Q.1. Find the value of the following:
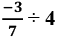
(i) 
(ii) 
(iii) 
(i) 
=
We get,
= -3/28
Hence, the value of= -3/28
(ii) 
This can be written as,
=
=
We get,
=
=
=
=
(iii) 
=
=
=
We get,
= 40/27
=
Q.2. State whether the following statements are true or false:
(i)
is a rational number.
The given statement is true.
(ii)
The given statement is false.
Correct: Commutative property is not true for the division
(iii) 
The given statement is false.
Correct: Associative in division is not true.
(iv)
The given statement is true.
(v) 
The given statement is true.
(vi)
is not a rational number.
The given statement is false.
Correct: It is a rational number
Q.3. The product of two rational numbers is -11/12. If one of them is 4/9, find the other.
Given
Product of two rational numbers = -11/12
One of the number =
The other number is calculated as below
=
We get,
= -3/8
Therefore, the other number is -3/8.
Q.4. By what rational number should -7/12 be multiplied to get the product as 5/14?
Given
Product = 5/14
The required number can be calculated as below
=
We get,
=
=
=
Hence, the required number is.
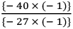
Q.5. By what rational number should - 3 is divided to get -9/13?
The required number can be calculated as follows:
=
We get,
=
=
= 13/3
=
Therefore, the required number is.
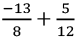
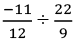
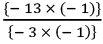
Q.6. Divide the sum of -13/8 and 5/12 by their difference.
Given
Sum of -13/8 and 5/12 is calculated as,
=
On further calculation, we get
=
We get,
=
Now,
Difference of -13/8 and 5/12 is calculated as,
=
We get,
=
=
Now,
=
=
=
We get,
=
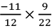
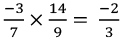
Q.7. Divide the sum of 8/3 and 4/7 by the product of -3/7 and 14/9.
Sum of 8/3 and 4/7 is calculated as below
We get,
= 68/21
Product of -3/7 and 14/9 is calculated as below
Hence,
We get,
= 34/-7
=
= -34/7
=
Q.8. If p = -3/2, q = 4/5 and r = -7/12, then verify that (p ÷ q) ÷ r ≠ p ÷ (q ÷ r).
Given
p = -3/2, q = 4/5 and r = -7/12
(p ÷ q) ÷ r ≠ p ÷ (q ÷ r)
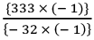
LHS = (p ÷ q) ÷ r
=
=
=
We get,
=
=
= 45/14
Now,
RHS = p ÷ (q ÷ r)
=
=
We get,
=
=
We get,
= 35/32
Therefore, LHS ≠ RHS