Mathematics Exam  >  Mathematics Notes  >  Mathematics for Competitive Exams  >  Functions of One Variable - II

Functions of One Variable - II | Mathematics for Competitive Exams PDF Download

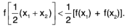
Rolle's Theorem : Statement

If a function f defined on [a, b] is such that it is :
[R1] continuous in the closed interval [a, b]
[R2] differentiable in the open interval (a, b)
and [R3] f(a) = f(b),
then there exists atleast one point c ∈ (a, b) such that f’(c) = 0.

Proof : Since f is continuous in the closed interval [a, b], therefore by the property of continuity f will be bounded and will attain bounds in [a, b].
Let m and M be the infimum and supremum of f in [a, b], then there exist c and d in [a, b] such that f(c) = M and f(d) = m
Case 1 : When M = m, then
f(x) = M = m, ∀ x ∈ [a, b]
⇒ f’(x) = 0, ∀ x ∈ [a, b]
⇒ f’(c) = 0, where c ∈ (a, b)
Thus the theorem hold good at any point c of (a, b).
Case 2 : When M ≠ m, then by R3, f(a) = f(b), and atleast one of the numbers M and m be different from f(a) and f(b) i.e.,
M = f(c) ≠ f(a), f(b)
⇒ c ≠ a, b ⇒ c ∈ (a, b)
Since the function f is differentiable in (a, b), then the derivative exist at a point c.
Therefore RHD and LHD are
Functions of One Variable - II | Mathematics for Competitive Exams
both exist and each equal to f(c).
Since f(c) is the maximum value of f(x) in (a,b),
∴ f(c + h) < f(c) and f(c - h) < f(c) ...(1)
Now Functions of One Variable - II | Mathematics for Competitive Exams
Functions of One Variable - II | Mathematics for Competitive Exams [Putting x = c + h]
≤ 0 [∵ by(1) f(c + h) - f(c) < 0]
and Functions of One Variable - II | Mathematics for Competitive Exams
Functions of One Variable - II | Mathematics for Competitive Exams [Putting x = c - h]
≥ 0 [∵ by(1) f(c - h) - f(c) < 0]
Thus both the derivatives are of opposite signs.
Therefore both these derivatives will be equal only when f(c) = 0.

Geometrical Interpretation of Rolle’s Theorem

Statement : It a curve has a tangent at every point there of and the ordinates of its extremities A and B are equal i.e. f(a) = f(b); then there exists atleast one point P of the curve other than A and B, the tangent at which is parallel to x-axis.

Case 1 : When f(x) = k (constant),
Then the graph of this function will be a straight line parallel to the x-axis whose equation is y = k and the derivative
f’(x) = 0, ∀ x ∈ [a, b]
Case 2 : When f(x) ≠ k (constant),
Then the graph of this function is a continuous curve of the following type in [a, b] as shown below:
Functions of One Variable - II | Mathematics for Competitive Exams

From these figures it is quite intuitively that there must be atleast one point P(x = c) (may be more) of the curve other than A and B, the tangent at which is parallel to x-axis and at these points f’(c) = 0.

Case of Failure : The theorem will not hold good if any of the three conditions fails to hold good i.e.,

  1. the function f is discontinuous at x = c.
  2. the derivative does not exist at x = c.
  3. f(a) ≠ f(b).

The following figures will illustrate these cases of failure:

Functions of One Variable - II | Mathematics for Competitive Exams

Algebraic interpretation of Rolle’s theorem:

Statement : If f(x) be a polynomial in x and x = a and x = b are any two roots of the equation f(x) = 0, then there exists at least one root of the equation f’(x) = 0, which lies between a and b.
Remarks : The Rolle’s theorem is not applicable for those functions which do not satisfy even one condition of Roll’s theorem.

Another useful form of Rolle’s Theorem:
If a function f defined on [a, a + h] is such that it is:
[R1] continuous in [a, a + h],
[R2] differentiable in (a, a + h) and
[R3] f(a) = f(a + h),
then ∃ θ ∈ (0, 1) such that f (a + θh) = 0.

Example: Verify Rolle’s theorem for the function in the interval mentioned against:
f(x) = x(x + 3)e-x/2, x ∈ [-3, 0]

R1. Since the given function x(x + 3), x is a polynomial of x, therefore it is continuous for every value of x and e-x/2 is also continuous for every value of x.
Therefore their product is also continuous for every value of x
Hence the function is continuous, particularly in [-3, 0].
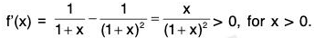
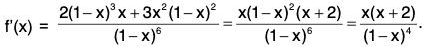
R2. f(x ) = (2x + 3) e-x/2 + x(x + 3) • e-x/2(-1/2) = (1/2)e-x/2 (6 + x - x2)
which is not infinite or indeterminate at any point of (-3, 0).
Thus f(x) is differentiable in (-3, 0).
R3. f(-3) = 0 = f(0)
Thus the given function f satisfies all the three conditions of Roll’s theorem.
Hence Verified.
Therefore there must be atleast one point c in (-3, 0), where
Functions of One Variable - II | Mathematics for Competitive Exams
Since e-c/2 is not zero for any finite value c, therefore 6 + c - c2 = 0 ⇒ c = - 2, 3
One value of c = -2 ∈ (-3, 0) Hence Verified.

Example: Verify Rolle’s Theorem for Functions of One Variable - II | Mathematics for Competitive Exams

The given function being an algebraic function of x is continuous in [- 1, 1].
Now Functions of One Variable - II | Mathematics for Competitive Exams
So f(x) is derivable in ] - 1, 1[. Also f(1) = f(-1) = 0.
Thus f(x) satisfies all the conditions of Rolle’s Theorem.
So there exists a point c ∈ ] - 1, 1[ such that f'(c) = 0
Clearly f’(c) = 0 for c = 0 ∈ ] - 1, 1[.
Hence the given function satisfies the hypothesis and the conclusion of Rolle’s Theorem.

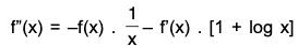
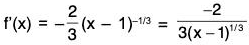
Example: Examine the validity of the hypotheses and the conclusion of Rolle’s theorem for the function f(x) = 1 - (x - 1)2/3 on [0, 2].

The given function, being an algebraic function of x is continuous in [0, 2].
Now Functions of One Variable - II | Mathematics for Competitive Exams
⇒ f’(x) does not exist at x = 1 ⇒ f is not derivable at x = 1
⇒ f is not derivable in ]0, 2[.
But f(0) = f(2) = 0.
Hence f does not satisfy all the conditions of Rolle’s theorem. Clearly, the conclusion of Rolle’s theorem is not valid for the given function.

Example: Show that between any two roots of ecos x = 1, there exists at least one root of ex sin x - 1 = 0.

Let α and β be any two distinct roots of ex cos x = 1. ...(1)
∴ eα cos α = 1 and eβ cos β = 1.
Define a function f as follows :
f(x) = e-x - cos x, ∀ x ∈ [α, β]. ...(2)
Obviously f is continuous in [α, β] and f is derivable in ]α, β[.
Indeed, f’(x) = - e-x + sin x ∀ x ∈ ]α, β[.
From (2), Functions of One Variable - II | Mathematics for Competitive Exams
Similarly, f(β) = 0 and so f(α) = f(β).
Thus f satisfies all the conditions of Rolle's Theorem in [α, β] and so there exists some γ ∈ ]α, β[ such that f(γ) = 0.
⇒ sin γ - e = 0 ⇒ eγ sin γ - 1 = 0, α < γ < β.
Hence γ is a root of ex sin x - 1 = 0, α < γ < β.

Example: Prove that between any two real roots of ex sin x = x, there is at least one root of cos x + sin x = e-x.

Let x = α, x = β be any two distinct roots of ex sin x = x.
∴ eα sin α = α and eβ sin β = β. ...(1)
Define a function f on [α, β] as follows :
f(x) = ex sin x - x ∀ x ∈ [α, β]. ...(2)
Clearly, (i) f continuous in [α, β], (ii) f is derivable in ]α, β[ and f(α) = 0 = f(β),. by (1). Hence by Rolle’s theorem, there exists some γ ∈ ]α, β[ i.e.,α  < γ < β such that f’(γ) = 0. ...(3)
From (2), f’(x) = ex sin x + ex cos x - 1
⇒ f’(g) = eγ (sin γ + cos γ) - 1
∴ eγ (sin γ + cos γ) - 1 = 0, using (3)
or sin γ + cos γ = 1/eγ = e, α < γ < β.
Hence γ is a root of sin x + cos x = e-x, where α < γ < β.

Example: If p(x) is polynomial and k ∈ R, prove that between any two real roots of p(x) = 0, there is a roots of p’(x) + k p(x) = 0.

Let f(x) = ekx p(x), x ∈ R. ...(1)
Let α and β be any two real roots of p(x), where α < β. Then p(α) = 0 = p(β) f(α) = 0 = f(β), by (1).
Obviously, (i) f is continuous in [α, β], (ii) f is derivable in ]α, β[ and (iii) f(α) = f(β). Hence, by Rolle’s theorem, there exists some γ ∈ ]α, β[ such that f’(γ) = 0.
From (1), f(x) = k ekx p(x) + ekx p’(x) = ekx [p’ (x) + kp (x)].
∴ 0 = f (γ) = e [p' (γ) + k p (γ)]
⇒ p’(γ) + k p(γ) = 0, as e ≠ 0.
Hence γ is a root of p’(x) + kp (x) = 0, where α < γ < β.

Mean Value Theorem

Lagrange’s Mean Value Theorem

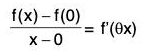
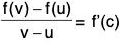
Statement : If a function f with domain [a, b] is such that it is
[L1] continuous in [a, b], and  
[L2] differentiable in (a, b),
then ∃ c ∈ (a, b) such that:
Functions of One Variable - II | Mathematics for Competitive Exams
Proof : Let us define a new function φ with domain [a, b] involving the given function f(x) as follows :
φ(x) = f(x) + Ax ...(1)
where A is a constant to be determined such that φ(a) = φ(b) ...(2)
⇒ f(a) + Aa = f(b) + Ab
Functions of One Variable - II | Mathematics for Competitive Exams ...(3)
We observe that the function φ is also defined on [a, b] and is the sum of two continuous functions on [a, b] and differentiable in (a, b), therefore φ is :
R1. φ,[a, b] is continuous in [a, b]
R2. φ,(a, b) is differentiable in (a, b)
and R3. φ,(a) = φ,(b) [by the condition of constant]
Thus φ satisfies all the three conditions of Rolle’s theorem, therefore accordingly, there must be atleast one point c in (a, b) such that
φ'(c) = 0
⇒ f'(c) + A = 0 ⇒ f ’(c) = - A
Functions of One Variable - II | Mathematics for Competitive Exams a < c < b [by (3)]

Important Particular Case : If f(a) = f(b), then it reduces to Rolle’s theorem.

Geometrical Interpretation of Lagrange’s MV Theorem:

If a curve y = f(x) is continuous between two given points whose abscissae are x = a and x = b respectively and a tangent can be drawn to the curve at every point, then there exists atleast one point x = c, c ∈ (a, b) such that the tangent there at is parallel to the chord joining the two given end points.
Let the arc APB represents the graph of the function y = f(x) and a and b be the ordinates of A and B respectively. Join AB. Draw perpendiculars from A and B on x-axis. Let the chord AB makes an angle ψ with the x-axis, then from the right angled triangle ACB,
Functions of One Variable - II | Mathematics for Competitive Exams
Functions of One Variable - II | Mathematics for Competitive Exams

Another Useful Form

Statement : A function f defined on [a, a + h] is such that it is :

  1. Continuous in [a, a + h];
  2. Differentiable in (a, a + h)

then ∃ θ ∈ (0, 1) such that :
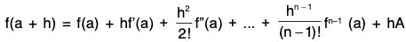
f(a + h) - f(a) = h f' (a + θh).
If we put b - a = h or b = a + h in Lagrange’s MV theorem, then any point c can be taken as c = a + θ h between a and b, where 0 < θ < 1.
Therefore by Lagrange MVT, we have
Functions of One Variable - II | Mathematics for Competitive Exams
⇒ f(a + h) - f(a) = h f(a + θh), 0 < θ < 1.

Important Deduction from Lagrange’s MV Theorem :

Theorem : If a function f is

  1. continuous in [a, b]
  2. differentiable in (a, b), ∀ x ∈ (a, b), then
    (a) f’(x) = 0 ⇒ f is a constant function in (a, b).
    (b) f’(x) > 0 ⇒ f is strictly increasing in [a, b].
    (c) f’(x) < 0 ⇒ f is strictly decreasing in [a, b].

If the derivatives of two functions at every point of the interval (a, b) is same, then the functions differ by a constant.

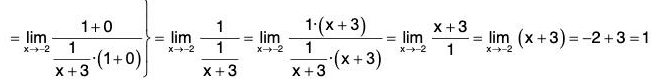
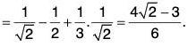
Example: Verify Lagrange’s Mean Value Theorem for the function f(x) = Functions of One Variable - II | Mathematics for Competitive Exams in [2, 4].

The function f(x) = Functions of One Variable - II | Mathematics for Competitive Exams s an algebraic function of x, so f is continuous in [2, 4]. Also f is derivable in ]2, 4[.
Now Functions of One Variable - II | Mathematics for Competitive Exams
Since f satisfies all the conditions of Lagrange’s mean value theorem, therefore, there exists some c ∈ ]2, 4[ such that
Functions of One Variable - II | Mathematics for Competitive Exams
Functions of One Variable - II | Mathematics for Competitive Exams
Functions of One Variable - II | Mathematics for Competitive Exams
Obviously, c = √6 ∈ ]2, 4[.

Hence the Lagrange’s mean value theorem is verified.

Example: Verify Lagrange’s Mean Value Theorem for the function f(x) = x (x -1)(x -2) in [0, 1/2]

Since f is a polynomial, f is continuous in [0, 1/2] and derivable in ]0, 1/2[. Thus there exists c ∈ ]0, 1/2[ such that
Functions of One Variable - II | Mathematics for Competitive Exams ...(1)
Now f’(x) = (x - 1) (x - 2) + x(x - 1) + x(x - 2)
or f ’(x) = 3x2 - 6x + 2. Now f(0) = 0, f(1/2) = 3/8.
From (1), 3/8 = 1/2(3c2 - 6c + 2)
or 12c2 - 24c + 5 = 0 or c = Functions of One Variable - II | Mathematics for Competitive Exams
NowFunctions of One Variable - II | Mathematics for Competitive Exams
Thus Functions of One Variable - II | Mathematics for Competitive Exams and the theorem is verified.

Example: Let f be defined and continuous in [a - h, a + h] and derivable in ]a - h, a + h[. Prove that there is a real number θ between 0 and 1 such that f(a + h) - f(a - h) = h[f’(a + θh) + f’(a - θh)].

Define φ(x) = f(a + hx) - f(a - hx) on [0, 1]. ...(1)
∴ φ’(x) = hf' (a + hx) + hf' (a - hx). ...(2)
As x varies over [0, 1], a + hx varies over [a, a + h] and a - hx varies over [a - h, a]. Thus

  1. φ is continuous in [0, 1].
  2. φ is derivable in ]0, 1[.

By Lagrange's mean value theorem, there exists θ, 0 < θ < 1, satisfying
Functions of One Variable - II | Mathematics for Competitive Exams φ’(θ) or φ(1) - φ(0) = φ’(θ).
Hence f(a + h) - f(a - h) = h [f' (a + θh) + f’(a - θh)], by (1) and (2).

Example: Let f be defined and continuous on [a - h, a + h] and derivable on ]a - h, a + h[. Prove that there is real number θ between 0 and 1 for which f(a + h) - 2f(a) + f(a - h) = h[f(a + θh) - f(a - θh)].

Consider φ(x) = f(a + hx) + f(a - hx) on [0, 1].
Then (i) φ is continuous in [0, 1], (ii) φ is derivable in ]0, 1[. So by Lagrange’s mean value theorem.
Functions of One Variable - II | Mathematics for Competitive Exams for some θ ∈ ]0, 1[ 

or φ(1) - φ(0) = φ(θ)
or [f(a + h) + f(a - h)] - [f(a) + f(a)] = h[f'(a + θh) - f'(a - θh)].
Hence f(a + h) - 2f(a) + f(a - h) = h[f'(a + θh) - f'(a - θh)].

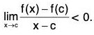
Example: Prove that if f be defined for all real x such that | f(x) - f(y) | < (x - y)2 for all real x and y, then f is constant.

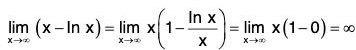
Let c ∈ R. For x ∈ c, we have
Functions of One Variable - II | Mathematics for Competitive Exams using (1).
If ε > 0, then on choosing δ = ε, we obtain
Functions of One Variable - II | Mathematics for Competitive Exams when |x - c| < δ.
Functions of One Variable - II | Mathematics for Competitive Exams
Thus f’(x) = 0 ∀ x ∈ R.
Hence f is a constant function.

Example: Use mean value theorem to prove that 1 + x < ex < 1 + xex, ∀ x > 0.

We shall apply Lagrange’s mean value theorem to the function f(x) = ex in the interval [0, x]. The function f(x) = ex is derivable in [0, x] and, therefore, there exists some c, 0 < c < x, such that
Functions of One Variable - II | Mathematics for Competitive Exams ...(1)
Since 0 < c < x, so 1 = e° < ec < ex. ...(2)
From (1) and (2), 1 < (1/x) (ex - 1) < ex or x < ex - 1 < xex. (∵ x > 0)
Hence 1 + x < ex < 1 + xex ∀ x > 0.

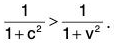
Example: Show that Functions of One Variable - II | Mathematics for Competitive Exams tan-1 v - tan-1 u Functions of One Variable - II | Mathematics for Competitive Exams if 0 < u < v, and deduce that Functions of One Variable - II | Mathematics for Competitive Exams

Applying Lagrange’s mean value theorem to the function
f(x ) = tan-1 x in [u, v], we obtain
Functions of One Variable - II | Mathematics for Competitive Exams for some c ∈ ] u, v [
or Functions of One Variable - II | Mathematics for Competitive Exams for u < c < v. ...(1)
Now c > u ⇒ 1 + c2 > 1 + uFunctions of One Variable - II | Mathematics for Competitive Exams ...(2)
Again c < v ⇒ 1 + c2 < 1 + v2Functions of One Variable - II | Mathematics for Competitive Exams ...(3)
From (1), (2), (3) ; we obtain
Functions of One Variable - II | Mathematics for Competitive Exams
Hence Functions of One Variable - II | Mathematics for Competitive Exams ...(4) (∵ u < v ⇒ v - u > 0)
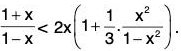
Taking u = 1 and v = 4/3 in (4), we obtain
Functions of One Variable - II | Mathematics for Competitive Exams

or Functions of One Variable - II | Mathematics for Competitive Exams
Hence Functions of One Variable - II | Mathematics for Competitive Exams

Example: Prove that |tan-1 x - tan-1 y| ≤ |x - y| ∀ x, y ∈ R.

Let f(t) = tan-1 t in [x, y], where x < y.
By Lagrange’s mean value theorem, there exists some c ∈ ]x, y[ such that f(y) - f(x) = (y -x) f'(x).
or f(y) - f (x) = (y - x). 1/(1+c2)Functions of One Variable - II | Mathematics for Competitive Exams
∴ f(y) - f(x) ≤ (y - x).
Similarly, f(x) - f(y) ≤ (x - y), when y < x.
∴ |f(x) - f(y)| = |x - y|.
Hence, |tan-1 x - tan-1 y|≤|x - y| ∀ x, y ∈ R.

Example: Let f be differentiable on an interval I and suppose that fs is bounded on I. Prove that f is uniformly continuous on I.

Let x1, x2 be any two arbitrary points of I with x1 < x2. Suppose f’(x) is bounded on I, there exists some k > 0 such that
|f'(x)| ≤ k ∀ x ∈ |. ...(1)
Applying Lagrange’s mean value theorem to f on [x1, x2], we get
Functions of One Variable - II | Mathematics for Competitive Exams for some c ∈ ]x1, x2[
or | f(x2) - 1(x1) | = | x2 - x1 | | f’(c) | ≤ k I x2 - x1 I, by (1).
Let ε > 0 be given and let δ = ε/k > 0. Then | f(x2) - f(x1) | < ε, when | x2 - x1 | < δ, ∀ x1, x2 ∈ |.
Hence f is uniformly continuous on I.

Second Mean Value Theorem :

Cauchy’s Mean Value Theorem : Statement:
If two functions f and g with domain [a, b] are such that both are
[C1] continuous in [a, b]
[C2] differentiable in (a, b), and
[C3] g’(x) ≠ 0 ∀ x ∈(a, b) then ∃ c ∈ (a, b) such that:
Functions of One Variable - II | Mathematics for Competitive Exams

Proof. First we notice that g(b) ≠ g(a)
Let, if g(b) = g(a), then g would satisfy all the conditions of Rolle’s theorem, particularly [R3], then by the theorem, ∃ c ∈(a, b), where g’(c) = 0 which contradicts the condition [C3].
Therefore our assumption g(a) = g(b) is false.
Hence g(a) ≠ g(b) ...(1)
Now define a new function φ, with domain [a, b] involving the given functions f and g as follows: φ(x) = f(x) + A g(x), ...(2)
where A is a constant to be determined such that φ(a) = φ(b)
or, f(a) + A f(b) = g(a) + A g(b) [by (2)]
Functions of One Variable - II | Mathematics for Competitive Exams ...(3)
which exists because g(b) ≠ g(a).
Hence the function φ is expressed as sum of two continuous and derivable functions, therefore φ is :

  1. continuous on [a, b]
  2. differentiable on (a, b) and
  3. φ(a) = φ(b) [by A of (3)]

Thus the given function φ satisfies all the three conditions of Rolle’s theorem. Therefore Rolle’s theorem is applicable and accordingly there must be atleast one point x = c in (a, b), where φ'(c) = 0.
∴ φ’(c) = f’(c) + A g'(c) = 0
Functions of One Variable - II | Mathematics for Competitive Exams ...(4)
By (3) and (4), Functions of One Variable - II | Mathematics for Competitive Exams Hence Proved.

Important Special Case

When g(x) = x, it reduces to Lagrange’s MV Theorem.

Geometrical interpretation of Cauchy’s Mean value Theorem

Statement : There is an ordinate x = c between x = a and x = b such that the tangents at the points where x = c cut the graph of the function f(x) and Functions of One Variable - II | Mathematics for Competitive Exams are mutually parallel.

Another useful form of Cauchy’s Mean Value Theorem:

Statement: If two functions f(x) and g(x) with domain [a, a + h] are such that both are:

  1. Continuous in [a, a + h],
  2. Differentiable in (a, a + h), and
  3. g’(x) ≠ 0, x ∈ (a, a + h)

then ∃ θ ∈ (0, 1) such that :
Functions of One Variable - II | Mathematics for Competitive Exams
If we put b = a + h, then any point c = a + θh , 0 < θ < 1 may be taken in the interval [a, a + h].

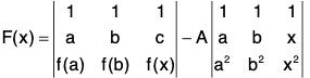
Generalised Mean Value Theorem

If three functions f, g and h defined in [a, b] are such that

  1. f, g and h are continuous in [a, b]
  2. f, g and h are derivable in ]a, b[.

Then there exists a real number c ∈ ]a, b[ such that

Functions of One Variable - II | Mathematics for Competitive Exams

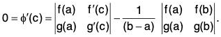
Proof. Define a function ψ on [a, b] as follows :

Functions of One Variable - II | Mathematics for Competitive Exams

or y(x) = A f(x) + B g(x) + C h(x), ...(iii)
where A = g(a) h(b) - h(a) g(b) etc., B and C are constants.

Applying given conditions (i) and (ii) in (iii), it follows that y is continuous in [a, b] and derivable in ]a, b[.
Also ψ(a) = 0 = ψ(b). (∵ two rows in ψ(x) become identical by putting x = a and x = b)
So ψ(a) = φ(b).
Thus ψ satisfies all the conditions of Rolle’s theorem and, therefore, there exists some c ∈ ]a, b[ such that ψ’(c) = 0.
Now Functions of One Variable - II | Mathematics for Competitive Exams
Hence Functions of One Variable - II | Mathematics for Competitive Exams

Remarks 1. If we take g(x) = x and h(x) = 1 in the Generalised Mean Value Theorem, we obtain Lagrange’s mean value theorem.
2. If we take h(x) = 1 in the Generalised Mean Value Theorem we obtain Cauchy’s mean value theorem.

Example : Verify the Cauchy’s mean value theorem for :
(i) f(x) = x2, g(x) = x3 in [1, 2].
(ii) f(x) = sin x, g(x) = cos x in [-π/2, 0]
(iii) f(x) = ex, g(x) = e-x in [0, 1].

(i) Clearly f(x) = x2, g(x) = x3 are continuous in [1, 2] and derivable in ]1 , 2[. Further g’(x) = 3x2 ≠ 0 ∀ x ∈]1, 2[. Thus the conditions of the Cuachy’s mean value theorem are satisfied and so there exists some point c ∈]1, 2[ such that
Functions of One Variable - II | Mathematics for Competitive Exams
or Functions of One Variable - II | Mathematics for Competitive Exams
or Functions of One Variable - II | Mathematics for Competitive Exams
Hence Cauchy’s mean value theorem is verified.

(ii) Clearly f(x) = sin x, g(x) = cos x are continuous in [-π/2, 0] and derivable in ] -π/2, 0[. Further g’(x) = - sin x ≠ 0 for all x ∈ ] -π/2, 0 [. Thus the conditions of the Cauchy’s mean value theorem are satisfied and so there exists some point c ∈ ] - π/2, 0 [ such that
Functions of One Variable - II | Mathematics for Competitive Exams
or tan c = -1, which gives c = - π/4 ∈ ] - π/2, 0[.
Hence Cauchy's mean value theorem is verified.

(iii) Clearly f(x) = ex and g(x) = e-x satisfy the conditions of the Cauchy’s mean value theorem and so there exists some c ∈ ]0, 1[ such that Functions of One Variable - II | Mathematics for Competitive Exams
or Functions of One Variable - II | Mathematics for Competitive Exams
or 2c = 1 or c = 1/2 ∈]0, 1[.
Hence Cauchy's mean value theorem is verified.

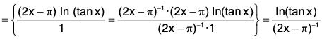
Example : Show that Functions of One Variable - II | Mathematics for Competitive Exams

Let f(x) = sin x, g(x) = cos x ∀ x ∈ [α, β] and derivable in ]α, β[.
Further g’(x) = - sin x ≠ 0 ∀ x ∈ ]a, b[ ∈ ]0, π/2[.
By Cauchy’s mean value theorem,
Functions of One Variable - II | Mathematics for Competitive Exams
i e., Functions of One Variable - II | Mathematics for Competitive Exams
Hence Functions of One Variable - II | Mathematics for Competitive Exams

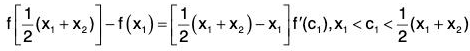
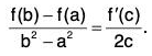
Example : Let the function f be continuous in [a, b] and derivable in ]a, b[. Show that there exists a number c in ]a, b[ such that 2c [f(a) - f(b)] = f’(c) [a2 - b2].

Let g(x) = x2 ∀ x ∈ [a, b], a < b.
Then f and g are continuous in [a, b] and derivable in ]a, b[. Further g’(x) = 2x ∉ ]a, b[. By Cauchy’s mean value theorem,
Functions of One Variable - II | Mathematics for Competitive Exams
i.e., Functions of One Variable - II | Mathematics for Competitive Exams
Hence 2c [f(a) - f(b)] = f(c) [a2 - b2], c ∈ ]a, b[

Example : If f and g’ exist for all x ∈ [a, b] and if g’(x) ≠ 0 ∀ x ∈ ]a, b[, then prove that for some c ∈ ]a, b[
Functions of One Variable - II | Mathematics for Competitive Exams

Define a function ψ on [a, b] as follows :
ψ(x) = f(x) g(x) - f(a) g(x) - g(b) f(x), ∀ x ∈ ]a, b[.
Since f and g are derivable in [a, b], so ψ is continuous in [a, b] and derivable in ]a, b[.
Also ψ(a) = ψ(b) = -f(a) g(b).
Since ψ satisfied all the conditions of Rolle’s Theorem, therefore, there exists some c ∈ ]a, b[ such that ψ’(c) = 0. We have
ψ’(x) = f'(x) g(x) + f(x) g’(x) - f(a) g’(x) - g(b) f'(x).
∴ ψ'(c) = 0 gives us
f’(c) g(c) + f(c) g’(c) - f(a) g’(c) - g(b) f(c) = 0
or g’(c) (f(c) - f(a} = f’(c) (g(b) - g(c)}.
Hence Functions of One Variable - II | Mathematics for Competitive Exams

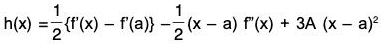
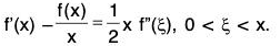
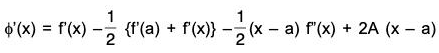
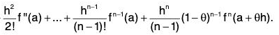
Example : If a function f is such that its derivative f’ is continuous on [a, b] and derivable on ]a, b[, then show that there exists a number c between a and b such that f(b) = f(a) + (b - a) f'(a) + 1/2(b - a)2f"(c).

Define a function φ on [a, b] as follows :
φ(x) = f(b) - f(x) - (b - x) f'(x) - (b - x)2 A, ...(1)
where A is a constant to be determined by
φ(a) = φ(b) ...(2)
i.e., f(b) - f(a) - (b - a) f (a) - (b - a)2 A = 0
i.e., f(b) = f(a) + (b - a) f (a) + (b - a)2 A. ...(3)
Since f is continuous on [a, b], so f is also continuous on [a, b].
Also (b - x), (b - x)2 are continuous on [a, b].
Thus by (1), φ is continuous.
Thus φ satisfies the conditions of Rolle’s Theorem and so there exists some point c ∈ ]a, b[ such that φ’(c) = 0. ...(4)
From (1), φ’(x) = - f'(x) - {-f(x) + (b - x) f"(x)} + 2(b - x)A
or φ’(x) = - (b - x) f”(x) + 2(b - x) A. ...(5)
∴ f ’(c) = 0 ⇒ - (b - c) f'’(c) + 2(b - c) A = 0
⇒ A = 1/2f"(c), since a < c < b ⇒ b - c ≠ 0.
Substituting this value of A in (3), the result is proved.

Example : If f is continuous on [a, a + h] and derivable on ] a, a + h [, then prove that there exists a real number c between a and a + h such that f(a + h) = f(a) + hf’(a) +h2/2 f" (c).

Define a function φ on [a, a + h] as follows:
φ(x) = f(x) + (a + h - x) f'(x) + 1/2(a + h - x)2 A. ...(1)
where A is a constant to be determined by φ(a) = φ(a + h)
i.e., f(a) + hf’(a) + h2/2 A = f(a + h). ...(2)
Since f is continuous on [a, a + h], f and F are continuous on [a, a + h]. Further (a + h - x), (a + h - x)2 are also continuous on [a, a + h] and so by (1), φ is continuous on [a, a + h]. Since f is derivable on ]a, a + h[, so by (1), φ is derivable on ]a, a + h[. Thus φ satisfies all the conditions of Rolle’s Theorem and so there exists some c ∈ ] a, a + h [ such that
∴ f’(c) = 0 ...(3)
From (1), φ’(x) = f'(x) - f'(x) + (a + h - x) f"(x) - (a + h - x) A.
∴ 0 = φ’(c) = (a + h - c) [f’(c) - A] ...(4)
⇒ f"(c) - A = 0, since c ∈ ]a, a + h[ means a + h - c ≠ 0.
Putting A = f”(c) in (2), we obtain
f(a + h) = f(a) + h f'(a) + 1/2 h2f"(c).

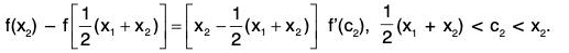
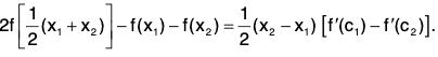
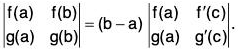
Example : Let f and g be two functions defined and continuous on [a, b] and derivable on (a, b). Show that there exists some c ∈ (a, b) such that
Functions of One Variable - II | Mathematics for Competitive Exams

We define a function φ on [a, b] as follows :
Functions of One Variable - II | Mathematics for Competitive Exams...(1)
By the given hypothesis, φ is continuous on [a, b] and derivable on (a, b). Also φ(a) = 0 = φ(b). Thus φ satisfies the conditions of Rolle’s theorem and so there exists some point c ∈ (a, b) such that φ’(c) = 0.
From (1), we have
Functions of One Variable - II | Mathematics for Competitive Exams
Functions of One Variable - II | Mathematics for Competitive Exams
Hence Functions of One Variable - II | Mathematics for Competitive Exams

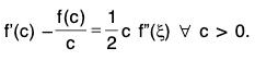
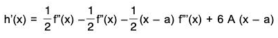
Example : If f” be continuous on [a, b] and derivable on ]a, b[, then prove that

Functions of One Variable - II | Mathematics for Competitive Exams for some real number d between a and b

Define a function g on [a, b] as follows ;
g (x ) = f(x) - f(a) - (1/2)(x - a) {f'(a) + f'(x)} + A (x - a)3,

where A is a constant to be suitably chosen.
Since f” is continuous on [a, b], so f and f are continuous on [a, b].
Thus g is continuous on [a, b].
Similarly, g is derivable on ]a, b[.
Let A be chosen such that g(a) = g(b).
∴ 0 = f(b) - f(a) - 1/2(b-a) {f'(a) + f(b)} + A (b - a)3. ...(1)
Since the function g satisfies all the conditions of Rolle’s theorem [a, b], therefore, there exists a real number c between a and b such that
g’(c) = 0
We have g'(x) = f'(x) - (1/2){f'(a) + f'(x)} - 1/2(x-a)f"(x) + 3A (x-a)2
or g'x = 1/2{f'(x) - f'(a)} - 1/2 (x - a)f"(c) + 3A(c - a)2 = 0.
Thus g’(c) = 0 implies that
1/2{f'(c) - f'(a)} - 1/2(c-a)f"(c) + 3A(c-a)2 = 0. ...(2)
Let h be a function defined on [a, b] as follows :
Functions of One Variable - II | Mathematics for Competitive Exams ...(3)
Then (i) h is continuous on [a, c],
(ii) h is derivable on ]a, c[,
(iii) h(c) = 0 and h(a) = 0, by (2) and (3); so that h(a) = h(c).
Since the function h satisfies all the conditions of Rolle’s theorem it [a, c], therefore, there exists a real number d(a < d < c < b), such that
h'(d) = 0.
From (3), Functions of One Variable - II | Mathematics for Competitive Exams
∴ 0 = h'(d) = -(1/2)(d-a)f"(d) + 6A (d-a).
i.e., A = f”’(d)/12, since (d - a) ≠ 0. ...(4)
From (1) and (4), we have
Functions of One Variable - II | Mathematics for Competitive Exams

Example : Assuming that f”(x) exists for all x in [a, b], show that Functions of One Variable - II | Mathematics for Competitive Exams ...(1)
where c and ξ both lie in [a, b].

The equation (1) can be rewritten as
f(c)(b-a) -f(a)(b-c) -f(b)(c-a) - 1/2(b-a)(c-a)(c-b)f"ξ = 0
or f(a)(c-b) -f(c-a) -f(c)(b-a) - 1/2(a-b)(b-c)(c-a)f"ξ = 0
or Functions of One Variable - II | Mathematics for Competitive Exams ...(2)
We shall prove (2) instead of (1).
The relation (2) helps us to define a function F(x) on [a, b] as follows:
Functions of One Variable - II | Mathematics for Competitive Exams ...(3)
where A is a constant such that F(c) = 0. ...(4)
From (3), F(a) = 0, F(b) = 0.
Thus F(a) = F(c) and F(c) = F(b), a < c < b. ...(5)
Since f” exists in [a, b], therefore, f and f are derivable and continuous in [a, b]l an hence derivable on continuous in each of the intervals [a, c] and [c, b]. From (3) and (5), it follows that F satisfies the conditions of Rolle’s theorem in each of the intervals [a, c] and [c, b]. Consequently,
Functions of One Variable - II | Mathematics for Competitive Exams
and Functions of One Variable - II | Mathematics for Competitive Exams
From (3), Functions of One Variable - II | Mathematics for Competitive Exams ...(6)
As stated earlier, f is derivable and continuous in [a, b]. So by (6), F’ is derivable and continuous in [ξ1, ξ2] ⊂ [a, b] and F’(ξ1) = F’(ξ2). Thus F’ satisfies the conditions of Rolle’s theorem in [ξ1, ξ2] and so there exists x ∈ ]x1, x2[ c: [a, b] such that
F"ξ = 0
From (6), F”(x) = Functions of One Variable - II | Mathematics for Competitive Exams
= f”(x)(b - a) - 2A (b - a)
∴ F"(ξ) = 0 ⇒ f"(ξ)-2A = 0 ⇒ A = -(1/2)f"(ξ). (∵ a≠b)
Substituting A = 1/2f"(ξ) in F(c) = 0 and using (3), we obtain
Functions of One Variable - II | Mathematics for Competitive Exams
which proves (2).

Example : If f(0) = 0 and f”(x) exists on [0, ∞[, show that
Functions of One Variable - II | Mathematics for Competitive Exams ...(1)
and deduce that if f (x) is positive for positive values of x, then f(x)/x strictly increases in ]0, ∞[.

The relation (1) can be written as
f(x) - xf'(x) + (1/2)x2f"(ξ) = 0.
Define a function F as follows :
F(x) = f(x) - x f'(x) + (1/2)Ax2, ...(2)
where A is a constant such that F(c) = 0, where c > 0.
We have F(0) = f(0) = 0 and F(c) = 0. ∴ F(0) = F(c).
Thus F satisfies the conditions of Rolle’s theorem on [0, c].
Therefore, there exists ξ, such that 0 < ξ < c and F’(ξ) = 0.
From (2) F’(x) = - x f"(x) + Ax.
∴ F’(x ) = 0 ⇒ A = f"(ξ).
From (2), F(c) = 0 ⇒ f(c) - cf’(c) + (1/2)Ac2 = 0
Functions of One Variable - II | Mathematics for Competitive Exams
Hence Functions of One Variable - II | Mathematics for Competitive Exams
(ii) Let G(x) = f(x)/x, whenever x > 0.
Functions of One Variable - II | Mathematics for Competitive Exams
Thus G’(x) > 0 ∀ x > 0. ...(3)
If x1 and x2 be any two positive real numbers such that x2 > x1, then by applying Lagrange’s mean value theorem to G in [x1, x2], we get
G(x2) - G(x1) = (x2 - x1) G’(θ), θ ∈ ]x1, x2[
Since G’ (θ) > 0, by (3), and x2 - x, > 0, so
G(x2) - G(x1) > 0 i.e ., G(x2) > G (x1) for x2 > x1 > 0.
Hence G(x) = f(x)/x is strictly increasing in ]0, ∞[.

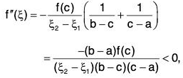
Example : A twice differentiable function f is such that f(a) = f(b) = 0 and f(c) > 0 for a < c < b. Prove that there is at least one value ξ between a and b for which f"(ξ) < 0.

Since f” exists in [a, b), therefore f and f both exist and are continuous in [a, b] and as well as in [a, c] and [c, b], since a < c < b. Applying Lagrange’s mean value theorem to f on [a, c] and [a, b], we get
Functions of One Variable - II | Mathematics for Competitive Exams
and Functions of One Variable - II | Mathematics for Competitive Exams respectively.
Since f(a) = f(b) = 0, the above relationship become
Functions of One Variable - II | Mathematics for Competitive Exams ...(1)
Since f ’ is continuous and derivable on [ξ1, ξ2] so on applying Lagrange’s mean value theorem off’ on [ξ1, ξ2], we obtain
Functions of One Variable - II | Mathematics for Competitive Exams ...(2)
From (1) and (2), we get
Functions of One Variable - II | Mathematics for Competitive Exams
since f(c) > 0, a < c < b and ξ< ξ2.
Hence f"( ξ) < 0 for some a <  ξ < b.

Example : If f ” be defined on [a, b] and if |f ’(x)| ≤ M for all in [a, b], then prove that |f(b) - f(a) - 1/2 (b - a) (f(a) + f(b)}| ≤ (1/2)(b-a)2M.

Define a function φ on [a, b] as follows :
φ(x) = f(x) - f(a) - (1/2)x-a {f'(a) + f'(x)} + A(x-a)2, ...(1)
where A is a constant to be chosen such that φ(b) = 0 ...(2)
i.e., f(b) - f(a) -(1/2)(b-a){f'(a) + f'(b)} + A(b-a)2 = 0. ...(3)
Since f” is defined on [a, b], so f and f are both derivable on [a, b] i.e., φ is derivable on [a, b] and so φ is continuous on [a, b].
From (1) and (2), φ(a) = 0, φ(b) = 0 and so φ(a) = φ(b)
By Rolle’s Theorem, there exists some c ∈ ]a, b[ such that
φ'c = 0
From (1) Functions of One Variable - II | Mathematics for Competitive Exams
∴ φ’(c) = 0 ⇒ f’(c) - f'(a) - (c - a) f"(c) + 4 A(c - a) = 0. ...(4)
Applying Lagrange’s Mean Value Theorem to f on [a, c], we obtain
f(c) - f(a) = (c - a) f"(d) for some d ∈ ]a, c[.
Substituting in (4), we obtain
f”(d) - f"(c) + 4 A = 0 ⇒ A = 1/4[f"(c) - f"(d)]/
Putting this value of A in (3), we obtain
f(b) - f(a) - 1/2(b-a){f'(a) + f'(b)} = 1/4(b-a)2[f"(d)-f"(c)].
Hence | f(b) - f(a) - (1/2)(b-a){f'(a)+f'(b)}|
≤ (1/4)(b-a)2[|f"(d)| + |f"(c)|]
≤ (1/4)(b-a)(M+M) {∵ | f"(x)| ≤ M ∀ x ∈ [a, b]}
= (1/4) b-a)2M.

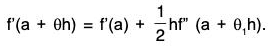
Example : Show that ‘0’ which occurs in the Lagrange's mean value theorem tends to the limit 1/2 as h → 0, provided f” is continuous.

We may take f” to be continuous in [a, a + h].
So by Example we have
f(a + h) = f(a) + hf’(a) + (h2/2)f"(a + θ1h), where 0 < θ1 < 1. ...(1)
Applying Lagrange’ mean value theorem to f in [a, a + h], we get
f(a + h) - f(a) = hf'(a + θh), 0 < θ < 1. ...(2)
From (1) and (2), we obtain
Functions of One Variable - II | Mathematics for Competitive Exams ...(3)
Applying Lagrange’s mean value theorem to the function f in [a, a + θh], we obtain
f’(a + θh) - f'(a) = θh. f ’’(a + θ2θh), 0 < θ2 < 1. ...(4)
From (3) and (4), we get
Functions of One Variable - II | Mathematics for Competitive Exams
Functions of One Variable - II | Mathematics for Competitive Exams
Functions of One Variable - II | Mathematics for Competitive Exams since f" continuous in [a, a + h].
Hence θ → 1/2 as h → 0.

Example : If f”(x) exists ∀ x ∈ [a, b] and Functions of One Variable - II | Mathematics for Competitive Exams where c ∈ ]a, b[. ...(1)
Then there exists some ξ ∈ ]a, b[ such that f’’(ξ) = 0.

Since f ’(x) exists ∀ x [a, b], therefore, f and f exist in [a, b] and are continuous in [a, b].
Applying Lagrange’s Mean Value Theorem to the function f on each of the interval [a, c] and [c, d], we get
Functions of One Variable - II | Mathematics for Competitive Exams for some ξ1 ∈ ]a, b[,
and Functions of One Variable - II | Mathematics for Competitive Exams for some ξ2 ∈ ]c, b[,
Using (1), it follows that f’(ξ1) = f’(ξ2). Further.
(i) f' is continuous in [ξ1, ξ2],(ii) f’ derivable in ]ξ1, ξ2[and (iii) f'(ξ1) = f’(ξ2). So by Rolle’s Theorem as applied to f’ in [ξ1, ξ2], we obtain
f"(ξ) = 0 for some ξ ∈ ]ξ1, ξ2[ ⊂ ]a, b [.

Example : If f”(x) > 0 for all x ∈ R, then show that
Functions of One Variable - II | Mathematics for Competitive Exams ...(1)
for every pair of real numbers x1 and x2.

Let x1, x2 ∈ R be arbitrary. If x1 = x2, then the given relation (1) because equality and so the result follows. We may suppose that x1 < x2. Since f"(x) exists ∀ x ∈ R, if satisfies the conditions of Lagrange's mean value theorem in each of the intervals Functions of One Variable - II | Mathematics for Competitive Exams Consequently,
Functions of One Variable - II | Mathematics for Competitive Exams
and Functions of One Variable - II | Mathematics for Competitive Exams
On subtracting the corresponding sides of these equations, we get
Functions of One Variable - II | Mathematics for Competitive Exams ...(2)
Since f”(x) exists ∀ x ∈ R, f satisfies the conditions of Lagrange’s mean value theorem in the interval [c1, c2] and so f’(c2) - f'(c1) = (c2 - c1) f”(t), for some t ∈ ]c1, c2[.
As given f”(t) > 0 and c2 > c1, so (c2 - c1) f"(t) > 0.
Thus f'(c2) - f'(c1) > 0 i.e., f’(c1) - f'(c2) < 0.
Also x2 > x1 ⇒ x2 - x1 > 0.
Using these inequalities in (2), we get
Functions of One Variable - II | Mathematics for Competitive Exams
Hence Functions of One Variable - II | Mathematics for Competitive Exams

Example : If f', g ’ are continuous on [a - h, a + h] and derivable on ] a - h, a + h [, then prove that Functions of One Variable - II | Mathematics for Competitive Exams for some d ∈ ] a - h, a + h [, provided g (a + h) - 2g (a) + g (a - h) ≠ 0 and g”(t) ≠ 0 for each t ∈ ] a - h, a + h [.

We define a function φ on [a - h, a + h] as follows :
φ(x) = f(x) + Ag(x) + Bx + C, ...(1)
where A, B, C are constants to be determined by
φ(a - h) = φ(a) = φ(a + h) = 0. ...(2)
Since f and g are continuous on [a - h, a + h] and Bx + C is also continuous on [a - h, a + h], so by (1), φ is continuous on [a - h, a + h]. Similarly, φ is derivable on ]a - h, a + h[. By virtue of (2), φ satisfies all the conditions of Rolle’s theorem in each of the intervals [a - h, a] and [a, a + h]. Consequently.
φ’(t1) = 0, for some t1 ∈ ]a - h, a[,
and φ’(t2) = 0, for some t2 ∈ ]a, a + h[.
For any x ∈ ]a - h, a + h [, we have by (1),
φ’(x) = f(x) + Ag’(x) + B. ...(3)
Since f' and g’ are continuous on [a - h, a + h], so by (3), φ’ is continuous on [a - h, a + h]. Similarly, 'φ' is derivable on ] a - h, a + h [. Also φ'(t1) = φ'(t2) = 0. Applying Rolle’s theorem to φ’ on [ t1, t2], there exists some d ∈ ]t1, t2[ such that φ”(d) = 0 for some d ∈ ] t1, t2 [. Using (3),
f'’(d) + Ag”(d) = 0 ⇒ A = -f'(d)/g” (d). ...(4)
From (2), φ(a+h) -2φ(a) + φ(a-h) = 0
or [f(a + h) - 2 f(a) + f(a - h)] + A[g(a + h) - 2g(a) + g(a - h)] + [B(a + h) + C - 2 (Ba + C) + B(a - h) + C] = 0
or Functions of One Variable - II | Mathematics for Competitive Exams ...(5)
From (4) and (5), we get the desired result.

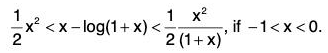
Example : Show that
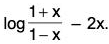
(a) (x/1+x) < log (1 + x) < x, x > 0.
(b) (x - (x2/2)) < log (1 + x) < x - (x2/(2(1+x)), x > 0.
(c) (x2/2(1+x)) < x - log (1 + x ) < (x2/2), x > 0.

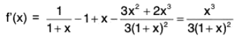
Let f(x) = log (1 + x)-(x/(1+x), so that f(0) = 0.
We shall show that f(x) > 0 for x > 0.
Now, Functions of One Variable - II | Mathematics for Competitive Exams
Thus f(x) is an increasing function ∀ x > 0
⇒ f(x) > f(0), for x > 0
⇒ f(x) > 0, for x > 0 (∵ f(0) = 0)
⇒ log(1 + x) - (x/1+x) >, 0, x > 0
∴ (x/1+x)< log (1 + x), x > 0.
Let φ(x) = x - log (1 + x), so that φ(0) = 0.
Functions of One Variable - II | Mathematics for Competitive Exams for x > 0.
Thus φ(x) is an increasing function of x, for x > 0
⇒ φ(x) > f(0), for x > 0
⇒ φ(x) > 0 (∵ φ(0) = 0)
⇒ x - log (1 + x) > 0, for x > 0
⇒ log (1 + x) < x, for x > 0.
Hence (x/1+x) < log (1 + x) < x, x > 0
(b) Let f(x) = log (1 + x) - (x - (x2/2)), f (0) = 0.
Functions of One Variable - II | Mathematics for Competitive Exams (∵ x > 0)
⇒ f(x) is an increasing function of x, for x > 0 ...(2)
⇒ f(x) > f(0), for x > 0 ⇒ f(x) > 0 (∵ f(0) = 0)
⇒ log (1 + x) - Functions of One Variable - II | Mathematics for Competitive Exams for x > 0
∴ (x - (x2/2)) < log (1 + x), x > 0.
Let Functions of One Variable - II | Mathematics for Competitive Exams - log(1 + x), so that φ(0) = 0.
Functions of One Variable - II | Mathematics for Competitive Exams
Functions of One Variable - II | Mathematics for Competitive Exams (∵ x > 0)
⇒ φ(x) is an increasing function, for x > 0
⇒ φ(x) > φ(0), for x > 0
⇒ f(x) > 0 (∵ f(0) = 0)
Functions of One Variable - II | Mathematics for Competitive Exams - log (1 + x) > 0, for x > 0
∴ log(1 + x) < x- (x2/(2(1+x))), for x > 0
Hence x - (x2/2) < log (1 + x) < - x2(2(1+x), for x > 0
(c) By part (b), we have
Functions of One Variable - II | Mathematics for Competitive Exams
or Functions of One Variable - II | Mathematics for Competitive Exams
Hence Functions of One Variable - II | Mathematics for Competitive Exams

Example : Prove that x < sin-1 x < Functions of One Variable - II | Mathematics for Competitive Exams if 0 < x < 1.

Let f(x) = sin-1 x - x, so that f(0) = 0.
Functions of One Variable - II | Mathematics for Competitive Exams
⇒ f’(x) > 0, for 0 < x < 1
⇒ f is strictly increasing in 0 < x < 1
⇒ f(x) > f(0), for 0 < x < 1 (∵ x > 0)
⇒ f(x) > 0, for 0 < x < 1.
⇒ sin-1 x - x > 0, for 0 < x < 1
⇒ sin-1 x > x, for 0 < x < 1
⇒  x < sin-1 x , for 0 < x < 1.
Let g(x) = Functions of One Variable - II | Mathematics for Competitive Exams- sin-1 x, so that g(0) = 0.
Functions of One Variable - II | Mathematics for Competitive Exams
Functions of One Variable - II | Mathematics for Competitive Exams
⇒ g’(x) > 0, for 0 < x < 1
⇒ g is strictly increasing, for 0 < x < 1
⇒  g(x) > g(0), for 0 < x < 1 (∵ x > 0)
Functions of One Variable - II | Mathematics for Competitive Exams sin-1 x, for 0 < x < 1
⇒ sin-1 x <Functions of One Variable - II | Mathematics for Competitive Exams, for 0 < x < 1.

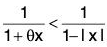
Example : Using Lagrange's mean value theorem, show that x/(1+x) < log (1 + x) < x, x > 0.

Let f(x) = log (1 + x) in [0, x ], so that f'(x) = 1/(1+x).
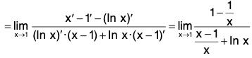
Since f is continuous in [0, x] and derivable in ]0, x[, so by Lagrange’s mean value theorem, there exists some 0, 0 < 0 < 1 such that
Functions of One Variable - II | Mathematics for Competitive Exams (∵ ]0, x [ = ]0 x , 1 x [, c = θx)
or log (1 + x) = x/(1+θx). [∵ f(0) = 0] ...(1)
Now 0 < c < 1 and x > 0 ⇒ θx < x
⇒ 1 + 1 + θx < 1 + x ⇒  Functions of One Variable - II | Mathematics for Competitive Exams
Functions of One Variable - II | Mathematics for Competitive Exams ...(2)
Again 0 < θ < 1 and x > 0 ⇒ y < 1 + θx
Functions of One Variable - II | Mathematics for Competitive Exams ...(3)
From (2) and (3), we obtain
Functions of One Variable - II | Mathematics for Competitive Exams ...(4)
From (1) and (4), we obtain
x/(1+x) < log (1 + x) < x.

Example : Use the mean value theorem to prove Functions of One Variable - II | Mathematics for Competitive Exams < tan-1 x < x, if x > 0.

Let f(x) = tan-1 x in [0, x]
Then f satisfies the conditions of Lagrange’s mean value theorem in [0, x]. Consequently, there exists some θ satisfying 0 < θ < 1 such thatFunctions of One Variable - II | Mathematics for Competitive Exams 
or tan-1 x = Functions of One Variable - II | Mathematics for Competitive Exams ...(1)
Now 0 < θ < 1 and x > 0 ⇒ θ2 x2 < x2 ⇒  1 + θ2 x2 < 1 + x2
Functions of One Variable - II | Mathematics for Competitive Exams ...(2)
Again 0 < θ < 1 and x > 0 ⇒ 1 < 1 + θ2 x2
Functions of One Variable - II | Mathematics for Competitive Exams ...(3)
From (2) and (3), we obtain
Functions of One Variable - II | Mathematics for Competitive Exams ...(4)
From (1) and (4), we obtain
x/(1+x2) < tan-1x < x , x > 0.

Example : Show that Functions of One Variable - II | Mathematics for Competitive Exams

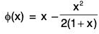
Let f(x ) = x - log (1 + x ) - (1/2)x2, so that f(0) =0.
Functions of One Variable - II | Mathematics for Competitive Exams ...(1)
Now -1 < x < 0 ⇒ x + 1 > 0 . Thus, by (1),
f'(x) < 0, for -1 < x < 0
⇒ f is decreasing for - 1 < x < 0
⇒ f(x) > f(0), for -1 < x < 0
⇒ f(x) > 0 , for - 1 < x < 0
⇒ 1/2(x2) < x- log (1 + x), for - 1 < x < 0.
Let Functions of One Variable - II | Mathematics for Competitive Exams so that g(0) = 0.
Functions of One Variable - II | Mathematics for Competitive Exams
⇒ g’(x) < 0, for -1 < x < 0
⇒ g is decreasing, for -1 < x < 0
⇒ g(x) > g(0), for -1 < x < 0
⇒ g(x) > 0, for -1 < x < 0
⇒ x - log(1 + x) Functions of One Variable - II | Mathematics for Competitive Exams  -1 < x < 0

Example : Prove that Functions of One Variable - II | Mathematics for Competitive Exams

Let f(x) = log(1 + x) - Functions of One Variable - II | Mathematics for Competitive Exams
Functions of One Variable - II | Mathematics for Competitive Exams
⇒ f’(x) > 0, for x > 0
⇒ f is increasing, for x > 0
⇒ f(x) > f(0), for x > 0
⇒ f(x) > 0 (∵ f(0) = 0)
Functions of One Variable - II | Mathematics for Competitive Exams
Let Functions of One Variable - II | Mathematics for Competitive Exams
∴ g’(x) = 1 - x + x2 - Functions of One Variable - II | Mathematics for Competitive Exams
⇒ g’(x) > 0, for x > 0
⇒ g is increasing, for x > 0
⇒ g(x) > g(0), for x > 0
⇒ g (x) > 0 (∵ g(0) = 0)
⇒ log (1 + x) < x - Functions of One Variable - II | Mathematics for Competitive Exams

Example: If 0 < x < 1, show that 2x < log Functions of One Variable - II | Mathematics for Competitive Exams

Let f(x) = Functions of One Variable - II | Mathematics for Competitive Exams
Functions of One Variable - II | Mathematics for Competitive Exams
Clearly, f(x) > 0, for 0 < x < 1 ⇒ f is increasing, for 0 < x < 1.
In particular, f(x) > f(0) = 0 as x > 0
Functions of One Variable - II | Mathematics for Competitive Exams for 0 < x < 1.
Hence Functions of One Variable - II | Mathematics for Competitive Exams for 0 < x < 1.
Let g(x) = 2x Functions of One Variable - II | Mathematics for Competitive Exams
Functions of One Variable - II | Mathematics for Competitive Exams
Functions of One Variable - II | Mathematics for Competitive Exams
Thus g(x) is increasing, for 0 < x < 1. In particular, g(x) > g(0) = 0 ⇒ g(x) > 0
Hence Functions of One Variable - II | Mathematics for Competitive Exams

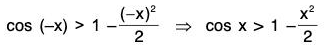
Example : Prove that tan x > x, whenever 0 < x < π/2.

Let c be any real number such that 0 < c < π/2.
Let f(x) = tan x - x for all x ∈ [0, c].
Then f is continuous as well as derivable on [0, c].
Now f’(x) = sec2 x - 1 = tan2 x > 0, for 0 < x < c.
Thus f is strictly increasing in [0, c]
⇒ f(c) > f(0), for c > 0.
But f(0) = 0. Therefore f(c) > 0 ⇒ tan c - c > 0.
Since c is any real number such that 0 < c < π/2, therefore, tan x > x, whenever 0 < x < π/2.

Example : Show that Functions of One Variable - II | Mathematics for Competitive Exams

Let f be defined as
Functions of One Variable - II | Mathematics for Competitive Exams ...(1)
Then f is continuous in [0, π/2] and derivable in ]0, π/2[.
We have Functions of One Variable - II | Mathematics for Competitive Exams ...(2)
Let g(x) = x cos x - sin x in [0, π/2]
∴ g’(x) = cos x - x sin x - cos x
= - x sin x < 0 in ]0, π/2[.
⇒ g is strictly decreasing in [0, π/2).
⇒ (x) < g(0) = 0 in [0, π/2] (∵ x > 0)
Using in (2), it follows that f’(x) < 0 in ]0, π/2[
⇒  is strictly decreasing in [0, π/2]
⇒ f(0) > f(x) > f(π/2), for 0 < x < π/2
Functions of One Variable - II | Mathematics for Competitive Exams using (1)
Hence Functions of One Variable - II | Mathematics for Competitive Exams

Example: Prove that Functions of One Variable - II | Mathematics for Competitive Exams

Functions of One Variable - II | Mathematics for Competitive Exams
Since x sin x > 0 for all x in ]0, π/2[, therefore, we need to show that tan x sin x - x2 > 0, ∀ x ∈]0, π/2[.
Let c any real number in ]0, π/2[.
Let f(x) = tan x sin x - x2 ∀ x ∈ [0, c]
Then f is continuous as well as derivable in [0, c].
Now f’(x) = sec2 x sin x + tan x cos x - 2x
= sin x (sec2 x + 1) - 2x.
The form of f’(x) is such that we cannot decide about its sign.
Let g’(x) = cos x (sec2x + 1) + sin x . 2 sec2x tan x - 2 Functions of One Variable - II | Mathematics for Competitive Exams+ 2 sin2 x sec3 x.
Since g’(x) > 0 for all x ∈ ]0, c[⇒ g is strictly increasing in [0, c]
⇒ g(x) > g(0), whenever 0 < x < c. Since g(0) = 0, this means that g(x) > 0, whenever 0 < x < c ⇒ f’(x) > 0, whenever 0 < x < c ⇒ f is strictly increasing in [0, c] ⇒ f(c) > f(0) = 0 ⇒ f(c) > 0.
⇒ tan c sin c - c2> 0
Functions of One Variable - II | Mathematics for Competitive Exams
Since c is any point of ]0, π/2[, it follows that Functions of One Variable - II | Mathematics for Competitive Exams whenever 0 < x < π/2.

Example: Verify Lagranges MV Theorem for the function f(x) = |x| in the interval [-1 , 2]. 

L1. The given function is continuous in [-1, 2], because
Functions of One Variable - II | Mathematics for Competitive Exams
and Functions of One Variable - II | Mathematics for Competitive Exams
L2. At the point x = 0 of the open interval (-1, 2)
Functions of One Variable - II | Mathematics for Competitive Exams
Thus f’(0 + 0) ≠ f'(0 - 0)
Therefore the given function is not derivable in (-1, 2).
Hence Lagrange's theorem is not applicable for the given function.

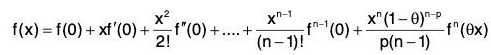
Taylor's Theorem

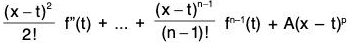
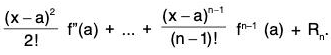
Taylor’s theorem with Lagrange’s form of remainder;

Statement : If a function f with domain [a, a + h] is such that:
(i) fn-1 is continuous in [a, a + h]
(ii) fn exists in (a, a + h)
then ∃ θ ∈ (0, 1) such that :
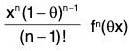
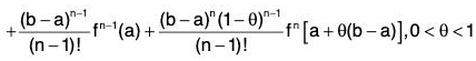
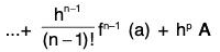
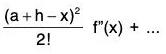
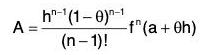
f(a + h) = f(a) + hf'(a) + Functions of One Variable - II | Mathematics for Competitive Exams

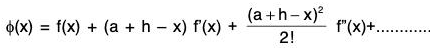
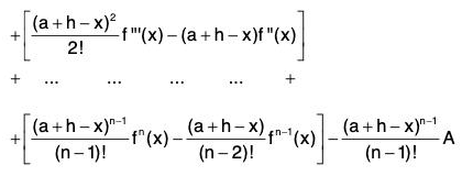
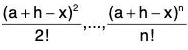
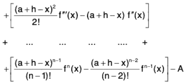
Proof : Let us define a new function φ with domain [a, a + h] involving the derivatives of f as follows:
Functions of One Variable - II | Mathematics for Competitive ExamsFunctions of One Variable - II | Mathematics for Competitive Exams ...(1)
where A is a constant to be determined such that
φ (a + h) = φ (a) ...(2)
From (1), φ (a + h) = f (a + h) ...(3)
and Functions of One Variable - II | Mathematics for Competitive Exams ...(4)
Using (3) and (4) in (2), we obtain
Functions of One Variable - II | Mathematics for Competitive Exams ...(5)
The value of A is given by (5).
Now by first condition, f(x), f’(x), f"(x)...fn-1(x) are continuous in [a, a + h] and their derivatives exist and are finite in (a, a + h).
Polynomials of x, (a + h - x), Functions of One Variable - II | Mathematics for Competitive Examsare continuous and derivable for all values of x.
Therefore the function is also continuous in [a, a + h] and derivable in (a, a + h).
Thus the function φ is :
R1. Continuous in [a, a + h]
R2. Derivable in (a, a + h) and
R3. φ(a) = φ(a + h) [by (2)]
Therefore the function φ satisfies all the three conditions of Rolle’s theorem and accordingly, there exists at least one positive number θ, 0 < θ < 1,
where
φ’(a + θh) = 0, 0 < θ < 1 ...(6)
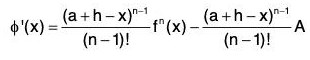
Differentiating (1),
φ‘(x) = f'(x) + [(a + h - x) f"(x) - f'(x)]
Functions of One Variable - II | Mathematics for Competitive Exams
The terms cancel in pairs on RHS, therefore
Functions of One Variable - II | Mathematics for Competitive Exams
Therefore, Functions of One Variable - II | Mathematics for Competitive Exams
or, Functions of One Variable - II | Mathematics for Competitive Exams [by (6)]
Functions of One Variable - II | Mathematics for Competitive Exams
therefore Functions of One Variable - II | Mathematics for Competitive Exams
or Functions of One Variable - II | Mathematics for Competitive Exams [by(6)]
⇒ A = f’(a + θh) [∵ h ≠ 0, (1 - θ) ≠ 0] ...(7)
Substituting the value of A from (7) in (5), we obtain the required result.
Hence Proved.
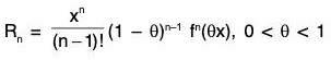
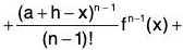
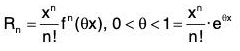
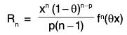
Remainder after n terms [Rn] :
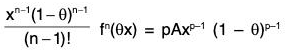
Functions of One Variable - II | Mathematics for Competitive Exams
This is also known as Lagrange’s form of Remainder.

Taylor’s theorem with Cauchy’s form of remainder :

Statement: If a function f with domain [a, a + h] is such that
(i) fn-1 is continuous in [a, a + h]
(ii) fn exist in (a, a + h)
then ∃ θ ∈ (0, 1) such that :
f (a + h) = f(a) + h f'(a) + Functions of One Variable - II | Mathematics for Competitive Exams

Proof. Consider a function φ defined as follows :
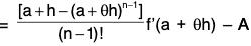
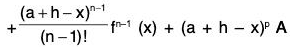
φ(x) = f(x) + (a + h - x) f'(x) + Functions of One Variable - II | Mathematics for Competitive ExamsFunctions of One Variable - II | Mathematics for Competitive Exams(a + h - x) A ...(1)
where A is a constant to be determined such that
φ(a + h) = φ(a) ...(2)
From (1), φ(a + h) = f(a + h) ...(3)
and Functions of One Variable - II | Mathematics for Competitive Exams ...(4)
Using (3) and (4) in (2),
Functions of One Variable - II | Mathematics for Competitive Exams ...(5)
The value of A is given by (5).
Now by the first condition.
f(x), f’(x), f’'(x), .... fn-1 (x) are continuous in [a, a + h] and their derivable f'(x), f'’(x), fn(x) exist and are finite in (a, a + h).
and the polynomials (a + h - x), Functions of One Variable - II | Mathematics for Competitive Exams are continuous and derivable for all values of x. Therefore these are continuous in [a, a + h] and derivable in (a, a + h).
Thus the function φ is : R1. continuous in [a, a + h]
R2, derivable in (a, a + h)
and R3, φ(a) = φ(b)
Thus the function φ satisfies all the three conditions of Rolle’s theorem, accordingly there exists atleast one positive number θ, 0 < θ < 1, where
φ'(a + θh) = 0, 0 < θ < 1 ...(6)
Differentiating (1), we get
φ’(x) = f'(x) + [(a + h - x) f"(x) - f(x)]
Functions of One Variable - II | Mathematics for Competitive Exams
The terms cancel in pairs on RHS, therefore
Functions of One Variable - II | Mathematics for Competitive Exams
Therefore φ’(a + θh) Functions of One Variable - II | Mathematics for Competitive Exams
Functions of One Variable - II | Mathematics for Competitive Exams[by (6)]
Functions of One Variable - II | Mathematics for Competitive Exams ...(7)
Substituting the value of A from (7) in (5), we obtain the required result

Another form :
Replacing h = b - a in the theorem, we get the following use fulform :
f(b) = f(a) + (b - a) f'(a) + Functions of One Variable - II | Mathematics for Competitive Exams 

Functions of One Variable - II | Mathematics for Competitive Exams
f(a+h) = f(a) + (h)f'(a) + Functions of One Variable - II | Mathematics for Competitive Exams Functions of One Variable - II | Mathematics for Competitive Exams

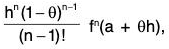
Remainder after n terms [Rn] :

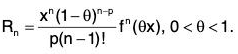
Functions of One Variable - II | Mathematics for Competitive Exams
This is known as Cauchy's form of Remainder.

Taylor’s theorem with Schlomitch and Roche form of Remainder.

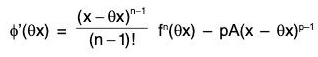
Statement : If a function f defined in [a, a + h] is such that :
(i) its all derivative up to order (n - 1) i.e. fn - 1 are continuous in [a, a + h]
(ii) fn exists in (a, a + h)
(iii) p ∈ N
then ∃ θ ∈ (0, 1) such that :
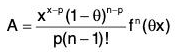
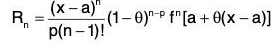
Functions of One Variable - II | Mathematics for Competitive Exams

Proof. Consider a function φ defined as follows :
Functions of One Variable - II | Mathematics for Competitive ExamsFunctions of One Variable - II | Mathematics for Competitive Exams  ...(1)
where A is a constant to be determined such that
φ(a + h) = φ(a) ...(2)
From (1), φ(a + h) = f(a + h) ...(3)
and Functions of One Variable - II | Mathematics for Competitive Exams Functions of One Variable - II | Mathematics for Competitive Exams ...(4)
Using (3) and (4) in (2), we get

f(a + h) = f(a) + hf’(a) + Functions of One Variable - II | Mathematics for Competitive Exams ...(5)
The value of A is given by (5).
Now the function φ is :
(R1) continuous in [a, a + h], because f, f', f", .... fn-1, (a - h - x)p are continuous.
(R2) derivable in (a, a + h), because f, f', f" ......fn-1, (a - h - x)p are derivable.
(R3) φ(a + h) = φ(a)
“Thus the function f satisfies all the three conditions of Rolle’s theorem, according ∃θ ∈ (0, 1), where
φ(a + θh) = 0 ...(6)
But Functions of One Variable - II | Mathematics for Competitive Exams
Functions of One Variable - II | Mathematics for Competitive Exams
⇒ φ’(a + θh) = 0
Functions of One Variable - II | Mathematics for Competitive Exams ...(7)
Substituting the value of A from (7) in (5), we obtain the required result

Important Special Case :

  1. When p = n, then Rn(x) = (hn/n!) fn(a+θh),
    which is called Lagrange’s form of remainder and we get
    Taylor’s theorem with Lagrange’s form of remainder.
  2. When p = 1, then Rn(x) = Functions of One Variable - II | Mathematics for Competitive Exams
    which is called Cauchy’s form of remainder and we get Taylor’s theorem with Cauchy’s form of remainder.

Another form :

Replacing a + h = x or h = x - a, we get the following form of Taylor’s theorem :
f(x) = f(a) + (x - a) f(a) + Functions of One Variable - II | Mathematics for Competitive Exams
where Functions of One Variable - II | Mathematics for Competitive Exams ...(8)
is called the remainder after n terms.

Maclaurin’s theorem : Statement :

If a function f with domain [0, x] be such that

  1. all of its derivatives upto order (n - 1 ) are continuous in [0, x]
  2. fn exists in (0, x)
  3. Functions of One Variable - II | Mathematics for Competitive Exams Then ∃ θ ∈ (0, 1) such that

Functions of One Variable - II | Mathematics for Competitive Exams
where Functions of One Variable - II | Mathematics for Competitive Exams

Proof. First of all we observe that condition (i) in the statement of theorem implies that f, f', f", fn-1 are all defined (i.e., exist) and continuous on [0, x].
Consider the function φ defined on [0, x] as
φ(t) = f(t) + (x - t) f'(t) + Functions of One Variable - II | Mathematics for Competitive Exams
where A is a constant to be determined such that φ(0) = φ(x).
But Functions of One Variable - II | Mathematics for Competitive Exams
and φ(x) = f(x)
∴ φ(0) = φ(x)
⇒ f(x) = f(0) + xf’(0) Functions of One Variable - II | Mathematics for Competitive Exams ...(1)
Now, (i) Since f, f', f", ... fn-1 are all continuous on [0, x ] and (x - t)r, r ∈ N is continuous on R.
∴ φ is continuous on [0, x].
(ii) Since f, f’, f” ...... fn-1 are all derivable on (0, x) and (x - t)r, r ∈ N is derivable on R.
∴ φ is derivable on (0, x).
(iii) Also φ(0) = φ(x)
Thus the function φ satisfies all the three conditions of Rolle’s Theorem on [0, x] and, hence, there exists a real number φ ∈ (0, 1) such that φ’(θx) = 0.
But φ’(t) = f'(t) - f'(t) + (x - t) f"(t) - (x - t) f"(t) + ... Functions of One Variable - II | Mathematics for Competitive Exams
Functions of One Variable - II | Mathematics for Competitive Exams [other terms cancel in pairs]
Functions of One Variable - II | Mathematics for Competitive Exams
Functions of One Variable - II | Mathematics for Competitive Exams
∴ φ’(θx) = 0
Functions of One Variable - II | Mathematics for Competitive Exams
Functions of One Variable - II | Mathematics for Competitive Exams
Putting this value of A in (1), we have
Functions of One Variable - II | Mathematics for Competitive Exams
The term Functions of One Variable - II | Mathematics for Competitive Exams which occurs after n terms in known as Schlomilch and Roche’s form of remainder.

Note. (i) For p = 1, we get Rn = Functions of One Variable - II | Mathematics for Competitive Exams called Cauchy’s form of remainder.
(ii) For p = n, we get Rn = (xn/n!)(fn(θx) called Lagrange’s form of remainder.

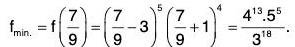
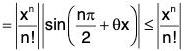
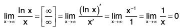
Example : Prove that the number ‘θ’ which occurs in the Taylor’s theorem with Lagrange’s form of remainder after n terms approaches the limit 1/(n+1) as h approaches zero provided that fn+1 (x) is continuous and different from zero at x = a.

By Taylor’s theorem with Lagrange' s form of remainder after n terms and (n + 1) terms successively, we have
f(a + h) = f(a) + hf’(a) + ... + Functions of One Variable - II | Mathematics for Competitive Exams where 0 < θ < 1.
f(a + h) = f(a) + hf’(a) + . . . + Functions of One Variable - II | Mathematics for Competitive Exams where 0 < θ1 < 1
On subtraction, we get 0 Functions of One Variable - II | Mathematics for Competitive Exams

or Functions of One Variable - II | Mathematics for Competitive Exams ...(1)
Using Lagrange’s mean value theorem for fn(x) on [a, a + θh], we have
fn(a + θh) = fn(a) + 0hfn+1 (a + θ2θh) where 0 < θ2 < 1
or fn(a + θh) - fn(a) = θhfn+1 (a + θ2θh) ...(2)
From (1) and (2), we have
Functions of One Variable - II | Mathematics for Competitive Exams
Functions of One Variable - II | Mathematics for Competitive Exams
= 1/(n+1). [∵ fn+1 (a) ≠ 0]

Ex : Assuming the derivatives which occur are continuous, apply the mean value theorem to prove that φ'(x) = F'{f(x)} f'(x) where φ(x) = F {f(x)}.

Let f(x) = t so that φ(x) = F(t)
Now Functions of One Variable - II | Mathematics for Competitive Exams
Functions of One Variable - II | Mathematics for Competitive Exams [∵ f(x + h) = f(x) + hf'(x + θ1h) by Mean Value Theorem]
Functions of One Variable - II | Mathematics for Competitive Exams
[∵ F(t + H) = F(t) + HF’(t + θ2H) by Mean Value Theorem]
Functions of One Variable - II | Mathematics for Competitive Exams
Functions of One Variable - II | Mathematics for Competitive Exams
= f'(x) F'(f(x)) [∵ f and F’ are continuous]
= F’{f(x)} f'(x).

Example : Using Taylor’s theorem, show that
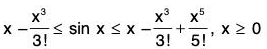
(i) cos x ≥ 1 - (x2/2) ∀ x ∈ R
(ii) 1 + x + (x2/2) < ex < 1 + x + (x2/2)ex, x > 0
(iii) x - (x3/3!) < sin x < x, x > 0
(iv) Functions of One Variable - II | Mathematics for Competitive Exams

(i) Case 1. Let x = 0
The cos x = 1, 1 - (x2/2) = 1 ∴ cos x = 1 - x2/2.
Case 2. Let x > 0 and f(x) = cos x
Then f'(x) = - sin x, f"(x) = - cos x
Since f(x) = f(0) + xf’(0) + (x2/2!) f”(θx) where 0 < θ < 1.
∴ cos x = 1 - (x2/2) cos θx
But cos θ < 1 θx, x > 0
Functions of One Variable - II | Mathematics for Competitive Exams
Case 3. Let x < 0
Put y = -x so that y > 0
By case 2, cos y > 1 - (y2/2) ⇒ Functions of One Variable - II | Mathematics for Competitive Exams
Combining all cases, cos x ≥ 1 - x2/2 ∀ x ∈ R.
(ii) Let f(x) = ex, e > 0, then f’(x) = f'’(x) = ex
Since f(x) = f(0) + xf’(0) + (x2/2!) f”(θx) where 0 < θ < 1
∴ ex = 1 + x + x2/2 (eθx)
Now 0 < θ < 1 and x > 0 ⇒ 0 < θx < x
⇒ e0 < eθx < e[∵ ex is an increasing function]
Functions of One Variable - II | Mathematics for Competitive Exams
⇒ 1 + x + x2/2 < ex < 1 + x + x2/2 (ex).
(iii) Let f(x) = sin x, x > 0, then f’(x) = cos x, f"(x) = - sin x
f”(x) = - cos x
Since f(x) = f(0) + xf’(0) +Functions of One Variable - II | Mathematics for Competitive Exams where 0 < θ < 1
∴ sin x = x - (x3/3!)cos θx
But cos θx < 1 ∀θx, x > 0
∴ x - (x3/3!) cosθ x > x - x3/3!
⇒ sin x > x - x3/3! ...(1)
Also f(x) = f(0) + xf’(θx) where 0 < θ < 1
∴ sin x = x cos θx
But cos θx < 1 ∀ θx, x > 0
∴ x cos θx < x ⇒ sin x < x ...(2)
Combining (1) and (2), we get x - (x3/3!) < sin x < x.
(iv) Case 1. Let x = 0
Then Functions of One Variable - II | Mathematics for Competitive Exams
Case 2. Let x > 0 and f(x) = sin x
Then f'(x) = cos x, f'’(x) = - sin x, f”(x) = - cos x,
fiv(x) = sin x, fv(x) = cos x
Since f(x) = f(0) + x f’(0) + Functions of One Variable - II | Mathematics for Competitive Exams
∴ sin x = x - (x3/3!) cos θx
But cos θx < 1 ∀ θx, x > 0
Functions of One Variable - II | Mathematics for Competitive Exams
⇒ sin x > x - (x3/3!) ...(1)
Also f(x) = f(0) + xf’(0) + Functions of One Variable - II | Mathematics for Competitive Exams
∴ Sin x = x - Functions of One Variable - II | Mathematics for Competitive Exams
But cos θx < 1 ∀ θx, x > 0
Functions of One Variable - II | Mathematics for Competitive Exams
⇒ sin x < x - Functions of One Variable - II | Mathematics for Competitive Exams ...(2)
Combining (1) and (2), Functions of One Variable - II | Mathematics for Competitive Exams
Combining the two cases, we have Functions of One Variable - II | Mathematics for Competitive Exams

Taylor’s Series :

If a function f is defined in the interval [a + ah] and satisfy all conditions of Taylor’s theorem, then by Taylor’s theorem,
f(a + h) = f(a) + hf '(a) +Functions of One Variable - II | Mathematics for Competitive Exams
or, f(a + h) = Sr + Rn, where Sn represents the sum of first n terms and Rn is called the Taylor’s remainder after n terms.
Functions of One Variable - II | Mathematics for Competitive Exams
or, f(a + h) = Functions of One Variable - II | Mathematics for Competitive Exams
Therefore if the function f is expressible in an Infinite series, then clearly

  1. fn (a) exists ∀ n ∈ N and
  2. for the convergence of the Taylor’s series,
    Taylor’s remainder after n terms, Rn → 0 when n → ∞, then
    f(a + h) = f(a) + h f'(a) + Functions of One Variable - II | Mathematics for Competitive Exams

The infinite series on RHS is known as Taylor’s Series.

Maclaurin’s Series :
When a = 0 and replace h by x, the n the Taylor’s series reduces to the following form :
f(x) = f(0) + xf’(0) + Functions of One Variable - II | Mathematics for Competitive Exams
This series is called Maclaurin’s Series and is very useful in the expansion of functions. 

Example : Expand ex as an infinite series.

Let f(x) = ex so that fn(x) = ex and fn(0) = e0 = 1 ∀ n ∈ N
Clearly, f and all its derivatives exist and are continuous for every real value of x.
Lagrange’s form of remainder is
Functions of One Variable - II | Mathematics for Competitive Exams
Let Functions of One Variable - II | Mathematics for Competitive Exams
so that Functions of One Variable - II | Mathematics for Competitive Exams
Functions of One Variable - II | Mathematics for Competitive Exams Functions of One Variable - II | Mathematics for Competitive Exams
Functions of One Variable - II | Mathematics for Competitive Exams
Functions of One Variable - II | Mathematics for Competitive Exams
Thus the conditions of Maclaurin's infinite expansion are satisfied.
∴ For all x ∈ R, ex = f(x)
Functions of One Variable - II | Mathematics for Competitive Exams

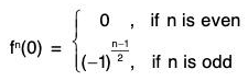
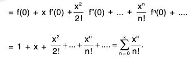
Example : Expand sin x as an infinite series.

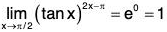
Let f(x) = sin x so that fn(x) = sin Functions of One Variable - II | Mathematics for Competitive Exams
and fn(0) = sin (nπ/2) ∀ n ∈ N
Functions of One Variable - II | Mathematics for Competitive Exams
⇒ f”(0) = fiv(0) = ... = 0, f’(0) = 1, f”(0) = -1, f(0) = 1, ....
Clearly, f and all its derivatives exist and are continuous for every real value of x.
Lagrange’s form of remainder is
Functions of One Variable - II | Mathematics for Competitive Exams
Functions of One Variable - II | Mathematics for Competitive Exams
Functions of One Variable - II | Mathematics for Competitive Exams Functions of One Variable - II | Mathematics for Competitive Exams
But Functions of One Variable - II | Mathematics for Competitive Exams
Functions of One Variable - II | Mathematics for Competitive Exams
Thus the conditions of Maclaurin’s infinite expansion are satisfied.
∴ For all x ∈ R, sin x = f(x) = f(0) + xf’(0) + Functions of One Variable - II | Mathematics for Competitive Exams

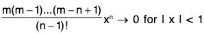
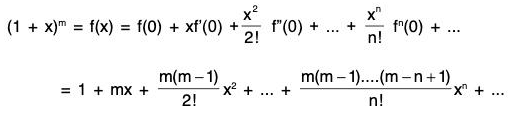
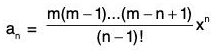
Example : Expand (1 + x)m, m ∈ R.

Two cases arise according as m is not a positive integer.
Case 1. When m is a positive integer.
Let f(x) = (1 + x)m, x ∈ R
Then fn(x) exists for all x and all n.
In fact, if 1 ≤ n ≤ m, then fn(x) = m(m - 1)(m - 2) ... (m - n + 1) (1 + x)m-n
so that fm(x) = m ! and fn(x) = 0, if n > m
Functions of One Variable - II | Mathematics for Competitive Exams
Since fn(x) = 0 for all n > m, it follows that Rn → 0 as n → ∞. Thus the conditions of Maclaurin’s expansion are satisfied.
∴ (1 + x)m = f(x) = f(0) + xf’(0) Functions of One Variable - II | Mathematics for Competitive Exams
Functions of One Variable - II | Mathematics for Competitive Exams
Case 2. When m is not a positive integer.
Let f(x) = (1 + x)m, x ≠ - 1
Taking Cauchy form of remainder, we have
Functions of One Variable - II | Mathematics for Competitive Exams
Functions of One Variable - II | Mathematics for Competitive Exams
Functions of One Variable - II | Mathematics for Competitive Exams
Now let Functions of One Variable - II | Mathematics for Competitive Exams
so that Functions of One Variable - II | Mathematics for Competitive Exams
Functions of One Variable - II | Mathematics for Competitive Exams
Functions of One Variable - II | Mathematics for Competitive Exams
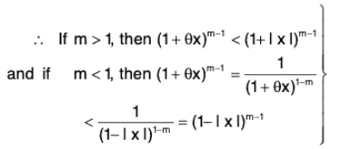
It follows that if |-x| = |x| < 1, then Functions of One Variable - II | Mathematics for Competitive Exams
Functions of One Variable - II | Mathematics for Competitive Exams ...(1)
Since 0 < θ < 1 and -1 < x < 1
∴ -θ < θx < θ ⇒ 1 - θ < 1 + θx < 1 + θ
⇒ 0 < 1 - θ < 1 + θx ⇒ Functions of One Variable - II | Mathematics for Competitive Exams
Consequently, Functions of One Variable - II | Mathematics for Competitive Exams...(2)
Also, since -Functions of One Variable - II | Mathematics for Competitive Exams
Functions of One Variable - II | Mathematics for Competitive Exams
Functions of One Variable - II | Mathematics for Competitive Exams ...(3)
From (1), (2) and (3), we find that for I x I < 1, Functions of One Variable - II | Mathematics for Competitive Exams
Thus the conditions of Maclaurin's infinite expansion are satisfied and
Functions of One Variable - II | Mathematics for Competitive Exams

Example : Expand log (1 + x) as an infinite series.

Let f(x) = log (1 + x) where 1 + x > 0 i.e., x > -1
Then Functions of One Variable - II | Mathematics for Competitive Exams
Case 1. When 0 ≤ x ≤ 1
Writing Lagrange’s remainder after n terms, we have
Functions of One Variable - II | Mathematics for Competitive Exams
Functions of One Variable - II | Mathematics for Competitive Exams
If x = 1, then |Rn| = Functions of One Variable - II | Mathematics for Competitive Exams
Functions of One Variable - II | Mathematics for Competitive Exams
If 0 ≤ x < 1, then since 0 < θ < 1
∴ 0 ≤ x < 1 + θx
Functions of One Variable - II | Mathematics for Competitive Exams ⇒ Functions of One Variable - II | Mathematics for Competitive Exams
Functions of One Variable - II | Mathematics for Competitive Exams
Functions of One Variable - II | Mathematics for Competitive Exams
Case 2. When -1 < x < 0
Since in this case,Functions of One Variable - II | Mathematics for Competitive Exams need not be less than unity, therefore, it may not be easily shown that Rn → 0 as n → ∞ by considering Lagrange’s remainder.
∴ Writing Cauchy’s remainder after n terms, we have
Functions of One Variable - II | Mathematics for Competitive Exams
Functions of One Variable - II | Mathematics for Competitive Exams
Now -1 < x < 0 and 0 < θ < 1 ⇒ - θ < θx
⇒ 1 - θ < 1 + θx ⇒ Functions of One Variable - II | Mathematics for Competitive Exams
Also, -|x| ≤ x ⇒ - θ |x| ≤ θx
⇒ 1 - |x| < 1 + θx ⇒ Functions of One Variable - II | Mathematics for Competitive Exams
Consequently, Functions of One Variable - II | Mathematics for Competitive Exams
and |x|n → 0 as n → ∞ (since |x| < 1)
Functions of One Variable - II | Mathematics for Competitive Exams
Thus, we find that if -1 < x ≤ 1, then Functions of One Variable - II | Mathematics for Competitive Exams
Hence log(1 + x) = f(x) = f(0) + x f’(0) + Functions of One Variable - II | Mathematics for Competitive Exams
= log 1 + x.1 + Functions of One Variable - II | Mathematics for Competitive Exams 

MAXIMA AND MINIMA OF ONE VARIABLE

Let I be an interval.
A function f : I → R is said to have a global maxima (or an absolute maximum) on I if there exists a point c ∈ I such that f(c) ≥ f(x) for all x ∈ I. c is said to be a point of global maxima for f on I.
f is said to have a global minima (or an absolute minimum) on I if there exists a point c ∈ I such that f(c) ≤ f(x) for all x ∈ I. c is said to be a point of global minima for f on I.
A function f : I → R is said to have a local maximum (or a relative maximum) at a point c ∈ I if there exists a neighbourhood N (c, δ) of c such that f(c) ≥ f(x) for all x ∈ N (c, δ) ∩ I.
f is said to have a local minimum (or a relative minimum) at a point c e I, If there exists a neighbourhood N(c, δ) of c such that f(c) ≤ f(x) for all x ∈ N(c, δ) ∩ I.
We say that f has a local extremum (or a relative extremum) at a point c ∈ I, if f has either a local maximum or a local minimum at c.

Note : If f : I → R has a local maximum (a local minimum) at a point c ∈ I then c is a point of global maxima (a point of global minima) for f on N(c, δ) ∩ I for some suitable δ > 0.
N (c, δ) = (c - δ, c + δ)

Theorem : Let f : I → R be such that f has a local extremum at an interior point c of I. If f’(c) exists then f’(c) = 0.
Proof. We prove that theorem for the case when f has a local maximum at c. The proof of the other case is similar.
Since f’(c) exists, either f'(c) > 0, or f'(c) < 0, or f'(c) = 0.
Let f'(c) > 0. Then Functions of One Variable - II | Mathematics for Competitive Exams
Therefore there exists a positive δ such that Functions of One Variable - II | Mathematics for Competitive Exams
Let c < x < c + δ. Then x - c > 0 and therefore f(x) > f(c) for all x ∈ (c, c + δ). This contradicts that f has a local maximum at c.
Consequently, f’(c) ≥ 0 ....... (i)
Let f ’(c) < 0. Then Functions of One Variable - II | Mathematics for Competitive Exams
Therefore there exists a positive δ such that Functions of One Variable - II | Mathematics for Competitive Exams
Let c - δ < x < c. Then x - c < 0 and therefore f(x) > f(c) for all x ∈ (c - δ, c). This contradicts that f has a local maximum at c.
Consequently, f’(c) ≤ 0 ....... (ii)
From (i) and (ii) we have f'(c) = 0.
This completes the proof.

Corollary : Let f : I Functions of One Variable - II | Mathematics for Competitive Exams and c be an interior point of I, where f has a local extremum. Then either f’(c) does not exist, or f'(c) = 0.
Note 1. The theorem says that if the derivative f(c) exists at an interior point c of local extremum, f’(c) must be 0. A function may, however have a local extremum at an interior point c of its domain without being differentiable at c. For example, the function defined by f(x) = |x|, x ∈ R has a local minimum at 0 but f'(0) does not exist.
Note 2. The condition f’(c) = 0 (when f'(c) exists) is only a necessary condition for an interior point c to be a point of local extremum of the function f.
For example, for the function f defined by f(x) = x3, x ∈ R, 0 is an interior point of the domain of f. f’(0) = 0 but 0 is neither a point of local maximum nor a point of local minimum of the function f.
Note 3. The theorem holds if c is an interior point of I.
Let a function f be defined on [0, 1] by f(x) = x, x ∈ [0, 1]. Then f has a local maximum at 1 (not an interior point of I), f is differentiable at 1, but f’(1) ≠ 0.

Theorem : (First derivative test for extrema)

Let f be continuous on I = [a, b] and c be an interior point of I. Let f be differentiable on (a, c) and (c, b).

  1. If there exists a neighbourhood (c - δ, c + δ) ⊂ I such that f’(x) ≥ 0 for x ∈ (c - δ,c) and f'(x) ≤ 0 for x ∈ (c, c + δ), then f has a local maximum at c.
  2. If there exists a neighbourhood (c - δ, c + δ ) ⊂ I such that f’(x) ≤ 0 for x ∈ (c - δ,c) and f(x) ≥ 0 for x ∈ (c, c + δ), then f has a local minimum at c.
  3. If f (x) keeps the same sign on (c - δ.c) and (c .c + δ), then f has no extremum at c.

Proof. 1. Let x ∈ (c - δ, c). Applying Mean value theorem to the function f on [x, c], we have f(c) - f(x ) = (c - x) f'(ξ) for some x ∈ (x, c).
Since f'(ξ) ≥ 0, we have f(x) ≤ f(c) for x ∈ (c - δ, c).
Let x ∈ (c, c + δ). Applying Mean value theorem to the function f on [c, x], we have f(x) - f(c) = (x - c)f'(η) for some η ∈ (c, x).
Since f’(η) ≤ 0. we have f(x) ≤ f(c) for x ∈ (c, c + δ).
If follow that f(c) ≥ f(x) for all x ∈ N(c, δ) ∩ I.
Therefore f has a local maximum at c.
2. Similar proof.
3. Let f’(x) > 0 for x ∈(c - δ, c) and for x ∈ (c, c + δ).
Then f(x) < f(c) for x ∈ (c - 8, c) and f(c) < f(x) for x ∈ (c, c + δ).
Therefore f has neither a maximum nor a minimum at c.
Similar proof if f ’(x) < 0 for x ∈ (c - δ, c) and for (c, c + δ).
Note. The converse of the theorem is not true.
For example, let f(x) = 2x2 + x2 sin(1/x), x ≠ 0
= 0, x = 0.
Then f has a local minimum at 0.
f'(x) = 4x + 2x sin Functions of One Variable - II | Mathematics for Competitive Exams
= 0, x = 0. f' takes both positive and negative values on both sides of 0 (in the immediate neighbourhood).

Examples:

  1. Let f(x) = I x I, x ∈ Functions of One Variable - II | Mathematics for Competitive Exams
    f is continuous on Functions of One Variable - II | Mathematics for Competitive Exams. f is not differentiable at 0.
    f’(x) < 0 for x ∈ (-δ, 0) and f’(x) > 0 for x ∈ (0, δ) for some δ > 0.
    Therefore f has a local minimum at 0.
  2. Let f(x) = |x - 1| + |x - 2|, x ∈ [0, 3]
    Then f(x) = 3 - 2x, if 0 ≤ x < 1
    = 1 , if 1 ≤ x ≤ 2
    = 2x - 3, if 2 < x ≤ 3.
    f is continuous on [0, 3]. f is not differentiable at 1 and 2.
    f’(x) < 0 for x ∈ (1 - δ, 1), f'(x) = 0 for x ∈ (1, 1 + 8) for some δ satisfying 0 < δ < 1. Therefore f has a local minimum at 1.
    f’(x) = 0 for x ∈ (2 - 8, 2), f’(x) > 0 for x ∈ (2 , 2 + 8) for some δ satisfying 0 < δ < 1.
    Therefore f has a local minimum at 2.
  3. f(x) = (x - 1)2 (x - 3)3, x ∈ R.
    f'(x) = 2(x - 1)(x - 3)3 + 3(x - 1)2 (x - 3)2
    = (x - 1)(x - 3)2 (5x - 9), x ∈ R.
    f is continuous on R. f(x) = 0 at the points 1, 3, 9/5.
    f’(x) > 0 for x ∈ (1 - δ, 1) and f'(x) < 0 for x ∈ (1, 1 + δ) for some δ > 0. Therefore f has a local maximum at 1.
    f’(x) > 0 for x ∈ ( 3 - δ, 3) and f'(x) > 0 for x ∈ (3, 3 + δ) for some δ > 0. Therefore f has neither a maximum nor a minimum at 3.
    f’(x) < 0 for x ∈ Functions of One Variable - II | Mathematics for Competitive Exams and f’(x) > 0 for x ∈ Functions of One Variable - II | Mathematics for Competitive Exams for some δ > 0. Therefore f has a local minimum at 9/5.

Theorem : (Higher order derivative test for extrema)

Let f : I → R and c be an interior point of I.
If f'(c) = f(c) = ... = fn-1 (c) = 0 and fn(c) ≠ 0, then f has
(i) no extremum at c if n be odd, and
(ii) a local extremum at c if n be even:
a local maximum if fn(c) < 0, a local minimum if fn(c) > 0.

Example :

  1. f(x) = x- 5x4 + 5x3 + 10, x ∈ R.
    Show that f has a maximum at 1 and a minimum at 3 and f has neither a maximum nor a minimum at 0.
    For an extremum f’(x) = 0. f'(x) = 0 at x = 1, 3, 0.
    f”(x) = 20x3 - 60x2 + 30x. Therefore f”(1) < 0, f"(3) > 0, f"(0) = 0.
    Since f’(1) = 0 and f"(1) < 0, f has a local maximum at 1.
    Since f’(3) = 0 and f"(3) > 0, f has a local minimum at 3.
    Since f’(0) and f"(0) = 0, in order to decide the nature of f at 0, we are to examine derivative of higher order at 0.
    f”(x) = 60x2 - 120x + 30. f”(0) = 30 ≠ 0.
    Therefore f has neither a maximum nor a minimum at 0.
  2. Find the local extremum point of the function f(x) Functions of One Variable - II | Mathematics for Competitive ExamsFunctions of One Variable - II | Mathematics for Competitive Exams
    f’(x) = 0 at x = -2, 0.
    Let h be an arbitrarily small positive number.
    f’( - 2 - h) > 0, f'(-2) = 0, f'(-2 + h) < 0.
    f’(0 - h) < 0, f'(0) = 0, f'(0 + h) > 0.
    f is continuous at - 2. f'(x) > 0 for x ∈ (- 2 - δ, 2) and f (x) < 0 for x ∈ (-2, -2 + δ) for some δ > 0.
    f is continuous at 0.f’(x) < 0 for x ∈ (-δ, 0) and f’(x) > 0 for x ∈ (0, δ) for some δ > 0. Hence f has a local maximum at -2 and a local minimum at 0.
  3. Find the global maximum and the global minimum of the function f on R, where f(x) = Functions of One Variable - II | Mathematics for Competitive Exams
    Functions of One Variable - II | Mathematics for Competitive Exams
    f’(x) = 0 at x = ±2. f'(x) < 0 for |x| < 2 and f'(x) > 0 for |x| > 2.
    f is continuous at 2. f’(2 + h) > 0 and f'(2 - h) < 0 for sufficiently small h > 0. Therefore f has a local minimum at 2 and f(2) = 1/3.
    f is continuous at - 2. f'(-2 + h) < 0 and f‘(- 2 - h) > 0 for sufficiently small h > 0. Therefore f has a local maximum at -2 and f(-2) = 3.
    As f'(x) > 0 for x > 2 and f is continuous at 2, f is an increasing function [2, ∞) and Functions of One Variable - II | Mathematics for Competitive Exams f(x) = 1.
    Therefore Functions of One Variable - II | Mathematics for Competitive Exams
    As f’(x) > 0 for x < - 2 and f is continuous at - 2, f is an increasing function on (-∞, - 2] and Functions of One Variable - II | Mathematics for Competitive Exams
    Therefore Functions of One Variable - II | Mathematics for Competitive Exams
    Functions of One Variable - II | Mathematics for Competitive Exams
    Therefore Functions of One Variable - II | Mathematics for Competitive Exams

Example : Find the maximum and minimum points of the function f given by
f(x) = (x - 1) (x - 2) (x - 3).

f(x) = x3 - 6x2 + 11 x - 6
f’(x) = 3x2 - 12x + 11
f”(x) = 6x - 12
For maximum or minimum,
f'(x) = 0 ⇒ 3x2 - 12x + 11 = 0
⇒  Functions of One Variable - II | Mathematics for Competitive Exams
At Functions of One Variable - II | Mathematics for Competitive Exams
⇒ f is minimum at x = 2Functions of One Variable - II | Mathematics for Competitive Exams
At x = 2 - Functions of One Variable - II | Mathematics for Competitive Exams
⇒ f is minimum at x = 2 - Functions of One Variable - II | Mathematics for Competitive Exams

Example : Show that x5 - 5x4 + 5x3 - 1 has a maximum when x = 1, a minimum when x = 3 and neither when x = 0.

Let f(x) = x5 - 5x4 + 5x3 - 1
f’(x) = 5x4 - 20x3 + 15x2
f”(x) = 20x3 - 60x2 + 30x  
For maximum or minimum.
f’(x) = 0 ⇒ 5x2(x2 - 4x + 3) = 0
⇒ x2(x - 1) (x - 3) = 0 x = 0, 1, 3
At x = 0, f”(x) = 0
Since f"(x) = 60x2 - 120x + 30, f”(0) = 30 ≠ 0
⇒ f has neither a max. nor mini, when x = 0
At x = 1, f”(x) = 20 - 60 + 30 = -10 < 0
⇒ f has a maximum when x = 1
At x = 3, f”(x) = 20(3)3 - 60(3)2 + 30(3) = 90 > 0
⇒ f has a minimum when = 3.

Example : Examine the following function for extreme values : (x - 3)5 (x + 1)4.

Let f(x) = (x - 3)5 (x + 1)4
then f(x) = (x - 3)5. 4(x + 1)3 + 5(x - 3)4 (x + 1)4
= (x - 3)4 (x + 1)3 [4(x - 3) + 5(x + 1)] = (x - 3)4 (x + 1)3 (9x - 7)
For maximum or minimum,
f(x) = 0 ⇒ x = 3, - 1, 7/9
Let us test values one by one.
(i) For x slightly < 3, f’(x) = (+)(+)(+) = +ve
For x slightly > 3, f’(x) = (+)(+)(+) = +ve
Since f’(x) does not changes sign as a passes through 3, f is neither maximum nor minimum at x = 3.

(ii) For x slightly < -1, f'(x) = (+)(-)(-) = +ve
For x slightly > - 1, f'(x) = (+)(+)(-) = - ve
Since f’(x) changes sign from +ve to -ve as x passes through -1, f is maximum at x = -1
fmax = f(-1) = 0
(iii) For x slightly < 7/9, f’(x) = (+)(+)(-) = -ve
For x slightly > 7/9, f’(x) = (+)(+)(+) = +ve
Since f’(x) changes sign from -ve to +ve as x passes through 7/9, f is minimum at x = 7/9
Functions of One Variable - II | Mathematics for Competitive Exams

Example : Find the maximum and minimum values, if any, of the function (1 - x)2 ex.

Let f(x) = (1 - x)2 ex
f(x) = (1 - x)2 . ex - 2(1 - x)ex
= (1 - x)(1 - x - 2) ex = (1 - x)(-1 -x) ex
= (x + 1)(x - 1) ex = (x2 - 1) ex
f”(x) = (x2 - 1).ex + 2x . ex = (x2 + 2x - 1) ex
For maximum or minimum, f'(x) = 0
⇒ (x2 - 1)ex = 0 ⇒ x2 - 1 = 0 [∵ ex ≠ 0 for any x ∈ R]
∴ x = ± 1
When x = 1, f”(x) = 2e > 0 ⇒ f is minimum at x = 1
fmin = f(1) = 0
When x = - , f"(x) = -2e-1 < 0 f is maximum at x = -1
fmax = f(-1) = 4e-1 = 4/e.

Example : Find the maximum value of (logx/x), 0 < x < ∞.

Let f(x) = logx/x
then Functions of One Variable - II | Mathematics for Competitive Exams
Functions of One Variable - II | Mathematics for Competitive Exams
For maximum or min., f(x) = 0 ⇒ 1 - log x = 0
⇒ log x = 1 = log e ⇒ x = e
When x = e, Functions of One Variable - II | Mathematics for Competitive Exams
⇒ f is maximum at x = e.
Functions of One Variable - II | Mathematics for Competitive Exams

Example : Prove that the function (1/x)x, x > 0 has a maximum at x = 1/e.

Let Functions of One Variable - II | Mathematics for Competitive Exams
Functions of One Variable - II | Mathematics for Competitive Exams
Functions of One Variable - II | Mathematics for Competitive Exams
For max. (or min.) f(x) = 0 ⇒ - f(x) [1 + log x] = 0
⇒ 1 + log x = 0 [∵ f(x) ≠ 0]
⇒ log x = - 1 ⇒ x = e-1
Also f”(e-1) = -f(e-1) . e - f(e-1)[1 + log e-1] = - (e)1/e. e - 0 < 0 [∵ f’(e-1) = 0]
⇒ f is maximum at x = e-1 = 1/e.

Example : Show that sin x(1 + cos x) is a maximum when x = π/3. 

Let f(x) = sin x(1 + cos x)
then f'(x) = sin x(- sin x) + cos x(1 + cos x)
= cos2 x - sin2 x + cos x = cos 2x + cos x
f”(x) = -2 sin 2x - sin x
For max. or min., f(x) = 0
⇒ cos 2x + cos x = 0 ⇒ Functions of One Variable - II | Mathematics for Competitive Exams
⇒ either Functions of One Variable - II | Mathematics for Competitive Exams
Here we have to consider only the point x = π/3
Functions of One Variable - II | Mathematics for Competitive Exams
⇒ f(x) has a maximum at x = π/3.

Example: Find the maximum and minimum values of the functionFunctions of One Variable - II | Mathematics for Competitive Exams

Let Functions of One Variable - II | Mathematics for Competitive Exams
then f'(x) = cos x + cos 2x + cos 3x
f"(x) = - [sin x + 2 sin 2x + 3 sin 3x]  
For max. or min., f’(x) = 0
⇒ cos x + cos 2x + cos 3x = 0 ⇒ (cos 3x + cos x) + cos 2x = 0
⇒ 2 cos 2x cos x + cos 2x = 0 ⇒ cos 2x(2 cos x + 1) = 0
⇒ either cos 2x = 0 or cos x = -(1/2)
Functions of One Variable - II | Mathematics for Competitive Exams
When Functions of One Variable - II | Mathematics for Competitive Exams
⇒ f is maximum at x = π/4
Functions of One Variable - II | Mathematics for Competitive Exams
When x = Functions of One Variable - II | Mathematics for Competitive Exams
⇒ f  is maximum at x = 2π/3
Functions of One Variable - II | Mathematics for Competitive Exams
When Functions of One Variable - II | Mathematics for Competitive Exams
Functions of One Variable - II | Mathematics for Competitive Exams
⇒ f is maximum at x = 3π/4
Functions of One Variable - II | Mathematics for Competitive Exams
Functions of One Variable - II | Mathematics for Competitive Exams

Example : Prove that the function f(0) = sinp θ cosq θ has a maximum at q = tan-1Functions of One Variable - II | Mathematics for Competitive Exams

f(θ) = sinp θ cosq θ
f’(θ) = sinp θ . θ cosq-1 θ (- sin θ) + p sinp-1 θ (cos θ) cosq θ
= - q sinp-1 θ cosq-1 θ + p sinp - 1 θ cos q+1 θ
= sinp-1 θ cosq-1 θ(p cos2 θ - q sin2 θ)
For maxima or minima, f(θ) = 0
⇒ sin θ = 0 or cos θ = 0 or p = cos2 θ = q sin2 θ
Functions of One Variable - II | Mathematics for Competitive Exams
Also f"(θ) = sinP-1 θ cosq-1 θ (p cos2θ - q sin2θ)
Functions of One Variable - II | Mathematics for Competitive Exams
∴ f"(θ) = f(θ) [ - p cosec2θ - q sec2θ] + f’(θ) (p cot θ - q tan θ)
At θ  Functions of One Variable - II | Mathematics for Competitive Exams
∴ f”(θ) = -f(θ) [p cosec2 θ + q sec2 θ] at θ = tan-1Functions of One Variable - II | Mathematics for Competitive Exams which is negative
Hence f(θ) is maximum at θ = Functions of One Variable - II | Mathematics for Competitive Exams

Indeterminate forms and L'Hospital's Rule

Theorem : (L’Hospital’s Rule) : Suppose f and g are differentiable and g’(x) ≠ 0 near a (except possible at a). Suppose that Functions of One Variable - II | Mathematics for Competitive Exams
or that Functions of One Variable - II | Mathematics for Competitive Exams
(In other words, we have an indeterminate form of type Functions of One Variable - II | Mathematics for Competitive Exams). Then 

Functions of One Variable - II | Mathematics for Competitive Exams if the limit on the right side exists (or is ∞ or -∞).
Indeterminate Forms of Type Functions of One Variable - II | Mathematics for Competitive Exams

Example: Find Functions of One Variable - II | Mathematics for Competitive Exams

We have
Functions of One Variable - II | Mathematics for Competitive Exams
In short,Functions of One Variable - II | Mathematics for Competitive Exams

Example : FindFunctions of One Variable - II | Mathematics for Competitive Exams

We have
Functions of One Variable - II | Mathematics for Competitive Exams 

Functions of One Variable - II | Mathematics for Competitive Exams
In short, Functions of One Variable - II | Mathematics for Competitive Exams

Example : Find Functions of One Variable - II | Mathematics for Competitive Exams

We have Functions of One Variable - II | Mathematics for Competitive Exams
Functions of One Variable - II | Mathematics for Competitive Exams

Example: Find Functions of One Variable - II | Mathematics for Competitive Exams

We have
Functions of One Variable - II | Mathematics for Competitive Exams

Example : Find Functions of One Variable - II | Mathematics for Competitive Exams

We have
Functions of One Variable - II | Mathematics for Competitive ExamsFunctions of One Variable - II | Mathematics for Competitive Exams
Since Functions of One Variable - II | Mathematics for Competitive Exams is an indeterminate form of type 0/0, we can use L’Hospital’s Rule again. But it is easier to do trigonometry instead. Note that 1 - sec2 5x = - tan2 5x. Therefore Functions of One Variable - II | Mathematics for Competitive Exams
Functions of One Variable - II | Mathematics for Competitive Exams

Example : Find Functions of One Variable - II | Mathematics for Competitive Exams

Functions of One Variable - II | Mathematics for Competitive Exams
One can show, however, that Functions of One Variable - II | Mathematics for Competitive Exams does not exist. In fact, we first note that 1 + cos x and 1 - sin x may attain any value between 0 and 2. From this one can deduce that 

Functions of One Variable - II | Mathematics for Competitive Exams attains any nonnegative value infinitely often as x → ∞. This means that 

Functions of One Variable - II | Mathematics for Competitive Exams does not exist, so L’Hospital’s Rule can’t be applied here.

Example : Find Functions of One Variable - II | Mathematics for Competitive Exams

We have
Functions of One Variable - II | Mathematics for Competitive Exams
The is WRONG. In fact, although the numerator sin x → 0 as x → π-, notice that the denominator (1 - cos x) does not approach 0, so L’Hosptial Rule can’t be applied here. The required limit is easy to find, because the function is continuous at n and the denominator is nonzero here:
Functions of One Variable - II | Mathematics for Competitive Exams

Example : Find Functions of One Variable - II | Mathematics for Competitive Exams

We have Functions of One Variable - II | Mathematics for Competitive Exams

Indeterminate Forms of Type ∞ - ∞ and 0 • ∞

Example : Find Functions of One Variable - II | Mathematics for Competitive Exams

We have Functions of One Variable - II | Mathematics for Competitive Exams
Note that Functions of One Variable - II | Mathematics for Competitive Exams
therefore Functions of One Variable - II | Mathematics for Competitive Exams

OR

Functions of One Variable - II | Mathematics for Competitive Exams
Functions of One Variable - II | Mathematics for Competitive Exams

Example : Find Functions of One Variable - II | Mathematics for Competitive Exams

We have
Functions of One Variable - II | Mathematics for Competitive Exams
Functions of One Variable - II | Mathematics for Competitive Exams
Functions of One Variable - II | Mathematics for Competitive Exams
Functions of One Variable - II | Mathematics for Competitive Exams
Functions of One Variable - II | Mathematics for Competitive Exams
Functions of One Variable - II | Mathematics for Competitive Exams

Example : Find Functions of One Variable - II | Mathematics for Competitive Exams

Note that Functions of One Variable - II | Mathematics for Competitive Exams type of an indeterminate form. Put y = (tan x)2x-n
then
In y = In ((tan x)2x-π) = (2x - π) ln(tan x)
Functions of One Variable - II | Mathematics for Competitive Exams
We have
Functions of One Variable - II | Mathematics for Competitive Exams
Functions of One Variable - II | Mathematics for Competitive Exams
Functions of One Variable - II | Mathematics for Competitive Exams
Functions of One Variable - II | Mathematics for Competitive Exams
Functions of One Variable - II | Mathematics for Competitive Exams
Therefore Functions of One Variable - II | Mathematics for Competitive Exams

Example : Find Functions of One Variable - II | Mathematics for Competitive Exams

In short, y = xx ⇒ In y = x In x = Functions of One Variable - II | Mathematics for Competitive Exams
We have Functions of One Variable - II | Mathematics for Competitive Exams
Therefore Functions of One Variable - II | Mathematics for Competitive Exams

Example : Find Functions of One Variable - II | Mathematics for Competitive Exams

Note that Functions of One Variable - II | Mathematics for Competitive Exams (tan 5x)x is 0° type of an indeterminate form. Put y = (tan 5x)x
then
In y = ln(tan 5x)= x ln(tan 5x) = Functions of One Variable - II | Mathematics for Competitive Exams
We have Functions of One Variable - II | Mathematics for Competitive Exams
Functions of One Variable - II | Mathematics for Competitive Exams
Functions of One Variable - II | Mathematics for Competitive Exams

Functions of One Variable - II | Mathematics for Competitive Exams

Functions of One Variable - II | Mathematics for Competitive Exams
Functions of One Variable - II | Mathematics for Competitive Exams

Therefore
Functions of One Variable - II | Mathematics for Competitive Exams

Example : Find Functions of One Variable - II | Mathematics for Competitive Exams

Note that Functions of One Variable - II | Mathematics for Competitive Exams is 00 type of an indeterminate form. Put y = (sin 2x)tan 3x
then In y = ln((sin 2x)tan 3x) = tan 3x ln(sin 2x) = Functions of One Variable - II | Mathematics for Competitive Exams
We have
Functions of One Variable - II | Mathematics for Competitive Exams
Functions of One Variable - II | Mathematics for Competitive Exams

Functions of One Variable - II | Mathematics for Competitive Exams
Functions of One Variable - II | Mathematics for Competitive Exams
Therefore Functions of One Variable - II | Mathematics for Competitive Exams

Example : Find Functions of One Variable - II | Mathematics for Competitive Exams

Note that Functions of One Variable - II | Mathematics for Competitive Exams is 1∞ type of an indeterminate form. Put y = Functions of One Variable - II | Mathematics for Competitive Exams then
In y = In Functions of One Variable - II | Mathematics for Competitive Exams
We have
Functions of One Variable - II | Mathematics for Competitive Exams
Functions of One Variable - II | Mathematics for Competitive Exams
Functions of One Variable - II | Mathematics for Competitive Exams
Functions of One Variable - II | Mathematics for Competitive Exams
Therefore, Functions of One Variable - II | Mathematics for Competitive Exams

Example : Find Functions of One Variable - II | Mathematics for Competitive Exams (1 + sin 7x)cot.5x.

Note that Functions of One Variable - II | Mathematics for Competitive Exams is 1 type of an indeterminate form. Put y = (1 + sin 7x)cot 5x
then
In y = ln((1 + sin 7x)cot 5x) = cot 5x ln(1 + sin 7x) = Functions of One Variable - II | Mathematics for Competitive Exams
We have
Functions of One Variable - II | Mathematics for Competitive Exams
Functions of One Variable - II | Mathematics for Competitive Exams
Functions of One Variable - II | Mathematics for Competitive Exams
Therefore Functions of One Variable - II | Mathematics for Competitive Exams

The document Functions of One Variable - II | Mathematics for Competitive Exams is a part of the Mathematics Course Mathematics for Competitive Exams.
All you need of Mathematics at this link: Mathematics
98 videos|34 docs|32 tests

FAQs on Functions of One Variable - II - Mathematics for Competitive Exams

1. What is Rolle's Theorem?
Ans. Rolle's Theorem states that if a function is continuous on a closed interval [a, b] and differentiable on the open interval (a, b), and if the function values at both endpoints are equal, then there exists at least one point c in the open interval (a, b) where the derivative of the function is zero.
2. What is the Mean Value Theorem?
Ans. The Mean Value Theorem states that if a function is continuous on a closed interval [a, b] and differentiable on the open interval (a, b), then there exists at least one point c in the open interval (a, b) where the instantaneous rate of change (derivative) of the function is equal to the average rate of change of the function over the interval [a, b].
3. What is Taylor's Theorem?
Ans. Taylor's Theorem provides an approximation of a function using its derivatives at a specific point. It states that if a function f is infinitely differentiable on an open interval containing a point c, then the function can be approximated by a polynomial (Taylor polynomial) centered at c, which is equal to the function's value, its derivative's value, its second derivative's value, and so on, at c.
4. How do you find the maxima and minima of a function?
Ans. To find the maxima and minima of a function, one can follow these steps: 1. Find the critical points of the function by setting the derivative equal to zero or finding points where the derivative does not exist. 2. Determine the nature of these critical points by using the second derivative test or the first derivative test. 3. Evaluate the function at the critical points and the endpoints of the interval to find the maximum and minimum values.
5. What are indeterminate forms and how does L'Hospital's Rule help with them?
Ans. Indeterminate forms are expressions that cannot be determined solely by their limit values. Examples include 0/0, ∞/∞, 0*∞, and ∞ - ∞. L'Hospital's Rule provides a technique to evaluate limits of functions that result in these indeterminate forms. It states that if the limit of the ratio of two functions in an indeterminate form can be determined, then the limit is equal to the ratio of the derivatives of the two functions at that point. This rule helps simplify the evaluation of limits in such cases.
Related Searches

past year papers

,

video lectures

,

shortcuts and tricks

,

practice quizzes

,

Sample Paper

,

Free

,

Functions of One Variable - II | Mathematics for Competitive Exams

,

study material

,

Extra Questions

,

ppt

,

Previous Year Questions with Solutions

,

Functions of One Variable - II | Mathematics for Competitive Exams

,

Important questions

,

MCQs

,

Summary

,

pdf

,

Objective type Questions

,

Exam

,

Semester Notes

,

Functions of One Variable - II | Mathematics for Competitive Exams

,

Viva Questions

,

mock tests for examination

;