Q.1. Represent the following rational numbers on the number line.
(i) 11/4
(ii) 
(iii) -9/7
(iv) -2/-5
(i) 11/4
=
The given rational number on the number line is shown as below:
(ii) 
The given rational number on the number line is shown as below
(iii) -9/7
=
The given rational number on the number line is shown as below
(iv) -2/-5
=
We get,
= 2/5
The given rational number on the number line is shown as below
Q.2. Write the rational numbers for each point labeled with a letter:
(i) 
(ii) 
(i) The rational numbers for each point labeled with a letter are as follows:
A = 3/7
B = 7/7 = 1
C = 8/7 =
D = 12/7 =
E = 13/7 =
(ii) The rational numbers for each point labeled with a letter are as follows:
P = -3/8
Q = -4/8 = -1/2
R = -7/8
S = -11/8
T = -12/8 = -3/2
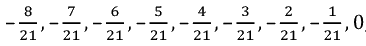
Q.3. Find twenty rational numbers between -3/7 and 2/3.
Twenty rational numbers between -3/7 and 2/3 can be calculated as follows:
We know that,
LCM of 7, 3 = 21
Hence,
We get,
= -9/21
We get,
= 14/21
Now, twenty rational numbers between -9/21 and 14/21 are,,
![]()
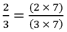
Q.4. Find six rational numbers between -1/2 and 5/4.
Six rational numbers between -1/2 and 5/4 can be calculated as below
LCM of 2, 4 = 4
We get,
= -2/4
Now, six rational numbers between -1/2 and 5/4 are as follows:
Q.5. Find three rational numbers between - 2 and - 1.
Three rational numbers between - 2 and - 1 can be calculated as below:
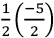
First rational number = 1/2 (-1 - 2)
We get,
= -3/2
Second rational number - 2 and -3/2
=
=
We get,
= -7/4
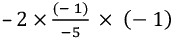
Third rational number between -3/2 and 1
=
=
=
We get,
= -5/4
Therefore, three rational numbers are.
Q.6. Write ten rational numbers which are greater than 0.
Ten rational numbers which are greater than 0
There can be the finite number of a rational number greater than 1.
Here, we shall take only 10 rational numbers.
The numbers are as follows:etc.
Q.7. Write five rational numbers which are smaller than - 4.
Five rational numbers which are smaller than - 4
These can be finite number of rational numbers smaller than - 4.
Here, we shall take only 5 rational numbers.
The numbers are as follows:, etc.
Q.8. Identify the rational number which is different from the other three. Explain your reasoning 
Given four rational number are,
Among the given numbers,
-7/3 is different from the other three numbers.
Because in -7/3 its denominator is less than its numerator.
In other numbers, denominators are greater than their numerators respectively.