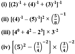
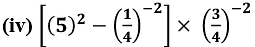
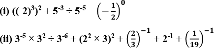
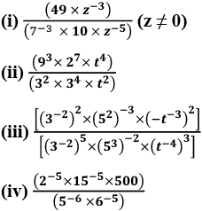
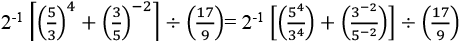
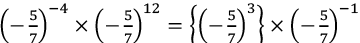
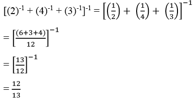
Q.1. Evaluate:

Let us evaluate the given expression,
By using the formula,
So,
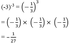
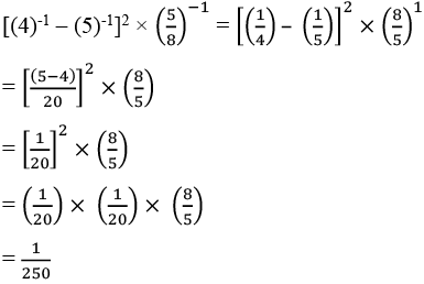
(ii) (-3)-3
Let us evaluate the given expression,
By using the formula,
So,
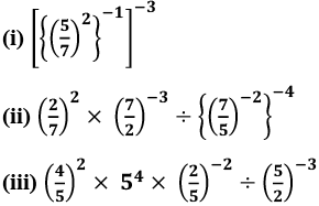
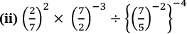
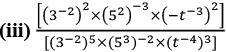
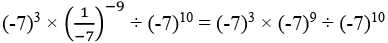
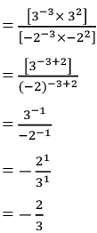
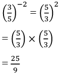
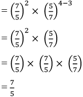
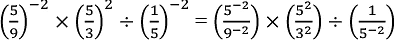
(iii) 
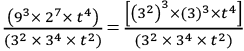
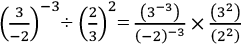
Let us evaluate the given expression,
By using the formula,
So,
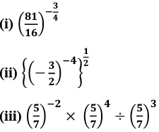
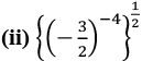
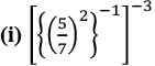
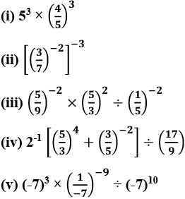
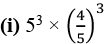
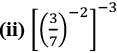
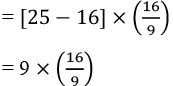
Q.2. Simplify:

Let us simplify the given expression,

Let us simplify the given expression,

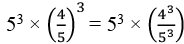
Let us simplify the given expression,
=
= 1

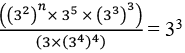
Let us simplify the given expression,
= 16
Q.3. Find the multiplicative inverse of the following:

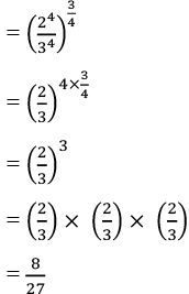
Let us simplify to find the multiplicative inverse of the given expression,
So, the multiplicative inverse of 8/27 is 27/8.

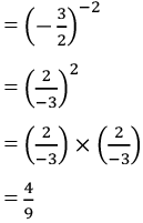
Let us simplify to find the multiplicative inverse of the given expression,
So, the multiplicative inverse of 4/9 is 9/4.

Let us simplify to find the multiplicative inverse of the given expression,
So, the multiplicative inverse of 7/5 is 5/7.
Q.4. (i) Express 16-2 as a power with base 2.
(ii) Express 125-4 as a power with base 5.
(i) Express 16-2 as a power with base 2.
Let us simplify,
(16)-2 = (24)-2
= 2-8
=
(ii) Express 125-4 as a power with base 5.
Let us simplify,
(125)-4 = (53)-4
= 5-12
=
Q.5. Write the following numbers in expanded form using exponents:
(i) 2789.453
(ii) 3007.805
(i) 2789.453
The expanded form of
2789.453
= 2 × 103 + 7 × 102 + 8 × 101 + 9 × 100 + 4 × 10-1 + 5 × 10-2 + 3 × 10-3
(ii) 3007.805
The expanded form of
3007.805 = 3 × 103 + 7 × 100 + 8 × 10-1 + 5 × 10-3
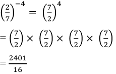
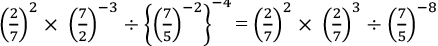
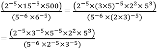
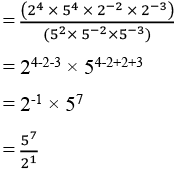
Q.7. Simplify and write in exponential form with positive exponent:


Let us simplify,
The exponential form is.

Let us simplify,
The exponential form is.

Let us simplify,
=
The exponential form is.

Let us simplify,
= 2-3+4 × 53
= 21 × 53
= 2 × 5 × 5 × 5
= 250
The exponential form is 250.
Q.7. Simplify and write the following in exponential form:

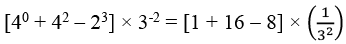
Let us simplify,
=
= 64 + 55-3 - 1
= 64 + 52 - 1
= 64 + 25 - 1
= 88
The exponential form is 88.

Let us simplify,
=+
= 33 + (16×9) + 4/2 + 19
= 27 + 144 + 2 + 19
= 192
The exponential form is 192.
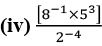
Q.8. Simplify and write in exponential form with negative exponent:

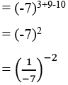
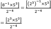
Let us simplify,
= 53-3 × 43
= 50 × 43
= 1 × 43
=
The exponential form is.

Let us simplify,
The exponential form is.

Let us simplify,
The exponential form is.

Let us simplify,
=
The exponential form is.

Let us simplify,
The exponential form is.
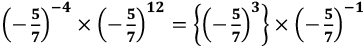
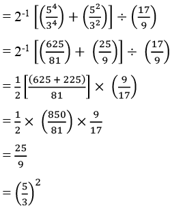
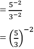
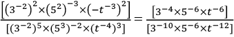
Q.9. Simplify:


Let us simplify the given expression,
=
=

Let us simplify the given expression,
= 36+3-2-4 × t4-2
= 33 × t2
= 27t

Let us simplify the given expression,
= 3-4+10 × 5-6+6 × t-6+12
= 36 × 50 × t6
= 36 × 1 × t6
= 729t6

Let us simplify the given expression,
= 2-5+2+5 × 3-5+5 × 5-5+3+6
= 22 × 30 × 54
= 4 × 1 × 625
= 2500
Q.10. By what number should
be divided to get
.
Let us simplify the expression,
Q.11. Find the value of m for which 9m ÷ 3-2 = 94.
Let us simplify the expression,
9m ÷ 3-2 = 94(32)m ÷ 3-2
= (32)4 32m ÷ 3-2 = 38
32m+2 = 38
Now by comparing the powers, we get
2m + 2 = 8 2m = 8 - 2 = 6
= 6/2m
m = 6/2 = 6
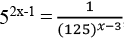
Q.12. If
, find the value of x.
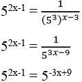
Let us simplify the given expression,
Now by comparing the powers, we get
8 = 3x - 1
x = 8 + 9/3
= 3
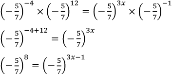
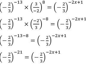
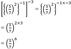
Q.13. Let us simplify the given expression,
Now by comparing the powers,
we get -21 = -2x +1
2x = 1 + 21
2x = 22
x = 22.2
= 11
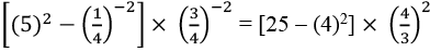
Q.14. (i) If
, find x.
(ii)
, find n.
(i) If
, find x.
Let us simplify the given expression,
Now by comparing the powers, we get
2x - 1 = -3x + 9
2x + 3x = 9 + 1
5x = 10
x = 10/5
x = 2

Let us simplify the given expression,
[32n × 35 × 39] = (3×316) = 33
32n+5+9-1-16 = 33
Now by comparing the powers,
we get 2n + 5 + 9 - 1 - 16 = 3
2n - 3 = 3
2n = 3 + 3
2n = 6
n =6/2
= 3