ n ≥ m. Thus <f(pn) - f(p).
The conditions is sufficient.

Let <pn) → p ⇒ <f(pn)> → f(p).
We shall show that f is continuous at x = p.

Let, if possible, f be not continuous at x = p.

Then for some ε > 0 and for each δ > 0, E at least one x such that
I f(x) - f(p) | ≥ ε, whenever I x - p | < δ.
Let δ = 1/n. Then ∀ n ∈ N, there exists x = pn such that
I pn - p | < 1/n ⇒ I f(pn) - f(p) | ≥ ε
i.e., Functions of One Variable - I | Mathematics for Competitive Exams
Thus we have proved that there is a sequence <pn) such that (pn> converges to p, but the sequence <f(pn)> does not converge to f(p). This is a contradiction to the given condition. Hence f is continuous at x = p.

Theorem : Let f be a function defined on an interval I and p ∈ I. Let g be a function defined on an interval J such that f(l) ⊆ J. If f is continuous at p and g is continuous at f(p), then show that g of is continuous at p.

Proof. Let (pn be any sequence in I such that pn → p.                       ...(1)
Since f is continuous at p, so by Theorem, f(pn) → f(p).
Since f(l) ⊆ J, so <f(pn)> is a sequence in J converging to f(p) ∈ J.
Since g is continuous at f(p) and f(pn) → f(p) in J, so
g(f(pn)) → g(f(p))

or(gof) (pn) -> (gof) (p).                                                                     ...(2)
[By definition, (gof) (x) = g (f(x)) ∀ x ∈ I.]
From (1) and (2), it follows that gof is continuous at p

Example: F be a function on R defined by Functions of One Variable - I | Mathematics for Competitive Examsf is discontinuous at every point of R

Hint.Since Q, R-Q are dense in R , therefore for every a e R we can always find sequences from Q & R-Q that converge to a.

Example: Show that the function f defined by Functions of One Variable - I | Mathematics for Competitive Examsis discontinuous at every point.

Sol: Case I. Let a be any rational number so that f(a) = 1.
Then any nbd. (a - 1/n, a + 1/n ) of a contains an irrational number an for each n ∈ N i.e.,
Functions of One Variable - I | Mathematics for Competitive Exams
⇒ la- a | → 0 as n → ∞ <an> → a.
Now f(an) = 0 ∀ n (∴ an is irrational) and f(a) = 1
⇒ Functions of One Variable - I | Mathematics for Competitive Exams does not converge to f(a).
Thus f is discontinuous at all rational points.
Case II.Let b be any irrational number so that f(b) = 0.
As argued earlier, we can choose a rational number bn such that
Functions of One Variable - I | Mathematics for Competitive Exams
⇒ lbn - b| → 0 as n → ∞ ⇒ (bn> → b.
Now f(bn) = 1 ∀ n (∴ bn is rational) and f(b) = 0
⇒ Functions of One Variable - I | Mathematics for Competitive Exams oes not converge to f(b).
Thus f is continuous at all irrational points.
Hence the given function is discontinuous at every point of R.

Example: Show that the function f defined on R by Functions of One Variable - I | Mathematics for Competitive Examsis continuous only at x = 0.

Sol: Case I : Let a ≠ 0 be any rational number so that
f(a) = - a.
Then any nbd. ( a - 1/n, a + 1/n ) of a contains an irrational number an for each n ∈ N i.e.,
Functions of One Variable - I | Mathematics for Competitive Exams
Functions of One Variable - I | Mathematics for Competitive Exams
Now f(an) = a∀ n ( ∴ an irrational)
Functions of One Variable - I | Mathematics for Competitive Exams
⇒ <f(an)> does not converge to f(a), when (an) → a.
So f is discontinuous at all non-zero rational points.
Case II.Let b ≠ 0 be any irrational number so that f(b) = b.

As argued earlier, there exists a rational number bn ∀ n ∈ N such that
Functions of One Variable - I | Mathematics for Competitive Exams
Now f(bn) = bn ∀ n (∴ bn is rational)
Functions of One Variable - I | Mathematics for Competitive Exams
⇒ <f(bn)> does not converge to f(b). (∴ f(b) = 0)
Thus f is discontinuous at every non-zero irrational point.
Now we shall prove that f is continuous at x = 0.
We have f(0) = 0 and
lf(x) - f(0)| = |f(x)| = |x|, if x is rational = 0, if x is irrational
Let ε > 0. Then I f(x) - f(0) | < ε, for I x - 0 | < δ (δ = ε).

Hence f is continuous only at x = 0.
NOTE: we can also use sequential approach to deal with such questions on which f(x) is defined explicitly on all rationals & irrationals. It will consume time in exam.
As let a ε R

Then there exist <an > ε Q such that <an > → a
Similarly, there exist <bn> ε R - Q such that <bn> → a
now to find points of continuity we first look for the points where limit exist
for that lim <f(an)> = lim <f(bn)>   ⇒ a = -a ⇒   a=0.
It is the only point where continuity is to be checked.
since 0 ε Q ⇒ f(0)=0 = lim <f(an)>=lim <f(bn)> ∀ <an> ε Q such that <an> → 0 ∀ <bn> ε R-Q such that <bn>→ 0.
Hence f is continuous only at x = 0.

Example: Let f be a function defined on (0, 1) by : Functions of One Variable - I | Mathematics for Competitive Examswhere p and q are positive integers having no common factor. Prove that f is continuous at each irrational point and discontinuous at each rational point.

Sol: Case I.Let a ∈ (0, 1) be any rational number so that a = p/q, where p and q are positive integers having no common factor. Then f(a) = 1/q (as given).
Any nbd. ( a - 1/n, a + 1/n ) of a contains an irrational number an, for each n ∈ N i.e.,
Functions of One Variable - I | Mathematics for Competitive Exams
⇒ lan - a| → 0 as n - » ∞ ⇒ <an) → a.
Now f(an) = 0 ∀ n   (∴ an is irrational)
⇒ <f(an)> → 0 ≠ f( a ) ( ∴ f( a ) = 1 /q > 0.]
Hence f is discontinuous at every rational point in ( 0, 1 ).
Case II. Let b ∈ ( 0, 1 ) be any irrational number, so that
f(b) = 0
Let ε > 0 be given. We can choose a positive integer n such that
1/n < ε.
It is clear that there an can be only a finite number of rational numbers p/q in (0, 1) such that q < n.
We can, therefore, find some δ > 0 such that no rational number //m in (δ - 5, δ + 5) has its denominator less than n i.e., m ≥ n.
Thus I x - b | < δ ⇒ I f(x) - f(b) | = | f(x) - 0 | = 0 < ε,                      ...(1)
if x is irrational.
If x = //m is rational such that I x - b | < δ, then
I x - b | < δ ⇒ I f(x) - f(b) = | f(x) | < 1/m < 1/n <  ε.      ( ∴m ≥ n)      ...(2)
From (1) and (2), we have
I x - b | < δ ⇒ I f(x) - f(b) | < ε.
Hence f is continuous at every irrational point b in (0, 1).

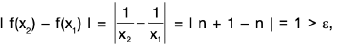
Example: Show that the function f defined as Functions of One Variable - I | Mathematics for Competitive Examsis continuous only at x = 1/2.

Sol: Case I. Let a ≠ 1/2 be any rational number. Then f(a) = a.
We can find an irrational number an for each n ∈ N such that
Functions of One Variable - I | Mathematics for Competitive Exams
Now f(an) = 1 - an ∀ n   (∴ an is irrational)
Functions of One Variable - I | Mathematics for Competitive Exams
(Observe that if a = 1/2, then 1 - a = a).
⇒ <f(an)> does not converge to f(a).   (∴ f(a) = a)
Thus f is discontinuous at all rational points a ≠ 1/2
Now we shall show that f is continuous at x = 1/2 only.
We have Functions of One Variable - I | Mathematics for Competitive Examsif x is rational   Functions of One Variable - I | Mathematics for Competitive Exams
Functions of One Variable - I | Mathematics for Competitive Exams if x is irrational.
Thus Functions of One Variable - I | Mathematics for Competitive Exams
Let ε > 0 be given. Choose δ = ε > 0. Then
Functions of One Variable - I | Mathematics for Competitive Examswhen Functions of One Variable - I | Mathematics for Competitive Exams
Hence f is continuous only at 1/2.

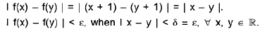
Example: Let f satisfy f(x + y) = f(x) + f(y) ∀ x, y ∈ R .                        ...(1)
Show that if f is continuous at a point c, then f is continuous at all points of R.

Sol: (i) Taking x = y = 0 in (1), we obtain
f(0) = f(0) + f(0) ⇒ f(0) = 0.                                                                 ..(2)
Taking y = - x in (1), we obtain
f(0) = f(x) + f(- x) ⇒  0 = f(x) + f(- x), using (2)
f(- x) = - f(x) ∀ x ∈ R.                                                                         ...(3)
Let (cn) be any sequence of real numbers such that cn → 0.
Then cn + c → 0 + c = c

⇒ f(cn + c) → f(c), as f is continuous

⇒ f(cn) + f(c)→ f(c), using (1)

=⇒ f(cn) → 0.

Thus cn →0 ⇒ f(cn) → 0.
Let x be any real number. We shall show that f is continuous at x. Let <xn> be a sequence of real numbers such that xn → x
⇒xn - x → 0
⇒ f(xn - x) → 0, using (4)
⇒ f(xn) + (-x) → 0, using (1)
⇒ f(xn) - f(x) → 0, using (3)
⇒f(xn) → f(x).
Since xn → x ⇒ f(xn) → f(x), f is continuous for all x ∈ R.

Example: Prove that the function h(x) = √sinx is continuous on [0, π].

Sol: First of all, we show that f(x) = √x is continuous ∀ x ≥ 0.
Let c > 0 so that f(c) = √c . For x ≥ 0, we have
Functions of One Variable - I | Mathematics for Competitive Exams
Let ε > 0 be given. Then
If(c) - f(c)| < ε, whenever lx - c| < δ, δ = √c ε > 0.
Hence f is continuous at c > 0.
Obviously, Functions of One Variable - I | Mathematics for Competitive Exams. Hence f is continuous for all x ≥ 0.
Next we show that g(x) = sin x is continuous for all x I R.
For c ∈ R, we have
Functions of One Variable - I | Mathematics for Competitive ExamsFunctions of One Variable - I | Mathematics for Competitive Exams
Functions of One Variable - I | Mathematics for Competitive Exams
= lx - c|,
Let ε > 0 be given. Then lg(x) - g(c)| < ε for lx - c| < δ, δ = ε > 0.

Hence g is continuous for all c ∈ R.
It is clear that h = fog, where g(x) = sin x, x ∈ [0, π] and f(x) = √x, x ≥ 0. By Theorem h(x) = √sinx is continuous on [0, π].

Example: Given examples of two discontinuous functions f and g such that

(i) fog is continuous but gof is not continuous.
(ii) fog and gof are both continuous.

Sol: (i) We define two functions f and g as follows :
Functions of One Variable - I | Mathematics for Competitive Exams
and Functions of One Variable - I | Mathematics for Competitive Exams
Then f is discontinuous at each non-zero point of R and g is discontinuous at each of R
If   x ∈ Q,   then (fog) (x) = f(g(x)) = f(1) = 0.

If   x ∈ R ~ Q, then (fog) (x) = f(g(x)) = f(0) = 0.
∴ (fog) (x) = 0 ∀ x ∈ R. Hence fog is continuous ∀ x ∈ R.
If   X ∈ Q,   then   (got) (x) = g (f(x)) = g(0) = 1.

If   x ∈ R ~ Q, then   (qof) (x) = q (f(x)) = q(0) = 0.
Thus Functions of One Variable - I | Mathematics for Competitive Exams
By Example gof is discontinuous ∀ x ∈ R.
(ii) We define two functions f and g on R as follow :
Functions of One Variable - I | Mathematics for Competitive Exams
and Functions of One Variable - I | Mathematics for Competitive Exams
Thus f and g are discontinuous at all points of R.
If   x ∈ Q, then   (fog) (x) = f(g(x)) = f(—1) = 1.        (∴ -1 ∈ Q)

If   x ∈ R ~   Q then   (fog) (x) = f(g(x)) = f(1) = 1.   (∴ 1 ∈ Q)
⇒ (fog) (x) = 1 ∀ x ∈ R ⇒  fog is a constant function on R.
It may be noticed that (gof) (x) = -1 ∀ x ∈ R and so gof is continuous at all points of R.

Theorem :If a function f is continuous on a closed bounded interval [a, b], then it is bounded in [a, b].

Proof. Let, if possible, f be not bounded above in [a, b].
Then for each positive integer n, we can find a point xn e [a, b], such that
f(xn) > n ∀ n ∈ N. ----(1)
Since xn ∈ [a, b] for each n ∈ N, a < xn ≤ b ∀ n ∈ N.
Thus <xn> is a bounded sequence and so it must have a limit point say p (Bolzano-Weierstrass Theorem).
Obviously, p is a limit point of [a, b].                             [Result (e)]
Now [a, b] being a closed interval is a closed set and so p ∈ [a, b].
Since p is a limit point of the sequence <xn>, therefore, there exists a subsequence (xnk} of axnh such that xnk → p. ----(2)
From (1), f (xnk) > nk for all k ⇒ < f(xnk) > diverges to ∞
⇒ f (xnk) does not converge to f(p). ----(3)
From (2) and (3), it follows that f is not continuous at the point p ∈ [a, b]
This is contrary to the hypothesis that f is continuous at every point of [a, b]. Hence f is bounded above on [a, b].
Now we show that f is bounded below on [a, b].
Since f is continuous in [a, b], - f is also continuous in [a, b] and so - f is bounded above . Consequently, there exists some k ∈ R such that
Functions of One Variable - I | Mathematics for Competitive Exams
Functions of One Variable - I | Mathematics for Competitive Exams
⇒ f is bounded below in [a, b].
Hence f is bounded in [a, b].

Theorem : If a function f is continuous an a closed bounded interval [a, b], then it attains its bounds in [a, b]

Proof. Since f is continuous in [a, b], therefore, it is bounded in [a, b]. Let M = sup f and m = inf f.
Functions of One Variable - I | Mathematics for Competitive Exams
We shall show that there exist points α, β ∈ [a, b] such that
f(α) = M and f(β) = m.
We shall prove it by contradiction.
Let f(x) ≠ M ∀ x ∈ [a, b]
⇒ M - f(x) ≠ 0, ∀ x ∈ [a, b].
Since f is given to be continuous in [a, b] and M, being a constant function, is also continuous in [a, b], therefore M - f(x) is continuous in [a, b]. Since M - f(x) ≠ 0, ∀ x ∈ [a, b], therefore
Functions of One Variable - I | Mathematics for Competitive Examsis continuous in [a, b].
⇒ Functions of One Variable - I | Mathematics for Competitive Exams is bounded in [a , b]
Let Functions of One Variable - I | Mathematics for Competitive Examsand k = Functions of One Variable - I | Mathematics for Competitive Exams

Functions of One Variable - I | Mathematics for Competitive Exams

Functions of One Variable - I | Mathematics for Competitive Exams

⇒ Functions of One Variable - I | Mathematics for Competitive Exams is an upper bound of f, which contradicts the fact that M is the l.u.b. of f.
Hence there exists some a α ∈ [a, b] such that f(α) = M.

Similarly, there exists some β ∈ [a, b] such that f(β) = m.

Remark: If a function is not continuous on a closed interval, then it may not attain its bounds as shown below :
1. The function f(x) = x∀ x ∈ [0, 1) is continuous and bounded in [0, 1), 0 ≤ f(x) < 1 ∀ x ∈ [0, 1) ; inf f = 0 and sup f = 1. Here inf f is attained but sup f is not attained, since there is no point of [0, 1) at which f(x) = 1. (Observe that the domain of f is not a closed interval)
2. The function f(x) = x ∀ x ∈ (0, 1] is continuous and bounded in (0, 1], attains the supremum 1 and does not attain the infimum 0.
3.The function f(x) = x ∀ x ∈ (0, 1) is continuous and bounded in (0, 1), but attains neither the supremum 1 nor the infimum 0.
4. The function f(x) =1/x ∀ x ∈ (0, 1]. Here f attains the supremum 1 and does not attain the infimum 0.

Ex. Prove that if f is continuous in [a, b] and c is the infimum of f in [a, b], then there exists an x0 in [a, b] such that f(x0) = c.

Proof . We have c = int f in [a, b] i.e., c ≤ f(x) ∀ x ∈ [a, b].
Let, if possible, f(x) ≠ c ∀ x ∈ [a, b]. It follows that
Functions of One Variable - I | Mathematics for Competitive Exams is continuous in [a, b]
⇒ Functions of One Variable - I | Mathematics for Competitive Exams is bounded above in [a, b]
⇒ Functions of One Variable - I | Mathematics for Competitive Exams k being some real number
Functions of One Variable - I | Mathematics for Competitive Exams
⇒ c + (1/k) is a lower bound of f in [a, b], where c + (1/k) > c.
The contradicts the given condition c = inf f. Hence there exists some x0 ∈ [a, b] such that f(x0) = c.

Theorem : If a function f is continuous in [a, b] and c ∈ (a, b) such that f (c) ≠ 0, then there exists some δ > 0 such that f(x) has the same sign as f(c) for all x ∈ ( c - δ, c + δ).

Proof. Since f is continuous at c, for any ε > 0, ∃ some δ > 0, such that
I f(x) - f(c) | < c, when lx — c| < δ .
i.e., f(c) - ε < f(x) < f(c) + c, when c - δ < x < c + δ.                     ...(1)
Case I. Let f(c) > 0. We choose ε > 0 such that
ε < f(c) ⇒  f(c) - ε > 0.                                                                 ...(2)
From (1) and (2), f(x) > f(c) - ε > 0, when x ∈ ( c - δ, c + δ ).
Case II.Let f(c) < 0 ⇒ f(c) > 0. We choose ε > 0 such that
ε < - f(c) ⇒ f(c) + ε < 0.                                                                ...(3)
From (1) and (3), f(x) < f(c) + ε < 0, when x ∈ ( c - δ , c + δ ) .
Hence f(x) has the same sign as f(c) ∀ x ∈ (c - δ, c +δ).

Corollary, (i) If a function f is continuous at x = a and f(a) ≠ 0, then there exists some δ > 0, such that f(x) has the same sign as f(a) ∀ x ∈ [a, a + δ).
(ii)If a function f is continuous at x = b and f(b) ≠ 0, then there exists some δ > 0, such that f(x) has the same sign as f(b) ∀ x ∈ ( b - δ, b ].

Theorem : If a function f is continuous in [a, b] and f(a) and f(b) are of opposite signs, then there exists some point c ∈ ( a, b ) such that
f(c) = 0.

Proof.  Since f(a) and f(b) are of opposite signs, we may take
f(a) > 0 and f(b) < 0.
Let S be a subset of [a, b] defined as follows :
S = {x : a ≤ x ≤ b and f(x) > 0}.                                                         ...(1)
Then S is non-empty                     [ ∴ f(a) > 0 ⇒ a ∈ S]
and S is bounded above with b as its upper bound.
By order-completeness property of R, S has the supremum.
Let c = sup S , c ∈ [a, b].
Now we shall prove that c ≠ a and c ≠ b, so that c ∈ ( a, b ).
Since f is continuous at x = a and f(a) > 0, ∃ a δ1 > 0 such that
f(x) < 0 ∀ x ∈ (b - δ2 b], [by corollary of Theorem] ...(2)
⇒ b - δ2 is an upper bound of S, for otherwise, there exists some y ∈ S such that y > b -δ2
i.e., b - δ2 < y ≤ b ⇒ f(y) < 0, by (2). ...(3)
As y ∈ S, f(y) > 0, by (1). This contradicts (3).
Since c = sup S, so c ≤ b - δ2 ⇒ c ≠ b.
Thus c  ≠ a and c  ≠ b ⇒ c ∈ (a, b).
Finally, we show that f(c) = 0.

Case I. Let f(c) > 0
Since f is continuous at c and f(c) > 0, so ∃ a δ3 > 0 such that
f(x) > 0 ∀ x ∈ ( c - δ3, c + δ3). ...(4)
Let α be a number such that c < α < c + δ3. ...(5)
∴ α ∈ ( c, c + δ3) ⇒ f(α ) > 0, by (4) ⇒ α ∈ S, by (1).
∴ α < c (∴ c = sup S) or c ≥ α, which contradicts (5).
Thus f(c) ≥ 0.

Case II. Let f(c) < 0.

Since f is continuous at x = c and f(c) < 0, so ∃ a δ4 > 0 such that

f(x) < 0 ∀ x ∈ ( c - δ4, c + δ4)                                                        ...(6)

Now c = sup S ⇒ ∃ at least one β ∈ S such that c - δ4 < β ≤ c
β ∈ ( c - δ4, c] ⇒ f(p) < 0, by (6).

But   β ∈ S ⇒ f(β) > 0, which

f(c) ≤ 0. Also f(c)≥ 0.

Hence f(c) = 0 for some c ∈ ( a, b ).

Theorem by (Inverse Function Theorem)
If a function f defined on the closed interval [a, b] is continuous on [a, b] and one-to-one, the f-1 is also continuous.

Solved Example

Example 1: Let f be continuous on [0, 1] and let f(x) be in [0, 1] for each x in [0, 1] then f(x) = x for some x in [0, 1]

Sol: We are given that f(x) ∈ [0, 1]  ∀ x ∈ [0, 1]
i.e., 0 ≤ f(x) < 1 ∀ [ 0 , 1 ] .                                                           ...(1)
If f(0) = 0 or f(1) = 1, then the problem is solved. Otherwise, we have
f(0) > 0 and f(1) < 1, by (1).                                                          ...(2)
Let g(x) = f(x) - x ∀ x ∈ [0, 1]
This g is continuous on [0, 1] and
g(0) = f( 0) - 0 > 0, g (1) = f (1) - 1 < 0.
there exists some c e (0, 1) such that
g(c) = 0 ⇒ f(c) - c = 0.
Hence f(c) = c for some c ∈ (0, 1).

Example 2: Show that if f and g are continuous on [a, b] and if f(a) < g(a) and f(b) > g(b), then there exists some c e ( a, b ) satisfying f(c) = g(c).

Sol: Let h(x) = f(x) - g(x) ∀ x ∈ [a, b].                                                   ...(1)
Since f and g are continuous on [a, b], so by (1), h is continuous on [a, b].
Also h(a) = f(a) - g(a) < 0, (v f(a) < g(a))
and h(b) = f(b) - g(b) > 0. (v f(b) > g(b))
Thus h is continuous on [a, b] where h(a), h(b) are of opposite signs.
Hence, by Theorem there exists some c e (a, b) such that
h(c) = 0⇒ f(c) - g(c) = 0 ⇒f(c) = g(c).

Example 3: Let f be a continuous function on [- 1, 1] such that (f(x)}2 + x2 + 1 for all x in [-1, 1]. Show th at either f(x) = √1- xfor all x in [ - 1 , 1] or f(x) = -√1- x2 for all x in [ - 1 , 1 ].

Sol: Let, if possible, there exists two points x,, x2 in [ - 1, 1] such that
Functions of One Variable - I | Mathematics for Competitive Exams
Then   f(x1) f(x2) < 0.
Since f is continuous in [- 1, 1] so f is continuous in [x1, x2] and f(x1) f(x2) < 0. By Theorem ∃ some c ∈ (x1, x2) such that f(c) = 0.
We are given Functions of One Variable - I | Mathematics for Competitive Exams
In particular, {(f(x)}2 + c2 = 1 (∴ c ∈ ( - 1, 1 ))
⇒ c2 = 1 (∴ f(c) = 0)
⇒ c = ± 1, which is impossible.

Example 4: Discuss the nature of discontinuity of the function f defined by Functions of One Variable - I | Mathematics for Competitive ExamsShow that f(0) and f(π/2) differ in sign and explain why f still does not vanish in Functions of One Variable - I | Mathematics for Competitive Exams.

Sol: First of all we obtain expressions for f in Functions of One Variable - I | Mathematics for Competitive Exams in a form free from limits.
Since Functions of One Variable - I | Mathematics for Competitive Exams

Functions of One Variable - I | Mathematics for Competitive Exams
Functions of One Variable - I | Mathematics for Competitive Exams
Now Functions of One Variable - I | Mathematics for Competitive Exams
Functions of One Variable - I | Mathematics for Competitive Exams
Functions of One Variable - I | Mathematics for Competitive Exams
SinceFunctions of One Variable - I | Mathematics for Competitive Examsf(x) and Functions of One Variable - I | Mathematics for Competitive Exams f(x) both exist, but are unequal, also neither of them is equal to f(1), therefore, f has a discontinuity of the first kind at x = 1 on both sides.
Now f(0) = log 2 > 0 and Functions of One Variable - I | Mathematics for Competitive Exams
So that f(0) and f(π/2) have opposite signs. Also, it is clear that f does not vanish anywhere in Functions of One Variable - I | Mathematics for Competitive Exams
The function f is not continuous on Functions of One Variable - I | Mathematics for Competitive Exams, the point x = 1 being a point of discontinuity. This explains the reason why f does not vanish anywhere Functions of One Variable - I | Mathematics for Competitive Examseven though f(0) and f(π/2) are of opposite signs.

Remark. The above example shows that the hypothesis as well as the conclusion of the Intermediate value Theorem are not satisfied for the function f in Functions of One Variable - I | Mathematics for Competitive Exams
Ex :Show that the function
Functions of One Variable - I | Mathematics for Competitive Examsdoes not vanish anywhere in the interval [0, 2], though ϕ(0) and ϕ(2) differ in sign.
Hint.We have f(x) = - cos x for 0 ≤ x < 1 ;
Functions of One Variable - I | Mathematics for Competitive Exams
f(0) = -1 < 0, ϕ(2) = 4 > 0.
Verify that ϕis discontinuous at x = 1.

Example 5: Given an example of a function which satisfies the conclusion but not the hypothesis of the Intermediate value theorem.

Sol: We defined a function f on [0, 1] as follows :
Functions of One Variable - I | Mathematics for Competitive Exams
Then f is not continuous in [0, 1] except at x =1/2
However, f takes every value between 0 and 1.

Uniform Continuity

A function f defined on an interval I is said to be uniformly continuous in the interval I, if for each ε > 0, there exists some δ > 0 such that

I f(x2) - f(x1) I < ε, when I x2 - x2 I < d and for all x1, x2 ε I.

Remarks.

  • It may be noted that whereas continuity of a function is defined at a point, the uniform continuity of a function is defined in an interval. Even when we say that a function f is continuous in an interval it means that f is continuous at all points of the interval.
  • In case of continuity of a function at a point c, the choice of δ > 0 depends upon ε > 0 and the point c. But in case of uniform continuity of a function in an interval, the choice of δ > 0 depends only on ε > 0 and not on a pair of points of the given interval.
  • A function f is not uniformly continuous in an interval I, if there exists some ε > 0, such that for any δ > 0, there exists a pair of points x, y ε I for which I f(x) - f(y) | > c, when I x - y | < δ.

Solved Example

Example 1: The function defined by f(x) = x2 is uniformly continuous in (- 2, 2 ).

Sol: Let ε > 0 be any number and x1, x2 ε (- 2, 2 ). Then
Functions of One Variable - I | Mathematics for Competitive Exams
Functions of One Variable - I | Mathematics for Competitive Exams
Functions of One Variable - I | Mathematics for Competitive Exams
or Functions of One Variable - I | Mathematics for Competitive Exams
Hence the function f is uniformly continuous in (- 2, 2).

Example 2: Is the function f(x) = Functions of One Variable - I | Mathematics for Competitive Examsuniformly continuous for x ∈ [0, 2] ? Justify your answer.

Sol: Let x, y be two arbitrary points x = [0, 2]. Then x ≥ 0, y ≥ 0
⇒ x + 1 ≥ 1 and y + 1 ≥ 1 ⇒ (x + 1)(y + 1) ≥ 1                              ...(1)
Now Functions of One Variable - I | Mathematics for Competitive Exams
Let ε > 0 be given. Taking δ = ε, we see that

lf(x) - f(y)| < e, whenever lx - y| < δ, ∀ x, y ∈ [0, 2].
Hence f is uniformly continuous in [0, 2].

Example 3: Show that the function f defined by f(x) = x3 is uniformly continuous in the interval [0, 3].

Sol: Let ε > 0 and x1, x2 ∈ [0, 3]           ∴x1 ≤ 3, x2 ≤ 3.
Now Functions of One Variable - I | Mathematics for Competitive Exams
Functions of One Variable - I | Mathematics for Competitive ExamsFunctions of One Variable - I | Mathematics for Competitive Exams
Functions of One Variable - I | Mathematics for Competitive ExamsFunctions of One Variable - I | Mathematics for Competitive Exams
Functions of One Variable - I | Mathematics for Competitive Exams
or I f(x2) - f(x1) I < ε, whenever I x2 — x1 I < ε/27.
Hence f is uniformly continuous in [0, 3].

Example 4: Show that f(x) = x2 is not uniformly continuous on [0, ∞)

Sol: Let ε = 1/2 and δ by any positive number. We can choose a positive integer n such that
Functions of One Variable - I | Mathematics for Competitive Exams ...(1)
Let x, = √n and x2 = √n + 1 ∈ [0, ∞). Then
Functions of One Variable - I | Mathematics for Competitive Exams
and Functions of One Variable - I | Mathematics for Competitive Exams
= Functions of One Variable - I | Mathematics for Competitive Exams   Functions of One Variable - I | Mathematics for Competitive Exams
The I f(x2) - f(x1) I > ε, when I x2 - x1 I < δ.

Hence f is not uniformly continuous on [0, ∞).

Example 5: Let f(x) = x2, x ∈ R. Show that f is uniformly continuous on every closed and finite interval but is not uniformly continuous on R.

Sol: Let [a, b] be any closed and finite interval. Let x1, x2 ∈ [a, b]. We have
Functions of One Variable - I | Mathematics for Competitive Exams
Let k = max { I x1 I, I x2 I }. Then k > 0.
∴ I f(x2) - f(x1) I < 2k I x2 - x1 I.
Let ε > 0 be given and let δ = ε /2k > 0. Then
I f(x2) - f(x1) I < ε, whenever I x2 - x1 I < δ, ∀ x1x2 ∈ [a, b].
Hence f is uniformly continuous on [a, b].
However, f is not uniformly continuous on R.

Example 6: Show that f(x) = 1/x is not uniformly continuous on (0, 1].

Sol: Let ε = 1/2 and δ be any positive number. We can choose a positive integer n such that Functions of One Variable - I | Mathematics for Competitive Exams ---(1)
Let Functions of One Variable - I | Mathematics for Competitive Examsand Functions of One Variable - I | Mathematics for Competitive Exams ∈ (0, 1). Then
Functions of One Variable - I | Mathematics for Competitive Exams
and Functions of One Variable - I | Mathematics for Competitive Exams
∴ I f(x2) - f(x1) I > ε, when I x2 - x1 I < δ.
Hence 1/x is not uniformly continuous on (0, 1].

Example 7: Show that f(x) = √x is uniformly continuous in [0, 1].

Sol: Let x, y ∈ [0, 1], where x > y ≥ 0. Then
Functions of One Variable - I | Mathematics for Competitive Exams
= Functions of One Variable - I | Mathematics for Competitive Exams
Functions of One Variable - I | Mathematics for Competitive Exams
Let ε > 0 be given. Then
I f(x) - f(y) I < ε,   when √x-y < ε

or I f(x) - f(y) | < ε,   when I x - y | < δ = (= ε2) ∀ x, y ∈ [0, 1].

Hence f is uniformly continuous in [0, 1].

Example 8: Show that sin x is uniformly continuous on [0, ∞).

Sol: Let  ε > 0 be given and x, y be any two points in [0, v). Let f(x) = sin x. Then
I f(x) - f(y) | = | sin x - sin y |
= Functions of One Variable - I | Mathematics for Competitive Exams
= Functions of One Variable - I | Mathematics for Competitive Exams
Functions of One Variable - I | Mathematics for Competitive Exams  Functions of One Variable - I | Mathematics for Competitive Exams
∴ I f(x) - f(y) | < I x - y |
⇒ I f(x) - f(y) | < ε, when I x - y | < δ, (δ = ε) ∀ x, y ∈ [0, ∞)
Hence f(x) = sin x is uniformly continuous on [0, ∞).

Example 9: Prove that f(x) = sin x2 is not uniformly continuous on [0, ∞)

Sol: Let ε= 1/2 and δ be any positive number. We can choose a positive integer n such that Functions of One Variable - I | Mathematics for Competitive Exams ...(1)
Let Functions of One Variable - I | Mathematics for Competitive Exams
Functions of One Variable - I | Mathematics for Competitive Exams
= Functions of One Variable - I | Mathematics for Competitive Exams
= Functions of One Variable - I | Mathematics for Competitive Exams
Functions of One Variable - I | Mathematics for Competitive Exams
and Functions of One Variable - I | Mathematics for Competitive Exams Functions of One Variable - I | Mathematics for Competitive Exams
Functions of One Variable - I | Mathematics for Competitive Exams when I x- x, I < δ.
Hence f(x) = sin x2 is not uniformly continuous on [0, ∞).

Example 10: Show that f(x) = sin1/x is not uniformly continuous on (0, ∞).

Sol: Let ε = 1/2 and δ be any positive number. We can choose a positive integer n such that
nπ / 1/8.                                                             ...(1)
Let Functions of One Variable - I | Mathematics for Competitive Exams
Then Functions of One Variable - I | Mathematics for Competitive Exams
Functions of One Variable - I | Mathematics for Competitive Exams
Hence f(x) = sin1/x is not uniformly continuous on (0, ∞).

Theorem :Every uniformly continuous function on an interval is continuous on that interval, but the converse is not true.

Proof. Let a function f be uniformly continuous on an interval I. Then for any ε> 0, there exists some δ > 0 such that
Functions of One Variable - I | Mathematics for Competitive Exams
Let c be any point of I. Taking y = c in (1), we obtain
Functions of One Variable - I | Mathematics for Competitive Exams

Thus f is continuous at the point c.

Since c ∈ I is arbitrary, it follows that f is continuous at each point of I. Hence f is continuous on the interval I.

However, the converse of the theorem is not true.

A function which is continuous on an interval may not be uniformly continuous on that interval.

For example, the function f(x) = 1/x ∀ x ∈ (0, 1] is continuous on (0, 1], but f is not uniformly continuous on (0, 1].

However, if a function is continuous on a closed interval, then it is necessarily uniformly continuous on that closed interval as proved in the following :

Theorem : If a function f is continuous on a closed and bounded interval [a, b], then it is uniformly continuous on [a, b].

Proof. Let, if possible, f be not uniformly continuous on [a, b]. Then there exists some ε > 0 such that for any δn = 1/n (n ∈ N), there is a pair of elements xn, yn ∈[a, b] for which
Functions of One Variable - I | Mathematics for Competitive Exams
Since a < x≤ b, a ≤ yn ≤ b for each n, the sequences <xn) and (yn) are bounded and so by Bolzano-Weierstrass theorem, they have limit points. Let a and p be limit points of <xn>, <yn) respectively. It follows that α and β are limit points of [a, b]. Since a closed interval is a closed set and further a closed set contains all its limit points, so α, β ∈ [a, b].
Now a is a limit point of <xn> implies that there exists a subsequence (xnk) of (xn) such that
xnk→a.                                                                    ...(2)
Similarly, ynk → p, where (ynk) is a subsequence of <yn>.   ...(3)
From (1), we conclude that
Functions of One Variable - I | Mathematics for Competitive Exams
It is clear that Functions of One Variable - I | Mathematics for Competitive Exams
or lim xnk = lim ynk ⇒ α = β, by (2) and (3).
But Functions of One Variable - I | Mathematics for Competitive Exams provided the two limits exist.
It follows that f is not continuous at α ∈ [a, b], which is a contradiction to the given hypothesis. Hence f must be uniformly continuous in [a, b].

Solved Example

Example 1: If f and g are uniformly continuous on an interval I, then prove that f + g is uniformly continuous on I.

Sol: Since f and g are uniformly continuous on I, for any ε > 0, ∃ some δ1, > 0 and δ2 > 0 such that ∀ x, y ∈ I.
Functions of One Variable - I | Mathematics for Competitive Exams
Let 8 = min (δ1, δ2). ...(3)
Now I (f + g) (x) - (f + g) (y) | = | (f(x) - f(y)} + (g(x) - g(y)} | ≤ I f(x) - f(y) | + | g(x) - g(y) |
∴ Functions of One Variable - I | Mathematics for Competitive Exams ∀x, y ∈ I ; using (1), (2) and (3).
Hence f + g is uniformly continuous in I.

Example 2: If f is uniformly continuous in an interval I and <xn> is a Cauchy sequence of elements in I, then <f(xn)> is a Cauchy sequence.

Sol: Since f is uniformly continuous in I, for any ε > 0,there exists some δ>0 such that ∀ x,y ∈ I,
Functions of One Variable - I | Mathematics for Competitive Exams
Since <xn) is a Cauchy sequence in I, for ε = 8 > δ, ∃ a positive integer m such that
Functions of One Variable - I | Mathematics for Competitive Exams
From (1) and (2), we obtain
Functions of One Variable - I | Mathematics for Competitive Exams
Hence <f(xn)> is a Cauchy sequence.

Example 3: Prove that if f is uniformly continuous on a bounded interval I, then f is bounded on I.

Sol: Let, if possible, f be not bounded on I. Then for each n ∈ N, there exists some xn ∈ I such

that
Functions of One Variable - I | Mathematics for Competitive Exams ---(1)
Since I is a bounded interval and xn ∈ I ∀ n ∈ N, <xn> is a bounded sequence in I. By Bolzano-Weierstrass Theorem, <xn) of <xn> has a limit point, say /. Then there exists a subsequence (xnk) of (xn) such that xnk → / as k → ∞ ⇒ (xn) is convergent and so (xn) is a Cauchy sequence in I. Since f is uniformly continuous on I, (f(xnk)) is a Cauchy sequence and hence f(xn)\ is bounded. From (1), we obtain
Functions of One Variable - I | Mathematics for Competitive Exams for all positive integers k
⇒ ( f (xnk) ) is not bounded, which is a contradiction.
Hence f is bounded on I.

Example 4: Justify with an example that the product of two uniformly continuous functions may not be uniformly continuous.

Sol: We shall prove that f(x) = x + 1 is uniformly continuous on R. Let ε > 0 be given. Then for any x, y ∈ R ; we have
Functions of One Variable - I | Mathematics for Competitive Exams
Thus f(x) = x + 1 is uniformly continuous on R.
Similarly, g(x) = x - 1 is uniformly continuous on R.
We shall now prove that f(x) g(x) = x2 - 1 is not uniformly continuous on R. For and δ > 0, let
Functions of One Variable - I | Mathematics for Competitive ExamsThen Functions of One Variable - I | Mathematics for Competitive Exams and
Functions of One Variable - I | Mathematics for Competitive Exams
If we choose c = 1, then I f(x1) - f(x2) I ≤ ε for I x1 - x2 I < δ. Hence the product x2 - 1 of two uniformly continuous functions x + 1 and x - 1 on R is not uniformly continuous on R.

Differentiability of a Function of One Variable

A function f is differentiable at an interior point x0 of its domain if the difference quotient
Functions of One Variable - I | Mathematics for Competitive Exams

approaches a finite limit as x approaches x0, in which case the limit is called the derivative of f at x0 and is denoted by f’(xn); thus
Functions of One Variable - I | Mathematics for Competitive ExamsIt is sometimes convenient to let x = x0 + h and write (1) as
Functions of One Variable - I | Mathematics for Competitive ExamsIf f is defined on an open set S, we say that f is differentiable on S if f is differentiable at every point of S. If f is differentiable on S, then f’ is a function on S. We say that f is continuously differentiable on S if f is continuous on S. If f is differentiable on a neighborhood of x0, it is reasonable to ask if f is differentiable at x0. If so, we denote the derivative of f at x0 be f”(x0). This is the second derivative of f at x0, and it is also denoted by Functions of One Variable - I | Mathematics for Competitive ExamsContinuing inductively, if f(n-1) is defined on a neighborhood of x0, then the nth derivative of f at x0, denoted by f<n> (x0) is the derivative of f(n-1) at x0. For convenience we defined the zeroth derivative of f to be f itself; thus
f<0> = f.
We assume that you are familiar with the other standard notations for derivatives; for example,

f(2) = f", f(3) = f" and so on, and Functions of One Variable - I | Mathematics for Competitive Exams
Let f be a real valued function defined on an interval [a, b] i.e.,
f : [a, b] → R
Let a < c < b.
Definition : The left hand derivative of a function f at x = c, denoted by L f’(c) or f (c - 0) is defined as
Functions of One Variable - I | Mathematics for Competitive Exams provided the limit exists.
Definition : If L f' (c) = R f' (c) then f is differentiable at x = c.
Functions of One Variable - I | Mathematics for Competitive Exams

Definition :A function f defined on an interval [a, b] is said to be differentiable in the interval [a,b], if f is differentiable at all points of the interval [a, b].

Ex : If n is a positive integer and
f(x) = xn,
then

Functions of One Variable - I | Mathematics for Competitive Exams
so
Functions of One Variable - I | Mathematics for Competitive Exams
Since this holds for every x0, we drop the subscript and write
Functions of One Variable - I | Mathematics for Competitive Exams

Interpretations of the Derivative

If f(x) is the position of a particle at time x ≠ x0 the difference quotient
Functions of One Variable - I | Mathematics for Competitive Exams ...(1)
is the average velocity of the particle between times x0 and x. As x approaches x0, the average applies to shorter and shorter intervals. Therefore, it makes sense to regard the limit (1), if it exists, as the particle’s instantaneous velocity at time x0. This interpretation may be useful even if x is not time, so we often regard f’(x0) as the instantaneous rate of change of f(x) at xv regardless of the specific nature of the variable x. The derivative also has a geometric interpretation. The equation of the line through two points (x0, f(x0)) and (x1, f(x1)) on the curve y = f(x) (figure) is
Functions of One Variable - I | Mathematics for Competitive ExamsVarying x1 generates lines through (x0 f(x0)) that rotate into the line
Functions of One Variable - I | Mathematics for Competitive Exams
as x, approaches x0. This the tangent to the curve y = f(x) at the point (x0, f(x0)). Figure depicts the situation for various values of x1.
Functions of One Variable - I | Mathematics for Competitive Exams

Functions of One Variable - I | Mathematics for Competitive ExamsHere is a less intuitive definition of the tangent line: If the function
Functions of One Variable - I | Mathematics for Competitive Exams ...(1)
approximates f so well near x0 such that
Functions of One Variable - I | Mathematics for Competitive Exams

we say that the line y = T(x) is tangent to the curve y = f(x) at (x0, f(x0)).
This tangent line exists if and only if f’(x0) exists, in which case m is uniquely determined by m = f’(x0). Thus, (2) is the equation of the tangent line.
We will use the following lemma to study differentiable functions.

Lemma : If f is differentiable at x0, then
Functions of One Variable - I | Mathematics for Competitive Exams
where E is defined on a neighborhood of x0 and
Functions of One Variable - I | Mathematics for Competitive Exams

Theorem : Differentiability implies Continuity.
Proof. Let f be differentiable at x = c, so that
Functions of One Variable - I | Mathematics for Competitive Exams

Now Functions of One Variable - I | Mathematics for Competitive Exams
= Functions of One Variable - I | Mathematics for Competitive Exams
= f’(c) x 0 = 0.
∴ Functions of One Variable - I | Mathematics for Competitive Exams Hence f is continuous at x = c.
The converse may not be true.
The function f(x) = I x I is continuous at x = 0 but not differentiable at x = 0.
We know Functions of One Variable - I | Mathematics for Competitive Exams
Now Functions of One Variable - I | Mathematics for Competitive Exams
Functions of One Variable - I | Mathematics for Competitive Exams
Functions of One Variable - I | Mathematics for Competitive Exams
Hence f is continuous at x = 0.
Now Functions of One Variable - I | Mathematics for Competitive Exams
Functions of One Variable - I | Mathematics for Competitive Exams
Functions of One Variable - I | Mathematics for Competitive Exams
Thus L f’ (0) * R f (0) implies f is not differentiable at x = 0.

Solved Example

Example 1: Show that the function f(x) = x I x I is differentiable at the origin.

Sol: We have

Functions of One Variable - I | Mathematics for Competitive Exams
Functions of One Variable - I | Mathematics for Competitive Exams
∴ L f (0) = R f (0) = 0.
Hence f (0) = 0

Example 2: Let f be defined by setting Functions of One Variable - I | Mathematics for Competitive ExamsShow that f is differentiable at all points except x = 0.

Sol: We have
Functions of One Variable - I | Mathematics for Competitive Exams
Functions of One Variable - I | Mathematics for Competitive Exams
Since L f’(0) ≠ R f’(0), f is not differentiable at x = 0. Obviously f’(x) = 1, if x < 0 and f(x) = 0, if x > 0. Hence f is differentiable at all points except x = 0.

Example 3: Discuss the differentiability of the function Functions of One Variable - I | Mathematics for Competitive Examsat x = 2, 4.

Sol: We have
Functions of One Variable - I | Mathematics for Competitive Exams
Functions of One Variable - I | Mathematics for Competitive Exams
Since L f' (2)≠ R f'(2), f is not differentiable at x = 2.
Functions of One Variable - I | Mathematics for Competitive Exams
Since the given function is defined on [0, 4], therefore f (4) = L f' (4) = 8. Hence f is differentiable at x = 4.

Example 4: Discuss the differentiability of the function Functions of One Variable - I | Mathematics for Competitive Examsat x = 1, 2.

Sol: Functions of One Variable - I | Mathematics for Competitive Exams
Functions of One Variable - I | Mathematics for Competitive Exams
Functions of One Variable - I | Mathematics for Competitive Exams
Hence f is not differentiable at x = 1.
Now Functions of One Variable - I | Mathematics for Competitive Exams
Functions of One Variable - I | Mathematics for Competitive Exams
= Functions of One Variable - I | Mathematics for Competitive Exams
Functions of One Variable - I | Mathematics for Competitive Exams
Hence f is differentiable at x = 2 and f'(2) = -1.

Example 5: Prove that the function defined as Functions of One Variable - I | Mathematics for Competitive Exams= 0, if x = 0 is not differentiable at x = 0. Further show that f is continuous at x = 0.

Sol: We have
Functions of One Variable - I | Mathematics for Competitive Exams (∴f(0) = 0)
Functions of One Variable - I | Mathematics for Competitive Exams which doe s not exist.
Thus f is not differentiable at x = 0.
Now we show that f is continuous as x = 0.
Functions of One Variable - I | Mathematics for Competitive Exams  Functions of One Variable - I | Mathematics for Competitive Exams
Functions of One Variable - I | Mathematics for Competitive Exams  Functions of One Variable - I | Mathematics for Competitive Exams
Also f(0) = 0. Hence f is continuous at x = 0.

Example 6: Examine the function f where Functions of One Variable - I | Mathematics for Competitive Examsas regards continuity and differentiability at the origin. 

Sol: We have
Functions of One Variable - I | Mathematics for Competitive Exams
which does not exist.
Thus f is not differentiable at x = 0.
Now Functions of One Variable - I | Mathematics for Competitive Exams
= Functions of One Variable - I | Mathematics for Competitive Exams

Functions of One Variable - I | Mathematics for Competitive Exams
Also f(0) = 0. Hence f is continuous at x = 0.

Example 7: If f(x) = x2 sin (1/x) when x ≠0 and f(0) = 0, show that f is differentiable for every value of x but the derivative is not continuous for x = 0.

Sol: We have
Functions of One Variable - I | Mathematics for Competitive Exams ...(1)
So f’(0) = 0, which means f is differentiable at x = 0.
For x ≠ 0 , f'(x) = 2x sin (1 /x) + x2 cos (1/x) ( - 1/x2)
f'(x) = 2x sin (1/x) - cos (1/x).                                            ...(2)
Hence f is differentiable for every value of x.
Now we discuss the continuity of f at x = 0. We have
Functions of One Variable - I | Mathematics for Competitive Exams
Since Functions of One Variable - I | Mathematics for Competitive Examsdoes not exist, it follows that f' is not continuous at x = 0.

Example 8: If f(x) = Functions of One Variable - I | Mathematics for Competitive Examsprove that f(x) has a derivative at x = 0 and that f(x) and f’(x) are continuous at x = 0.

Sol: We know Functions of One Variable - I | Mathematics for Competitive Exams Also f(0) = 0.
Functions of One Variable - I | Mathematics for Competitive Exams
Functions of One Variable - I | Mathematics for Competitive Exams
Functions of One Variable - I | Mathematics for Competitive Exams
∴ f’(0) = 0 and so f(x) is differentiable at x = 0.                    ...(1)
Now Functions of One Variable - I | Mathematics for Competitive Exams
= Functions of One Variable - I | Mathematics for Competitive Exams
So Functions of One Variable - I | Mathematics for Competitive Exams implies that f(x) is continuous at x = 0.
Now Functions of One Variable - I | Mathematics for Competitive Exams
=Functions of One Variable - I | Mathematics for Competitive Exams
Functions of One Variable - I | Mathematics for Competitive Exams
= = 0 x 0 - 0 = 0 = f' (0), by (1)
So Functions of One Variable - I | Mathematics for Competitive Examsimplies that f (x) is continuous at x = 0.

Example 9: Let f be defined on R by setting f(x) = x4sin (1/x), if x ≠ 0 and f(0) = 0. Show that f"(0) exists but f" is not continuous at x = 0.

Sol: We have
Functions of One Variable - I | Mathematics for Competitive Exams
= Functions of One Variable - I | Mathematics for Competitive Exams
Thus f(0) = 0. Now

f’(x) = 4x3 sin (1/x) - x2 cos (1/x), x * 0.

f”(x) = [12 x2 sin (1/x) - 4x cos (1/x)] - [2x cos (1/x) + sin (1/x)]
or f”(x) = 12 x2 sin (1/x) - 6x cos (1/x) - sin (1/x).
Now Functions of One Variable - I | Mathematics for Competitive Exams
Functions of One Variable - I | Mathematics for Competitive Exams which does not exist
Thus f” is not continuous at x = 0. Now
Functions of One Variable - I | Mathematics for Competitive Exams
= Functions of One Variable - I | Mathematics for Competitive Exams
= Functions of One Variable - I | Mathematics for Competitive Exams
Hence f”(0) exists but f is not continuous at x = 0.

Example 10: Show that the function f defined by Functions of One Variable - I | Mathematics for Competitive Examsis continuous at x = 0 but not differentiable at x = 0.

Sol: We have
Functions of One Variable - I | Mathematics for Competitive Exams
Functions of One Variable - I | Mathematics for Competitive Exams
Functions of One Variable - I | Mathematics for Competitive Exams
Let ε > 0 be given and δ = 3ε/4. Then
I f(x) - f(0) | < ε, if I x - 0 | < δ. Hence f is continuous at x = 0.
Now Functions of One Variable - I | Mathematics for Competitive Exams
= Functions of One Variable - I | Mathematics for Competitive Exams
Functions of One Variable - I | Mathematics for Competitive Exams which does not exist.
Hence f is not differentiable at x = 0.

Example 11: Show that the function f defined as f(x) = I x - 1 | + |x+1 | ∀ x ∈ R is not differentiable at the points x = -1 and x = 1, and is differentiable at every other point.

Sol: We have I x - 1 | = x - 1, if x ≥ 1
and I x - 1 | = - (x - 1), if x < 1.
Also l x + 1 I = x + 1, if x ≥ - 1 and | x + 1 | = - (x + 1), if x < 1.
Functions of One Variable - I | Mathematics for Competitive Exams
Let Functions of One Variable - I | Mathematics for Competitive Exams
= Functions of One Variable - I | Mathematics for Competitive Exams
Functions of One Variable - I | Mathematics for Competitive Exams
Since L f'(- 1) ≠ R f'(- 1), f is not differentiable at x = -1.
Now Functions of One Variable - I | Mathematics for Competitive Exams
Functions of One Variable - I | Mathematics for Competitive Exams
Since L f'(1) ≠ R f'(1), f is not differentiable at x = 1.
From (1) f'(x) = - 2 ∀ x < - 1 .

From (2), f'(x) = 0, if - 1 < x < 1.

From (3), f'(x) = 2 ∀ x > 1.

Algebra of Derivatives

Theorem: If f and g be two functions which are defined on [a, b] and differentiable at any point c ∈ [a, b], then
(f + g)’ (c) = f (c) + g’ (c).
Further for each real number k, the function kf is also differentiable at c and
(kf)’ (c) = kf' (c).
Proof. (i) Since f and g are differentiable at c, therefore
Functions of One Variable - I | Mathematics for Competitive Exams ...(1)
Consider Functions of One Variable - I | Mathematics for Competitive Exams
= Functions of One Variable - I | Mathematics for Competitive Exams
= Functions of One Variable - I | Mathematics for Competitive Exams
= f (c) + g’ (c), using (1).
Hence f + g is differentiable at c and (f + g)’ (c) = f (c) + g’ (c).
(ii)Now Functions of One Variable - I | Mathematics for Competitive Exams
= Functions of One Variable - I | Mathematics for Competitive Exams
Hence kf is differentiable at c and (kf)’ (c) = kf'(c).

Theorem :If f and g are two differentiable functions at x = c, then fg also differentiable at x = c and (fg)’ (c) = f(c) g’(c) + g(c) f(c).
Proof. Since f and g are differentiable at x = c, therefore
Functions of One Variable - I | Mathematics for Competitive Exams ...(1)
Since f and g are differentiable at x = c, so f and g are continuous and x = c. Thus
Functions of One Variable - I | Mathematics for Competitive Exams ...(2)
Now Functions of One Variable - I | Mathematics for Competitive Exams
= Functions of One Variable - I | Mathematics for Competitive Exams
= Functions of One Variable - I | Mathematics for Competitive Exams
= f(c) g’(c) + g(c) f(c), using (1) and (2).
Hence fg is differentiable at c and
(fg)’ (c) = f(c) g’(c) + g(c) f’(c).

Theorem : (i) If a function f is differentiable at c and if f(c) ≠ 0, then 1/f is also differentiable at c and Functions of One Variable - I | Mathematics for Competitive Exams
(ii) If f and g be two functions on [a, b] and differentiable at any point c ∈ [a, b] and if g(c) * 0, then f/g is also differentiable at c and
Functions of One Variable - I | Mathematics for Competitive Exams
Proof, (i) Since f is differentiable at c, so f is continuous at c.
Thus Functions of One Variable - I | Mathematics for Competitive Exams
Now Functions of One Variable - I | Mathematics for Competitive Exams
Functions of One Variable - I | Mathematics for Competitive Exams
= Functions of One Variable - I | Mathematics for Competitive Exams
Hence 1/f is differentiable at c and
Functions of One Variable - I | Mathematics for Competitive Exams ...(2)
(ii) Since g is differentiable at c and g(c) ≠ 0. So 1/g is differentiable at c. By Theorem , we see that
f and 1/g and differentiable at c ⇒ f. 1/g is differentiable at c.
Hence f/g is differentiable at c. Again by Theorem, we have
Functions of One Variable - I | Mathematics for Competitive Exams
= Functions of One Variable - I | Mathematics for Competitive Exams
Hence, Functions of One Variable - I | Mathematics for Competitive Exams
Theorem : (Chain Rule)
Let f: I → R and g : J → R be real-valued functions defined on the intervals I and J, respectively such that f(l) ⊂ J. Let f be differentiable at c ∈ I and g be differentiable at f(c). Then gof is differentiable at c and
(gof)’ (c) = g’ (f(c)).f'(c).

Theorem (Inverse Function Theorem for Derivatives)

Let f be a continuous one-to-one function defined on an interval and let f be differentiable at x0 with f'(x0)≠ 0. Then the inverse of the function f is differentiable at f(x0) and its derivative at f(x0) is 1/f’(x0).
The proof is omitted.

Solved Example

Example 1: Let f and g be two functions having the same domain D. If fg is differentiable at x0 ∈ D, is it necessary that f and g are both differentiable at xn? Give argument in support of your answer.

Sol: The function f and g may not be both differentiable at x0.
Let f(x) = I x I and g(x) = - | x | ∀ x ∈ 1 .

Then (fg)(x) = f(x ) g(x) = - | x |2 = - x2.   ( ∴ I x I2 = x2)
Obviously, fg is differentiable at x = 0, since
(fg )’(x) = - 2x and ( fg )’(0) = 0.
But f and g are both not differentiable at 0.

Example 2: Let f and g be two functions having the same domain D. If f ± g and f/g are differentiable at x0 ∈ D, is it necessary that f and g are both differentiable at x0?

Sol: (i) The functions f and g may not be both differentiable at x0.
Let Functions of One Variable - I | Mathematics for Competitive Exams
Let g(x) = - f ( x ) ∀ x ∈ R.

Then (f + g) (x) = f(x) + g(x) = 0 ∀ x ∈ R.
∴ f + g is differentiable at 0 and (f + g)’ (0) = 0.
But f and g are both not differentiable at 0.
(ii)Let f(x) = g(x) = I x I ∀ x ∈ R

Then (f - g) (x) = f(x) - g(x) = 0 ∀ x ∈ R.

Obviously, f - g is differentiable at x = 0 and (f - g)’ (0) = 0.

But f and g are both not differentiable at x = 0.
(iii) Let Functions of One Variable - I | Mathematics for Competitive Exams
Then f and g are both not differentiable at 0. But
Functions of One Variable - I | Mathematics for Competitive Exams
is differentiable at x = 0.

Example 3: Let f(x) = I x I and g(x) = 3 I x I. Show that f and g are not differentiable at the origin. But Functions of One Variable - I | Mathematics for Competitive Examsexists and is equal to Functions of One Variable - I | Mathematics for Competitive Exams

Sol: We know that f and g are not differentiable at the origin (x = 0).
Now Functions of One Variable - I | Mathematics for Competitive Exams
We have f(x) = x, if x ≥ 0 and f(x) = - x, if x < 0,
and g(x) = 3x, if x ≥ 0 and g(x) = -3x, if x < 0.
Clearly, Functions of One Variable - I | Mathematics for Competitive Exams
Now Functions of One Variable - I | Mathematics for Competitive Exams
Functions of One Variable - I | Mathematics for Competitive Exams
Hence Functions of One Variable - I | Mathematics for Competitive Exams

Example 4: Let f and g be two functions with domain D satisfying g(x) = x f(x) ∀ x ∈ D. Show that if f be continuous at x = 0 ∈ D, then g is differentiable at x = 0.

Sol: We have
Functions of One Variable - I | Mathematics for Competitive Exams
since f is continuous at x = 0.
Hence g’(0) = f(0), which shows that g is differentiable at x = 0.

Sign of the Derivative

Suppose a function f is defined in [a, b] and f'(c) exists for any point c ∈ [a, b]. Let f'(c) > 0.
Since Functions of One Variable - I | Mathematics for Competitive Exams = f’(c), so for ε > 0, ∃ some δ > 0, such that
Functions of One Variable - I | Mathematics for Competitive Exams
⇒ Functions of One Variable - I | Mathematics for Competitive Exams ...(1)
Let us choose ε > 0 so that ε < f’(c) ⇒  f(c) > ε ⇒  f(c) - ε > 0        ...(2)
From (1 ), we consider Functions of One Variable - I | Mathematics for Competitive Exams
Functions of One Variable - I | Mathematics for Competitive Exams
Functions of One Variable - I | Mathematics for Competitive Exams
⇒ (x) - f(c) > 0, when x ∈ ( c , c + δ ) (∴ x > c)
and f(x) - f (c) < 0, when x ∈ ( c - δ, c ). (∴ x < c)
Functions of One Variable - I | Mathematics for Competitive Exams
Hence Functions of One Variable - I | Mathematics for Competitive Exams                            ...(A)

This property is often stated as follows :
If f’(c) > 0, then f is increasing at c.
Let f'(c) < 0.
We define a function g as follows :
g(x) = - f(x) ∀ x ∈ [a, b].
Then g ’(c) = - f (c) > 0.
Now g’ (c) > 0 ⇒ ∃ some δ > 0 such that                        ..(B)
g(x) > g(c) ⇒ f(x) < f(c) ∀x ∈ ( c, c + δ ),
g(x) < g(c) ⇒f(x) > f(c) ∀x ∈ ( c - δ, c ).
In other words,
If f'(c) < 0, then f is decreasing at c.
We now consider the end points. It may be show that
Functions of One Variable - I | Mathematics for Competitive Exams ...(C)
Functions of One Variable - I | Mathematics for Competitive Exams ...(D)
Note :The students are strongly advised to remember the results (A), (B), (C) and (D) as these will be frequently used.
Darboux’s Theorem

Theorem :If a function f defined in [a, b] is such that
(i) f is differentiable in [a, b]
(ii) f’ (a) and f (b) are of opposite signs, then there exists some point c e ( a, b ) such that f'(c) = 0.

Proof. Let us suppose that f'(a) > 0 and f'(b) < 0.

Since f’ (a) > 0 ⇒ ∃ some δ1 > 0 such that
f(x) > f(a), ∀ x ∈ ( a, a + 8, ).                                                ...(1)
Since f'(b) < 0> ⇒ ∃ some δ> 0 such that

f(x) > f(b), ∀ x ∈ ( b - δ2, b ).                                               ...(2)
Since f is differentiable in [a, b], f is continuous in [a, b] and hence bounded there in and the bounds are attained.
Let K = sup f and k = inf f. Then ∃ points c, d ∈ [a, b] such that
f(c) = K and f(d) = k.                                                           ...(3)
Now K = sup f ⇒ f(x) ≤ K, ∀ x ∈ [a, b].                                ...(4)
We shall show that c ≠ a and c ≠ b.

Let, if possible, c = a. Then f(c) = f(a) or K = f(a), using (3)
Functions of One Variable - I | Mathematics for Competitive Exams
This contradicts (4). Thus c ≠ a.
Similarly, we can show that c ≠ b. Thus c ∈ (a, b ).
Finally, we show that f’(c) = 0.

Case I.Let f' (c) > 0.

⇒∃ some δ3 > 0 such that f(x) > f(c), ∀ x ∈ ( c, c + δ3 )

⇒f(x) > K, ∀ x ∈ ( c, c + δ3 ), by (3)
This contradicts (4) and so f’(c) ≥ 0.
Case II. Let f' (c) < 0.

⇒ ∃ some δ4 > 0 such that f(x) > f(c), ∀ x ∈ (c - δ3,c)

⇒ f(x) > K, ∀ x ∈ ( c - δ4, c ), by (3)

This contradicts (4) and so f’(c) < 0. Hence f’(c) = 0.

Remark.Darboux’s Theorem may be restated as follows :
Let f be defined and differentiable on [a, b]. If f'(a) f'(b) < 0, then there exists some point c ∈ ( a, b ) such that f' (c) = 0.

Proof. It is clear that
f’(a) f'(b) < 0 ⇒ f’(a) and f'(b) are of opposite signs.
Now proceed like Theorem.

Theorem.If f is differentiable in [a, b] and f’(a) ≠ f(b), then for each number k lying between f'(a) and f’(b), ∃ some point c ∈ ( a, b ) such that f' (c) = k.

Proof. We are given that f’ (a) < k < f' (b).                                          ...(1)
Let g(x) = f(x) - kx ∀ x ∈ [a, b].                                                            ...(2)
Since f is differentiable in [a,b] and kx is also differentiable in [a,b], therefore, by (2), g is differentiable in [a,b].
Now g'(x) = f'(x) - k                                                                              ...(3)
⇒g’(a) = f'(a) - k < 0 and g'(b) = f'(b) - k > 0, by (1).
Thus g is differentiable in [a, b] and g’(a), g’(b) are of opposite signs. So by Darboux’s Theorem, ∃ some point c ∈ ( a, b ) such that
g’(c) = 0
⇒ f’(c) - k = 0, by (3)
Hence f’(c) = k.

Solved Example

Example 1: If f be differentiable at a point c, then show that I f I is also differentiable at c, provided f(c) ≠ 0. Show by means of an example that if f(c) = 0, then f may be differentiable at c and I f I may not be differentiable at c.

Sol: Since f is differentiable at c, f is continuous at c.
Now f(c) ≠ 0 ⇒ f(c) > 0 or f(c) < 0.
Consequently, ∃ δ1 > 0 and δ2 > 0 such that
Functions of One Variable - I | Mathematics for Competitive Exams
or Functions of One Variable - I | Mathematics for Competitive Exams
Thus Functions of One Variable - I | Mathematics for Competitive Exams

or Functions of One Variable - I | Mathematics for Competitive Exams
In either case, it follows that I f I is differentiable at c, since f is differentiable at c. However, I f I may not be differentiable at c, if (c) = 0.
For example let f(c) = x ∀ x ∈ R. Then f(0) = 0 and
I f(x) 1 = 1x1 ∀ x ∈ R.
Clearly, I f I is not differentiable at x = 0, although f is differentiable at x = 0.

Example 2: If f be defined and differentiable on [a, b], f(a) = f(b) = 0, and f’(a) and f' (b) are of the same sign, then prove that f must vanish at least once in ( a, b ).

Sol: We are given that f(a) = f(b) = 0.
Since f'(a) and f'(b) are of the same sign, we may take
f’(a) > 0 and f'(b) > 0.
Now f’(a) > 0 ⇒ ∃ some δ1 > 0 such that
f(x) > f(a) = 0 ∀ x ∈ ( a, a + δ1 ].
Again f’(b) > 0 ⇒ ∃ some δ2 > 0 such that
f(x) > f(b) = 0 ∀ x ∈ [b - δ2, b).
Thus f(a + δ1) > 0 and f(b - δ2) < 0. ...(1)
Obviously, [a + δ1, b - δ2 ] ⊂ [a, b]. ...(2)
Since f is differentiable in [a, b], f is continuous in [a, b] and consequently by (2), f is continuous in [a + δ1, b - δ2], where f(a + δ1) and f(b - δ2) are of opposite signs, by (1). Hence by Theorem , there exists some c e ( a + δ1)( b - δ2) ⊂ ( a, b ) such that f(c) = 0. Hence f must vanish at least once in (a, b).

Example 3: If f is differentiable on [a, b], f(a) = f(b) = 0, and f(x) ≠ 0 for any x in(a, b), then prove that f’(a) and f’(b) must be of opposite signs.

Sol: Let, if possible, f’(a) and f'(b) be of the same sign. Also f(a) = f(b) = 0. By Example there exists some c ∈ (a, b) such that f(c) = 0. This contradicts the given hypothesis that f(x) ≠ 0 for all x in (a, b). Hence f’(a) and f'(b) must be of opposite signs.

Example 4: Let f : [- 1, 1] → R be defined by Functions of One Variable - I | Mathematics for Competitive Exams. Does there exists a function g such that g’(x) = f(x) ∀ x ∈ [- 1, 1] ?

Sol: Let, if possible, there exist a function g : [ - 1, 1] → R such that
Functions of One Variable - I | Mathematics for Competitive Exams
It follows that g is differentiable on [ - 1, 1] and g ’ (-1) * g ’(1) [∴ g’(-1) = 0 and g’(1) = 1].
By Theorem g’ must assume every value between 0 and 1. [∴ g’(-1) = 0 and g’(1) = 1.]
But this is impossible, since
g ’(x) = 1 ∀ x ∈ (0, 1).
Hence there does not exist any function g such that
g’(x) = f(x) ∀ x ∈ [-1, 1].

Intermediate Value Property

A real function is said to have the intermediate value property on an interval [a, b] if, for each value v between f(a) and f(b), there is some c ∈ (a, b) such that f(c) = v. Thus, a function with the intermediate value property takes all intermediate values between any two points.
The simplest, and most important, examples of functions with this property are the continuous functions.

Theorem by (Intermediate Value Theorem)

If a function f is continuous in [a, b] and f(a) ≠ f(b), then f assumes every value between f(a) and f(b).

Proof. Suppose that f(a) < f(b) and let M be any number lying between f(a) and f(b), i.e., f(a) < M < f(b)                                                                             ...(1)
We have to show that ∃ some point c ∈ [a, b] such that f(c) = M.
Let us define a function ϕ on [a, b] as follows :
ϕ(x) = f(x) - M, ∀ x ∈ [a, b]                                                           ...(2)
Since f is given to be continuous in [a, b] and M being a constant is always continuous, so ϕ is continuous in [a, b].

From (2), ϕ(a) = f(a) - M and ϕ(b) = f(b) - M.
By (1), f(a) - M < 0 and f(b) - M > 0
⇒ ϕ(a) and ϕ(b) are of opposite signs,
By Theorem there exists some point c ∈ ( a, b ) such that
ϕ(c) = 0 ⇒ f(c) - M = 0, by (2)
Hence f(c) = M, c ∈ ( a, b ).

Remark. If a function f is not continuous on a closed interval, then the conclusion of the Intermediate Value Theorem may not hold:
Consider a function on [0, 1] as follows:
f(x) = x + 1 ∀ x ∈ ( 0, 1 ].
f(0) = 0.
Obviously, f is continuous on (0, 1]. Further
Functions of One Variable - I | Mathematics for Competitive Exams
∴ Functions of One Variable - I | Mathematics for Competitive Exams and so f is not continuous at 0.
i.e., f is not continuous in the closed interval [0, 1].
Now f(0) = 0, f(1) = 2.
We see that f(0) < 1 < f(1). But there does not exist y any x ∈ (0, 1] such that f(x) = 1.
Functions of One Variable - I | Mathematics for Competitive Exams

Ex. Is there a solution to x5 - 2x3 - 2 = 0, where x ∈ [0, 2] ?
At x = 0, we have 05 - 2 x 03 - 2 = -2.
At x = 2, we have 25 - 2 x 23 - 2 = 14.
So that IVT implies that there is a solution to x5 - 2x3 - 2 = 0 in the interval [0, 2].

Ex. Suppose that f is continuous on [0, 1] and f(0) = f(1). Let n be any positive integer, then prove that there is some number x such that
Functions of One Variable - I | Mathematics for Competitive Exams
Define g(x) = Functions of One Variable - I | Mathematics for Competitive Exams
Consider the set of numbers S = Functions of One Variable - I | Mathematics for Competitive Exams
Let k be such that Functions of One Variable - I | Mathematics for Competitive Exams is the largest number in S. Suppose that k ≠ 0 and k≠ n.
then Functions of One Variable - I | Mathematics for Competitive Examsand Functions of One Variable - I | Mathematics for Competitive Exams
By the Intermediate value theorem, there is Functions of One Variable - I | Mathematics for Competitive Examswith g(c) = 0, so that

Functions of One Variable - I | Mathematics for Competitive Exams= 0 or Functions of One Variable - I | Mathematics for Competitive Exams as desired.
Finally, if the largest number in S is f(0) = f(1), then the same argument works with k chosen such that f (k/n) is the minimum number in S.
Note that if f(0) is both the largest and smallest number in S, then they are all the same and Functions of One Variable - I | Mathematics for Competitive Exams
Suppose that f is continuous on [0, 1] and f(0) = f(1). Let c be the hyperreal unit, then prove that there is some number x such that f(x) = f(x + ε).
First, assume f(x) is not constant on [0, 1]. The result holds trivially if it is.
Then, let g(x) = f(x) - f(x + ε).
Since f is not constant, there exists a c ∈ [0, 1] such that f(c) is a maximum (or a minimum, but assume for now that it is a max, a min is handled similarly).
Then g(c) = f(c) - f(c + ε) > 0 and g(c - ε) = f(c -ε) - f(c) < 0
Now, by the Intermediate Value Theorem, if ε > 0, there exists a y <∈ [c - ε, c] such that

g(y) = 0.
(If ε < 0, y ∈ [c, c - ε], instead.)
Thus, f(y) = f(y + ε), as wanted.
If ε = 0, f(x) = f(x +ε) ∀x

Solved Example

Example 1: Apply intermediate value property to show that the equation x5 - 3x2 = -1 has a solution in the interval [0, 1].

Sol: Let f(x) = x5 - 3x2. Then f(x) is a continuous function with f(0) = 0 and f(1) = -2. As -1 is a value between -2 and 0, the intermediate value property of continuous functions indicates that f(x) = -1 must have a solution in the interval [0, 1].

Example 2: Apply intermediate value property to show that the equation x5 - 5x3 + 3 = 0 has a solution in the interval [-1, 1].

Sol: Let f(x) = x5 - 5x3 + 3. Then f(x) is a continuous function with f(-1) = 7 and f(1) = -1. As 0 is a value between -1 and 7, the intermediate value property of continuous functions indicates that f(x) = 0 must have a solution in the interval [-1, 1].

Example 3: Apply intermediate value property to show that the equation √x6 +5x4 +9 = 3.5 has a solution in the interval [0, 1].

Sol: Let f(x) = √x6 +5x4 +9 . Then f(x) is a continuous function with f(0) = 3 and f(1) = 4. As 3.5 is a value between 3 and 4, the intermediate value property of continuous functions indicates that f(x) = 3.5 must have a solution is the interval [0, 1].

Example 4: Show that the equation (1 - x)cosx = sinx has at least one solution in (0, 1).

Sol: Set f(x) = (1 - x)cosx - sinx. Then f(0) = 1 and f(1) = -sin1 < 0. By the intermediate value property there is x0 ∈ (0, 1) such that f(x0) = 0.

Example 5: Let f : [0, 1] → [0, 1] be continuous. Show that f has a fixed point in [0, 1]; that is, there exists x0 ∈ [0, 1] such that f(x0) = x0.

Sol: Define the function g(x) = f(x) - x on [0, 1]. Then f is continuous, g(0) ≥ 0 and g(1) ≤ 0. Use the intermediate value property (IVP).

Example 6: Let f : [a, b] → R be a continuous function. Show that the range {f(x) : ∈ [a, b]} is a closed and bounded interval.

Sol: Since f is a continuous function, there exist x0, y0 ∈ [a, b] such that f(x0) = m = inf f and f(y0) = M = sup f. Suppose x0 < y0. By the IVP, for every a e [m, M] there exists x ∈ [x0 y0] such that f(x) = a. Hence f[(a, b]) = [m, M].

Example 7: Show that a polynomial of odd degree has at least one real root.

Sol: Let p(x) = anxn + an-1xn-1 + ... + a1x + a0, an ≠ 0 and n be odd. Then p(x) =Functions of One Variable - I | Mathematics for Competitive Exams +   + Functions of One Variable - I | Mathematics for Competitive ExamsIf an >0, then p(x) ∞ as x oo and p(x) -∞ as x-∞. Thus by the IVP, there exists x0 such that p(x0) = 0. Similar argument for an < 0.

The document Functions of One Variable - I | Mathematics for Competitive Exams is a part of the Mathematics Course Mathematics for Competitive Exams.
All you need of Mathematics at this link: Mathematics
98 videos|34 docs|32 tests

FAQs on Functions of One Variable - I - Mathematics for Competitive Exams

1. What is a real-valued function and how is it defined?
Ans. A real-valued function is a function that assigns a real number to every element in its domain. It is defined as a relation between a set of inputs (the domain) and a set of outputs (the real numbers) such that each input is associated with exactly one output. Mathematically, if \( f: A \rightarrow \mathbb{R} \), then for every \( x \in A \), \( f(x) \) is a real number.
2. How do you perform arithmetic operations on functions?
Ans. Arithmetic operations on functions include addition, subtraction, multiplication, and division. If \( f(x) \) and \( g(x) \) are two functions, the operations are defined as follows: - Addition: \( (f + g)(x) = f(x) + g(x) \) - Subtraction: \( (f - g)(x) = f(x) - g(x) \) - Multiplication: \( (f \cdot g)(x) = f(x) \cdot g(x) \) - Division: \( \left( \frac{f}{g} \right)(x) = \frac{f(x)}{g(x)} \) (provided \( g(x) \neq 0 \))
3. What is the domain of definition of a function?
Ans. The domain of definition of a function is the set of all possible input values (or arguments) for which the function is defined. For instance, in a rational function, the domain excludes values that make the denominator zero. Understanding the domain is crucial for determining where the function can be evaluated.
4. Can you explain what a bounded function is?
Ans. A bounded function is a function whose range is limited to a specific interval. This means there exist real numbers \( M \) and \( m \) such that for all \( x \) in the domain, \( m \leq f(x) \leq M \). Bounded functions can be classified as bounded above, bounded below, or bounded if they meet both criteria.
5. What are piecewise functions and how are they represented?
Ans. Piecewise functions are functions defined by different expressions based on the input value. They are typically represented using a set of conditions, such as: \[ f(x) = \begin{cases} x^2 & \text{if } x < 0 \\ x + 1 & \text{if } x \geq 0 \end{cases} \] This notation allows for different rules to apply to different parts of the domain, making them useful for modeling scenarios that change under certain conditions.
Related Searches

Objective type Questions

,

Extra Questions

,

Functions of One Variable - I | Mathematics for Competitive Exams

,

practice quizzes

,

study material

,

video lectures

,

MCQs

,

Functions of One Variable - I | Mathematics for Competitive Exams

,

Viva Questions

,

pdf

,

mock tests for examination

,

Important questions

,

Semester Notes

,

Free

,

ppt

,

Summary

,

Functions of One Variable - I | Mathematics for Competitive Exams

,

Exam

,

shortcuts and tricks

,

Sample Paper

,

Previous Year Questions with Solutions

,

past year papers

;