CBSE Class 8  >  Class 8 Notes  >  ML Aggarwal: Rational Numbers - 6

ML Aggarwal: Rational Numbers - 6

Q.1. In a bag, there are 20 kg of fruits. If ML Aggarwal: Rational Numbers - 6 kg of these fruits be oranges and ML Aggarwal: Rational Numbers - 6kg of these are apples and rest are grapes. Find the mass of the grapes in the bag.

Given
Total fruits in a bag = 20 kg
Oranges = ML Aggarwal: Rational Numbers - 6kg i.e. 42/6 kg
Apples = ML Aggarwal: Rational Numbers - 6 kg i.e. 26/3 kg
Remaining fruits in a bag = ML Aggarwal: Rational Numbers - 6kg
= ML Aggarwal: Rational Numbers - 6
On further calculation, we get
= ML Aggarwal: Rational Numbers - 6
= ML Aggarwal: Rational Numbers - 6
= 25/6
= ML Aggarwal: Rational Numbers - 6kg
Therefore, the mass of the grapes in the bag is ML Aggarwal: Rational Numbers - 6kg.


Q.2. The population of a city is 6, 63,432. If 1/2 of the population are adult males and 1/3 of the population are adult females, then find the number of children in the city.

Given
Population of a city = 6, 63,432
Population of adult males = (1/2) f 6,63,432
= 3,31,716
Population of adult females = (1/3) f 6,63,432
= 2,21,144
Remaining population can be calculated as below
Remaining population = 6,63,432 - (3,31,716 + 2,21,144)
= 6,63,432 - 5,52,860
We get,
= 1,10,572
Therefore, number of children in a city are 1,10,572.


Q.3. In an election of housing society, there are 30 voters. Each of them gives the vote. Three persons X, Y and Z are standing for the post of Secretary. If Mr. X got 2/5 of the total votes and Mr. Z got 1/3 of the total votes, then find the number of votes which Mr. Y got.

Given
Number of votes = 3
Number of person for election = X, Y, Z
X got (2/5) of total votes = (2/5) of 30
= ML Aggarwal: Rational Numbers - 6
= 12
Z got 1/3 of total votes = 1/3 of 30
= ML Aggarwal: Rational Numbers - 6
= 10
Remaining votes can be calculated as below
= 30 - (12 + 10)
= 30 - 22
We get,
= 8
Therefore, Mr. Y got 8 votes


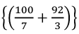
Q.4. A person earns Rs. 100 in a day. If he spent Rs. ML Aggarwal: Rational Numbers - 6 on food and Rs. ML Aggarwal: Rational Numbers - 6 on petrol. How much did he save on that day?

Given
A person's earning in a day = Rs 100
Money spent on food = Rs. ML Aggarwal: Rational Numbers - 6 = Rs. 100/7
Money spent on petrol = Rs. ML Aggarwal: Rational Numbers - 6 = Rs. 92/3
The savings of a person is calculated as follows:
Savings = Rs. 100 - ML Aggarwal: Rational Numbers - 6
= Rs. 100 - ML Aggarwal: Rational Numbers - 6
On further calculation, we get
= Rs. 100 -  ML Aggarwal: Rational Numbers - 6
= ML Aggarwal: Rational Numbers - 6
= Rs. ML Aggarwal: Rational Numbers - 6
= Rs. ML Aggarwal: Rational Numbers - 6
Hence, a person saved Rs. ML Aggarwal: Rational Numbers - 6 on that day.


Q.5. In an examination, 400 students appeared. If 2/3 of the boys and all 130 girls passed in the examination, then find how many boys failed in an examination?

Given
Number of students appeared exams = 400
(2/3) of total boys and all 130 girls passed in the examination.
Hence,
Number of total boys = 400 - 130
= 270
Number of boys passed = (2/3) of 270
= (2/3) x 270
= 180
So, number of boys failed = 270 - 180
= 90
Hence, 90 boys failed in an examination.


Q.6. A car is moving at the speed of ML Aggarwal: Rational Numbers - 6km / h. Find how much distance will it cover in 9/10 hrs.

Given
Speed of a car = ML Aggarwal: Rational Numbers - 6km / h = 122/3 km/h
Distance covered in 9/10 hours can be calculated as follows:
Distance = (122/3) x (9/10)
= 366/10
We get,
= 36.6 km
= ML Aggarwal: Rational Numbers - 6
Therefore, the distance covered by the car in 9/10 hours is ML Aggarwal: Rational Numbers - 6.


Q.7. Find the area of a square lawn whose one side is ML Aggarwal: Rational Numbers - 6 long.

Given
One side of a square lawn = ML Aggarwal: Rational Numbers - 6 = 52/9m
The area of a square lawn can be calculated as follows:
Area = (side)2
= (52/9)2
We get,
= ML Aggarwal: Rational Numbers - 6 sq. m
= ML Aggarwal: Rational Numbers - 6 sq .m
Therefore, the area of a square lawn is ML Aggarwal: Rational Numbers - 6 sq .m


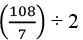
Q.8. Perimeter of a rectangle is ML Aggarwal: Rational Numbers - 6 m. If the length is ML Aggarwal: Rational Numbers - 6 m, find its breadth.

Given
Perimeter of a rectangle = ML Aggarwal: Rational Numbers - 6 m
= 108/7 m
So,
Length + Breadth = ML Aggarwal: Rational Numbers - 6
= ML Aggarwal: Rational Numbers - 6
We get,
= 54/7m
Given length = ML Aggarwal: Rational Numbers - 6 m
= 30/7m
Hence, breadth of a rectangle can be calculated as,
Breadth = ML Aggarwal: Rational Numbers - 6
= 24/7
= ML Aggarwal: Rational Numbers - 6m
Therefore, the breadth of a rectangle is ML Aggarwal: Rational Numbers - 6m.


Q.9. Rahul had a rope of ML Aggarwal: Rational Numbers - 6 m long. He cut off & ML Aggarwal: Rational Numbers - 6 m long piece, then he divided the rest of the rope into 3 parts of equal length. Find the length of each part.

Given
Length of a rope = ML Aggarwal: Rational Numbers - 6m
Length of one piece of rope after cut off = ML Aggarwal: Rational Numbers - 6m
Remaining length of a rope can be calculated as below
= ML Aggarwal: Rational Numbers - 6
We get,
= ML Aggarwal: Rational Numbers - 6m
= ML Aggarwal: Rational Numbers - 6
This length divided into three equal parts
So, length of each part can be calculated as follows:
Length of each part = ML Aggarwal: Rational Numbers - 6
= ML Aggarwal: Rational Numbers - 6
We get,
= ML Aggarwal: Rational Numbers - 6
= ML Aggarwal: Rational Numbers - 6
Therefore, the length of each part of a rope is ML Aggarwal: Rational Numbers - 6.


Q.10. If ML Aggarwal: Rational Numbers - 6litre of petrol costs Rs. ML Aggarwal: Rational Numbers - 6then find the cost of 4 litre of petrol.

Given
Cost of  ML Aggarwal: Rational Numbers - 6litre = 7/2 litre of petrol = Rs. ML Aggarwal: Rational Numbers - 6
= Rs. ML Aggarwal: Rational Numbers - 6
Hence, the cost of one litre can be calculated as below:
Cost of one litre = Rs. ML Aggarwal: Rational Numbers - 6
The cost of 4 litre of petrol can be calculated as below
Cost of 4 litre = Rs. ML Aggarwal: Rational Numbers - 6
We get,
= Rs 309
Therefore, the cost of 4 litre of petrol is Rs. 309.


Q.11. Ramesh earns Rs 40,000 per month. He spends 3/8 of the income on food, 1/5 of the remaining on LIC premium and then 1/2 of the remaining on other expenses. Find how much money is left with him?

Ramesh earnings per month = Rs. 40,000
Expenditure on food = (3/8) of Rs. 40, 000 = Rs. 15,000
Remaining amount = 40,000 - 15,000 = Rs. 25,000
Expenditure on LIC premium = (1/5) of Rs. 25,000 = Rs 5000
Remaining amount = Rs. 25000 - Rs. 5000 = Rs. 20,000
Expenditure on other expenses = (1/2) of Rs. 20,000 = Rs. 10,000
Remaining amount left = Rs. 20,000 - Rs. 10,000 = Rs. 10,000
Therefore, the remaining amount left with Ramesh is Rs. 10,000


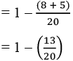
Q.12. A, B, C, D and E went to a restaurant for dinner. A paid 1/2 of the bill, B paid 1/5 of the bill and rest of the bill was shared equally by C, D and E. What fractions of the bill was paid by each?

Let us consider the total bill of the restaurant = 1
Bill paid by A = 1/2
Bill paid by B = 1/5
Remaining bill can be calculated as below:
Remaining bill = 1 - ML Aggarwal: Rational Numbers - 6
ML Aggarwal: Rational Numbers - 6
We get,
= 3/10
Shares of the three persons = ML Aggarwal: Rational Numbers - 6
ML Aggarwal: Rational Numbers - 6
Therefore, each paid (1/10) of the bill.


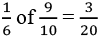
Q.13. 2/5 of total number of students of a school come by car while 1/4 of students come by bus to school. All the other students walk to school of which 1/3 walk on their own and the rest are escorted by their parents. If 224 students come to school walking on their own, how many students study in the school?

Let total number of students be 1
Students who come by car = 2/5
Students who come by bus = 1/4
Students who come by walking = 1/3 of remaining
Rest students = ML Aggarwal: Rational Numbers - 6
ML Aggarwal: Rational Numbers - 6
= 7/20
Number of students who come by walking can be calculated as below
Number of students who come by walking = 1/3 of 7/20 = 7/60
Now, 7/60 of total students = 224
Total students = ML Aggarwal: Rational Numbers - 6
= 32 × 60
= 1920
Hence, 1920 students study in the school.


Q.14. A mother and her two sons got a room constructed for Rs. 60,000. The elder son contributes 3/8 of his mother's contribution while the younger son contributes 1/2 of his mother's share. How much do the three contribute individually?

The cost of a room = Rs 60,000
Elder son contribution = 3/8 of his mother's contribution.
Younger son contribution = 1/2 of his mother's share
Let the mother contribution be 1
Elder son's contribution = 3/8
Younger son's contribution = 1/2
Now,
Ratios in their share = ML Aggarwal: Rational Numbers - 6
Sum of ratios = 8 + 3 + 4 = 15
Therefore,
Mother's share = ML Aggarwal: Rational Numbers - 6 = Rs. 32000
Elder son's share = ML Aggarwal: Rational Numbers - 6 = Rs. 12000
Younger son's share = ML Aggarwal: Rational Numbers - 6 = Rs. 16000


Q.15. In a class of 56 students, the number of boys is 2/5th of the number of girls. Find the number of boys and girls.

Total number of students in a class = 56
Let the number of girls be 1
Then number of boys will be = 2/5 of 1 = 2/5
Ratios in girls and boys = ML Aggarwal: Rational Numbers - 6
Number of girls = ML Aggarwal: Rational Numbers - 6
= ML Aggarwal: Rational Numbers - 6
And number of boys = (56/7) x 2 = 16
Therefore, number of boys = 16 and number of girls = 40


Q.16. A man donated 1/10 of his money to a school, 1/6th of the remaining to a church and the remaining money he distributed equally among his three children. If each child gets Rs. 50000, how much money did the man originally have?

Let the money of a man be 1
Money donated to a school = 1/10
Remaining money =  ML Aggarwal: Rational Numbers - 6
Money donated to a church = ML Aggarwal: Rational Numbers - 6
Hence, remaining money = ML Aggarwal: Rational Numbers - 6
= ML Aggarwal: Rational Numbers - 6
A man divides equally to his three children
Hence,
Share of each child = ML Aggarwal: Rational Numbers - 6
= ML Aggarwal: Rational Numbers - 6
Here, each child gets Rs. 50000
Therefore, his total money = Rs. 50000 × (4/1) = Rs. 200000


Q.17. If 1/4 of a number is added to 1/3 of that number, the result is 15 greater than half of that number. Find the number.

Let us consider the number as x
Then as per the condition,
ML Aggarwal: Rational Numbers - 6
ML Aggarwal: Rational Numbers - 6
(1/12) x of a number = 15
x = 15 x 12/1
x = 180
Therefore, the required number is 180.


Q.18. A student was asked to multiply a given number by 4/5, By mistake, he divided the given number by 4/5. His answer was 36 more than the correct answer. What was the given number?

Let the given number be x
According to the condition,
ML Aggarwal: Rational Numbers - 6
But by mistake a student divides the given number
Then,
ML Aggarwal: Rational Numbers - 6
Hence,
ML Aggarwal: Rational Numbers - 6
We get,
x = 80
Theref

The document ML Aggarwal: Rational Numbers - 6 is a part of Class 8 category.
All you need of Class 8 at this link: Class 8
Download as PDF

Top Courses for Class 8

Related Searches
Previous Year Questions with Solutions, ppt, shortcuts and tricks, Free, Important questions, practice quizzes, ML Aggarwal: Rational Numbers - 6, MCQs, Viva Questions, Summary, study material, pdf , past year papers, video lectures, ML Aggarwal: Rational Numbers - 6, Extra Questions, Sample Paper, mock tests for examination, Semester Notes, Exam, ML Aggarwal: Rational Numbers - 6, Objective type Questions;