Question 1: There are 6 person ; A ,B, C, D, E and F. A has 3 items more than C
D has 4 items less than B
E has 6 items less than F
C has 2 items more than E
F has 3 items more than D
Which one of the following figure can not be equal to the total number of items possessed by all the 6 persons? [2005]
(a) 41
(b) 4
(c) 53
(d) 58
Correct Answer is Option (c).
A = C + 3, D = B - 4, E = F - 6C = E + 2, F = D + 3
On adding, we get A = B - 2
Total number of items = A + B + C + D + E + F
=A + (A + 2) + (A - 3) + (A - 2) + (A - 5) + (A + 1)
= 6A - 7
If A= 8, Total number of items = 8 × 6 - 7 = 41
For A = 9, Total number of items = 9 × 6 - 7 = 47
For A = 10, Total number of items = 10 × 6 - 7 = 53
Question 2: Left pan of a faulty weight weighs 100 gram more than its right pan. A shopkeeper keeps the weight measure in the left pan while buying goods but keeps it in the right pan while selling his goods. He uses only 1 kg weight measure. If he sells his goods at the listed cost price, what is his gain? [2005]
(a) 200/11 %
(b) 100/11 %
(c) 1000/9 %
(d) 200/9 %
Correct Answer is Option (a).
Let the purchased amount be 1100 kg and the cost price of 1100 kg be ₹ x.
Therefore, he pays for 1000 kg and buys 1100 kg.
Cost price of 1000 kg = ₹(10/11)x
Therefore, net profit = ₹(x/11)
Similarly while selling, if he sells 1000 kg. He would actually be selling 900 kg at the price of 1000 kg.
Similarly, once again the profit would be ₹(x/11)
Therefore, total profit = ₹(2x/11)
In terms of percentage, this would be 200/11%.
Question 3: Three bells toll at intervals of 9, 12 and 15 minutes respectively. All the three begin to toll at 8 a.m. At what time will they toll together again? [2003]
(a) 8.45 a.m.
(b) 10. 30 a.m.
(c) 11.00 a.m.
(d) 1. 30 p.m.
Correct Answer is Option (c).
Bells will toll together again at a time, which is obtained by taking L.C.M. of their individual tolling intervals.
L.C.M. of 9, 12 and 15 = 180 min They will toll together again after 180 min, i.e. 3 hours.
Time = 8 + 3 = 11 a.m.
Question 4: A trader fixed the price of an article in such a way that by giving a rebate of 10% on the price fixed, he made a profit of 15%. If the cost of the article is ₹ 72, the price fixed on it, is [2002]
(a) ₹ 82.80
(b) ₹ 90.00
(c) ₹ 92.00
(d) ₹ 97.80
Correct Answer is Option (c).
Selling price = Cost price (1 + % Gain)
= Marked price (1 - % Discount)
Marked price
Question 5: In a company, 60% of the employees are men. Of these 40% are drawing more than ₹ 50,000 per year. If 36% of the total employees of the company draw more than ₹ 50,000 per year, what is the percentage of women who are drawing less than ₹ 50,000 per year? [2002]
(a) 70
(b) 60
(c) 40
(d) 30
Correct Answer is Option (a).
Let total number of employees be 100
Number of men =
Number of men drawing more than ₹ 50000
Since number of total employees drawing more than
Number of women who draw more than ₹ 50000
= 36 - 24 = 12
Number of women who draw less than ₹ 50000
= 40 - 12 = 28
Percentage of women who draw less than ₹ 50,000 per year
Question 6: The age of a man is three times the sum of the ages of his two sons. Five years hence, his age will be double of the sum of the ages of his sons. The father's present age is [2002]
(a) 40 years
(b) 45 years
(c) 50 years
(d) 55 years
Correct Answer is Option (b).
Let the father 's present age be x and son's age be x1 and x2.
Now, x = 3(x1 + x2) .....(i)
Also, x + 5 = 2(x1 + 5 + x2 + 5)
x + 5 = 2(x1 + x2 + 10) .....(ii)
Putting value of (x1 + x2) = x/3 from (i) in equation (ii)
x = 45
Question 7: When the time in the wall-clock is 3.25 p.m., the acute angle between the hours-hand and the minutes-hand is [2002]
(a) 60°
(b) 52.5°
(c) 47.5°
(d) 42°
Correct Answer is Option (c).
In a clock, the angle between two successive numbers is 360°¸ 12 = 30°. When the time is 3.25 pm, the minute hand will be on 5 and will have moved 60° from 3 and hour hand would be between 3 and 4 and as it moves 30° in 60 minutes, so in 25 minutes, it would move
So the difference between two hands will be = 60° - 12.5° = 47.5°
Question 8: Amit started a business by investing ₹ 30,000. Rahul joined the business after some time and invested ₹ 20,000. At the end of the year, profit was divided in the ratio of 2 : 1. After how many months did Rahul join the business? [2002]
(a) 2
(b) 3
(c) 4
(d) 5
Correct Answer is Option (b).
Let after 't' months Rahul joined the business. Hence Amit does business for 1 year and Rahul for (12 - t) months.
They will share the profit in ratio 30000 × 12 : 20000 × (12 - t) = 2 : 1
⇒
⇒ 40000 t = 480000 - 360000
⇒ 40000 t = 120000
t = 3 months
Question 9: In 1930, a person's age was 8 times that of his Son. In 1938, the father's age became ten times that of his son's age in 1930. The ages of the son and father in 1940 were respectively [2001]
(a) 16 years, 58 years
(b) 15 years, 50 years
(c) 14 years, 42 years
(d) 13 years, 34 years
Correct Answer is Option (c).
Let son's age in 1930 be x years then father's age in 1930 will be 8x years
In 1938, father's age = (8x + 8) years
As per the question, 8x + 8 = 10x
∴ 2x = 8
or x = 4 years
Hence son's age in 1930 = 4 years
Father's age in 1930 = 8(4) = 32
Therefore, the age of son and father in 1940 will be 14 years and 42 years respectively.
Question 10: In a survey, it was found that 80% of those surveyed owned a car while 60% of those surveyed owned a mobile phone. If 55% owned both a car and a mobile phone, what percent of those surveyed owned a car or a mobile phone or both? [2001]
(a) 65%
(b) 80%
(c) 85%
(d) 97.5%
Correct Answer is Option (c).
Percentage of car owners = 80%
Percentage of mobile phone owners = 60%
Percentage of people having both car and mobile phone = 55%
Percentage of people having only car = 80 - 55 = 25%
Percentage of people having only mobile phone = 60 - 55 = 5%
Percentage of people having a car or a mobile phone or both = 55% + 25% + 5% = 85%.
Question 11: A city has a population of 3,00,000 out of which 1,80,000 are males. 50% of the population is literate. If 70% of the males are literate, the number of literate females is [ 2001]
(a) 24,000
(b) 30,000
(c) 54,000
(d) 60,000
Correct Answer is Option (a).
Literate population = 50/100(300000) = 150000
Male literate population = 70/100(180000) = 126000
∴ Literate female population = 150000 - 126000 = 24000
Question 12: Water is filled in a container in such a manner that its volume doubles after every five minutes. If it takes 30 minutes for the container to be full, in how much time will it be one fourth full? [2001]
(a) 7 minutes and 30 seconds
(b) 10 minutes
(c) 20 minutes
(d) 25 minutes
Correct Answer is Option (c).
Container is filled in 30 min.
∴ Container is half-filled in (30 - 5) = 25 min
Hence, time taken for the container to be one-fourth filled = (25 - 5) = 20 min.
Question 13: For the system of equations x2 + y2 = 34, x4 - y4 = 544, the values of x and y are [2001]
(a) + 4, +, 3
(b) + 5, + 3
(c) + 3, + 5
(d) + 3, + 4
Correct Answer is Option (b).
The given equations are
x2 + y2 = 34 .....(i)
x4 - y4 = 544
(x2)2 - (y2)2 = 544
(x2 + y2)(x2 - y2) = 544 .....(ii)
Putting value of (i) in (ii),
34(x2 - y2) = 544
x2 - y2 = 16Now, checking it with the given options, only x = 5 and y = 3 satisfies it.
Question 14: In a class there are 18 boys who are over 160 cm tall. If these boys constitute three fourths of the boys and the total number of boys is two-third of the number of students in the class, then what is the number of girls in the class? [2000]
(a) 6
(b) 12
(c) 18
(d) 24
Correct Answer is Option (b).
Let the total No. of boys be n.
Now, number of boys above 160 cm height = 18
(3/4) n = 18
n = 24
Also, let total no. of students be N.
Then, (2/3)N = 24
N = (3/2)(24) = 36
∴ Number of girls = N - n = 36 - 24 = 12
Question 15: The given diagram shows the number of students who failed in an examination comprising papers in English, Hindi and Mathematics. The total number of students who took the test is 500. What is the percentage of students who failed in atleast two subject? [2000]
(a) 6.8
(b) 7.8
(c) 34
(d) 39
Correct Answer is Option (b).
No. of students who failed in Hindi and English = 10
No. of students who failed in English and Maths = 12
No. of students who failed in Maths and Hindi = 12
No. of students who failed in Maths, English and Hindi = 5
∴ Total No. of students who failed in atleast two subjects = No. of students failed in any two subjects + No. of students failed in 3 subjects = 10 + 12 + 12 +5 = 39
∴ % of students failed in atleast 2 subjects = (39/500) x 100 = 7.8
Question 16: If x = -2, then x3 - x2 - x - 1 is equal to [ 2000]
(a) 1
(b) -3
(c) -11
(d) -15
Correct Answer is Option (c).
(-2)3 - (-2)2 - (-2) - 1 = -11
Question 17: The monthly income of Komal and Asha are in the ratio of 4 : 3. Their monthly expenses are in the ratio of 3 : 2. However, both save ₹ 600 per month. What is their total monthly income? [2000]
(a) ₹ 8,400
(b) ₹ 5,600
(c) ₹ 4,200
(d) ₹ 2,800
Correct Answer is Option (c).
Let monthly income of Komal and Asha be 4x and 3x Also, let monthly expenses of Komal and Asha be 3y and 2y.
Now, 4x - 3y = 600 ......(i)
3x - 2y = 600 .....(ii)
Solving (i) and (ii), x = 600 and y = 600
∴ Total monthly income = (4 + 3)(600) = ₹ 4200
Question 18: An accurate clock shows 8 o' clock in the morning. Throughout how many degrees will the hour hand rotate, when the clock shows 2 o'clock in the afternoon? [2000]
(a) 150°
(b) 144°
(c) 168°
(d) 180°
Correct Answer is Option (d).
Angle made by hour hand for 12 hours = 360°
Angle made by hour hand for 1 hour = 360°/12
∴ Angle made by hour hand for 6 hours = 360°/12 (6) = 180°
Question 19: A club has 108 members. Two-thirds of them are men and the rest are women. All members are married except for 9 women members. How many married women are there in the club? [2000]
(a) 20
(b) 24
(c) 27
(d) 30
Correct Answer is Option (c).
No. of women = 1/3(108) = 36
∴ No. of married women = No of women - No of unmarried women = 36 - 9 = 27
Question 20: In an examination, every candidate took Physics or Mathematics or both. 65.8% took Physics and 59.2% took Mathematics. The total number of candidates was 2000. How many candidates took both Physics and Mathematics? [2000]
(a) 750
(b) 500
(c) 250
(d) 125
Correct Answer is Option (b).
Let x% candidates take both the subjects.
Percentage of candidates who opted for Physics = 65.8% and Percentage of candidates who opted for Mathematics = 59.2%
∴ x = (65.8 + 59.2 - 100)%
= (125 - 100)% = 25%
Now, total number of candidates = 2000
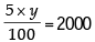
∴ Number of candidates who opted for both the subjects
= 25% of 2000 =
Question 21: In a town 25% families own a phone and 15% own a car. 65% families own neither a phone nor a car. 2000 families own both a phone and a car. Consider the following statements in this regard: [1999]
Which of the above statements are correct?
(a) 1 and 2
(b) 1 and 3
(c) 2 and 3
(d) 1, 2 and 3
Correct Answer is Option (c).
Suppose x% families own both a car and a phone, then percentage of the families owing only a phone = 25 - x
Percentage of the families owing only a car = 15 - x
∴ Now, (25 - x) + (15 - x) + x + 65 = 100
x = 5
Percentage of families who have either a car or a phone = (25 - 5) + (15 -5) + 5 = 35
So statement (2) is correct.
Let the total number of families in the town be y.
∴ x % of y =
y = 40000
So statement (3) is also correct.
Question 22: In the sequence of numbers 5, 8, 13, X, 34, 55, 89, . . ., the value of X is [1999]
(a) 20
(b) 21
(c) 23
(d) 29
Correct Answer is Option (b).
Given pattern :
A number is obtained by summation of previous two numbers.
13 = 8 + 5, X = 8 + 13 = 21, 21 + 34 = 55 and so on.
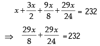
Question 23: Amar, Akbar and Anthony are friends, being looked after by a matron Farah, Amar weighs 50% more than Akbar and Anthony weighs 25% less than Amar. Farah weighs a third of the combined weight of the three boys. All four together weigh 232kg. The correct arrangement of the persons in the ascending order of their weights, is : [1999]
(a) Anthony, Akbar, Farah, Amar
(b) Anthony, Akbar, Amar, Farah
(c) Akbar, Anthony, Amar, Farah
(d) Akbar, Anthony, Farah, Amar
Correct Answer is Option (b).
Let weight of Akbar = x kg.
then weight of Amar = (3x/2) kg
and weight of Anthony =
Hence weight of Farah
According to question
⇒ 116x = 5568
⇒ x = 48
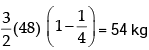
∴ Amar 's weight = (3/2)48 = 72 kg
Anthony's weight =
Akbar's weight = 48 kg
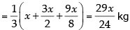
and Farah's weight = (29/24) x 48 = 58 kg
∴ Arrangement of persons in the ascending order :
Akbar < Anthony < Farah < Amar.
Question 24: In an office, the distribution of work hours is as shown in the following table [1999]
Consider the following inferences drawn from the table:
Which of these inferences is/are valid?
(a) 1 alone
(b) 2 alone
(c) 1 and 2
(d) 1, 2 and 3
Correct Answer is Option (c).
Average number of hours
Number of persons who worked 35 or more hours = 18 + 8 = 23
∴ % of such persons = (23/94) x 100 = 24.468 < 25
So, Inference 1 and 2 are valid.
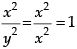
Question 25: If x + 2y = 2x + y, then x2 /y2 is equal to [ 1999]
(a) 0
(b) 1
(c) 2
(d) 4
Correct Answer is Option (b).
2x + y = x + 2y
x = y
Now,
Question 26: The missing fraction in the series given below is:
[1998]
(a) 17/40
(b) 19/42
(c) 20/45
(d) 29/53
Correct Answer is Option (b).
Given pattern :
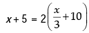
Question 27: In a family, a couple has a son and daughter. The age of the father is three times that of his daughter and the age of the son is half of his mother. The wife is nine years younger to her husband and the brother is seven years older than his sister. What is the age of the mother? [1998]
(a) 40 years
(b) 45 years
(c) 50 years
(d) 60 years
Correct Answer is Option (d).
Let the mother 's age be y years.
∴ The age of father = (y + 9) years
The age of son = y/2 years
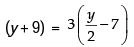
The age of daughter = ((y/2) - 7) years
Now according to the given condition,
⇒ y = 60 years.
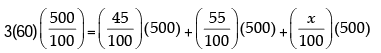
Question 28: Out of the three annual examination, each with a total of 500 marks, a student secured average marks of 45% and 55% in the first and second annual examinations. To have an overall average of 60%, how many marks does the student need to secure in the third annual examination? [1998]
(a) 450
(b) 400
(c) 350
(d) 300
Correct Answer is Option (b).
Let the average marks in the third Annual examination be x.
Total marks = (Marks in first + second + third) Annual examination
3(60) = 45 + 55 + x
x = 80
∴ Average marks in the third annual examination
= (80/100)(500) = 400
Question 29: If 15 pumps of equal capacity can fill a tank in 7 days, then how many extra pumps will be required to fill the tank in 5 days? [1998]
(a) 6
(b) 7
(c) 14
(d) 21
Correct Answer is Option (a).
No. of pumps required to fill a tank in 7 days = 15
∴ No. of pumps required to fill a tank in 1 day
= 15 × 7 = 105 ......(i)
Let the extra pumps required be n.
Now, no of pumps required to fill the tank in 1 day
=(n + 15) 5 ......(ii)
From (i) and (ii),
(n + 15) 5 = 105
n + 15 = 21
n = 6
Question 30: A man purchases two clocks A and B at a total cost of ₹650. He sells A with 20% profit and B at a loss of 25% and gets the same selling price for both the clocks. What are the purchasing prices of A and B respectively? [1998]
(a) ₹ 225; ₹ 425
(b) ₹ 250; ₹ 400
(c) ₹ 275; ₹ 375
(d) ₹ 300; ₹ 350
Correct Answer is Option (b).
Let the cost price of clocks A and B be 'a' and (650-a) respectively.
Selling price for A= Selling price for B
a = 250
Cost price for B = 650 - 250 = 400
Question 31: An accurate clock shows the time as 3.00. After hour hand has moved 135°, the time would be [1998]
(a) 7.30
(b) 6. 30
(c) 8.00
(d) 9.30
Correct Answer is Option (a).
Hour hand covers an angle of 360° in 12 hours.
∴ Time taken to cover an angle of 135° = (12/360) x 135 = 4.5h
∴ Required time = 3 + 4.5 = 7.5 = 7:30
Question 32: There are 50 students admitted to a nursery class. Some students can speak only English and some can speak only Hindi. 10 students can speak both English and Hindi. If the number of students who can speak English is 21, then how many can speak Hindi, how many can speak only Hindi and how many can speak only English? [1998]
(a) 21, 11 and 29 respectively
(b) 28, 18 and 22 respectively
(c) 37, 27 and 13 respectively
(d) 39, 29 and 11 respectively
Correct Answer is Option (d).
Number of students who speak only English = (Number of students who speak English - Number of students who speak both Hindi and English) = 21 - 10 = 11
Number of students who speak Hindi = (Total no of students - No of students who speak only English) = 50 - 11 = 39
∴ Number of students who speak only Hindi = (Number of Hindi speaking students - no of students who speak both languages) = 39 - 10 = 29.
Question 33: The number of times in a day the Hour-hand and the Minute hand of a clock are at right angles, is [ 1997]
(a) 44
(b) 48
(c) 24
(d) 12
Correct Answer is Option (b).
No. of right angles in one hour = 2
∴ No. of right angles in 24 hours = 24 × 2 = 48
Question 34: A survey was conducted on a samples of 1000 persons with reference to their knowledge of English, French and German. The results of the survey are presented in the given Venn diagram. The ratio of the number of the persons who do not know any of the three languages to those who know all the three language, is [1997]
(a) 1/27
(b) 1/25
(c) 1/550
(d) 175/1000
Correct Answer is Option (b).
Total number of persons who know only English or french or German = 170 + 180 + 200 = 550
Number of persons who know any two languages = 105 + 85 + 78 = 268
Number of persons who know all the three languages = 175
∴ Number of persons who know any of the language = 550 + 268 + 175 = 993
Number of persons who do not know any of the language = 1000 - 993 = 7
∴ Required ratio = 7/175 = 1/25.
Question 35: In a group of persons travelling in a bus, 6 persons can speak Tamil, 15 can speak Hindi and 6 can speak Gujrati. In that group none can speak any other language. If 2 persons in the group can speak two languages and one person can speak all the three languages, then how many persons are there in the group? [1997]
(a) 21
(b) 22
(c) 23
(d) 24
Correct Answer is Option (d).
Total number of Hindi, Tamil and Gujrati speaking people = 15 + 6 + 6 = 27
Two persons of this group can speak 2 languages while one can speak 3 languages.
The third person who knows 3 languages can also speak 2 languages.
He should not be called on two places
Hence, number persons = 27 - 3 = 24.
Question 36: The average monthly income of person in a certain family of 5 Persons is ₹1000. What will be monthly average income of person in the same family if the income of one person increased by ₹12000 per year? [1997]
(a) ₹1200
(b) ₹1600
(c) ₹2000
(d) ₹3400
Correct Answer is Option (a).
Total income of the family per month = 5 × 1000 = ₹5000 per month
Increased amount= 12000/12 = ₹1000 per month
Now total amount of the family per month = ₹6000
So the average income of the family per month (after increasing) = 6000/5 = ₹1200
Question 37: If A = x2 - y2, B = 20 and x + y = 10, then [1996]
(a) A is greater than B
(b) B is greater than A
(c) A is equal to B
(d) It is not possible to compare A and B as the data provided is inadequate
Correct Answer is Option (d).
A = x2 - y2 = (x + y)(x - y) = 10 (x - y)
B = 20
Now, it is not possible to compare A and B, as the value of x and y is not known.
Question 38: If the price of a television set is increased by 25%, then by what percentage should the new price be reduced to bring the price back to the original level? [1996]
(a) 15%
(b) 25%
(c) 20%
(d) 30%
Correct Answer is Option (c).
Let the original price be x.
Increased price =
Reduction in price to bring it back to its original value
% Reduction =
Question 39: The average of x1, x2 and x3 is 14. Twice the sum of x2 and x3 is 30. What is the value of x1? [1996]
(a) 20
(b) 27
(c) 16
(d) 2
Correct Answer is Option (b).
x2 + x3 = 42 - x1 ......(i)
2(x2 + x3) = 30
x2 + x3 = 15 ......(ii)
Putting (i) in (ii), x1 = 27
Question 40: A person earns ₹ 2000 per month over and above his salary as additional charge allowance. However, 30% of this additional income will be deducted as additional income tax at source. If the person would deposit ₹ 1000 per month on a long term saving fetching 12% interest his tax liability on the additional allowance would reduce to 10%. What is the effective interest for this person for money invested in the long term savings scheme? [1995]
(a) 12%
(b) 18%
(c) 19%
(d) 20%
Correct Answer is Option (b).