Q.1. By repeated subtraction of odd numbers starting from 1, find whether the following numbers are perfect squares or not? If the number is a perfect square then find its square root:
(i) 121
(ii) 55
(iii) 36
(iv) 90
(i) 121
We know that
Square root of 121
121 - 1 = 120
120 - 3 = 117
117 - 5 = 112
112 - 7 = 105
105 - 9 = 96
96 - 11 = 85
85 - 13 = 72
72 - 15 = 57
57 - 17 = 40
40 - 19 = 21
21 - 21 = 0
So the square root of 121 is 11
Hence, 121 is a perfect square.
(ii) 55
We know that
Square root of 55
55 - 1 = 54
54 - 3 = 51
51 - 5 = 46
46 - 7 = 39
39 - 9 = 30
30 - 11 = 19
19 - 13 = 6
6 - 15 = - 9 is not possible
Hence, 55 is not a perfect square.
(iii) 36
We know that
Square root of 36
36 - 1 = 35
35 - 3 = 32
32 - 5 = 27
27 - 7 = 20
20 - 9 = 11
11 - 11 = 0
Hence, 36 is a perfect square and its square root is 6.
(iv) 90
We know that
Square root of 90
90 - 1 = 89
89 - 3 = 86
86 - 5 = 81
81 - 7 = 74
74 - 9 = 65
65 - 11 = 54
54 - 13 = 41
41 - 15 = 26
26 - 17 = 9
9 - 19 = - 10 which is not possible
Hence, 90 is not a perfect square.
Q.2. Find the square roots of the following numbers by prime factorization method:
(i) 784
(ii) 441
(iii) 1849
(iv) 4356
(v) 6241
(vi) 8836
(vii) 8281
(viii) 9025
(i) 784
We know that
Square root of 784
It can be written as
So we get = 2 × 2 × 7= 28
(ii) 441
We know that
Square root of 441
It can be written as
So we get = 3 × 7= 21
(iii) 1849
We know that
Square root of 1849
It can be written as
(iv) 4356
We know that
Square root of 4356
It can be written as
So we get = 2 × 3 × 11= 66
(v) 6241
We know that
Square root of 6241
It can be written as
(vi) 8836
We know that
Square root of 8836
It can be written as
So we get= 2 × 47
= 94
(vii) 8281
We know that
Square root of 8281
It can be written as
So we get
= 7 × 13
= 91
(viii) 9025
We know that
Square root of 9025
It can be written as
So we get
= 5 × 19
= 95
Q.3. Find the square roots of the following numbers by prime factorization method:
(i) 
By further calculation
By squaring we get
We know that
It can be written as
=
So we get
(ii) 
By further calculation
By squaring we get
We know that
It can be written as
=
So we get
(iii) 
By squaring we get
We know that
It can be written as
=
So we get
= 1.4
(iv) 
By squaring we get
We know that
It can be written as
=
So we get
Q.4. For each of the following numbers, find the smallest natural number by which it should be multiplied so as to get a perfect square. Also, find the square root of the square number so obtained:
(i) 588
(ii) 720
(iii) 2178
(iv) 3042
(v) 6300
(i) 588
= 2 × 2 × 3 × 7 × 7
We know that
By pairing the same kind of factors, one factor 3 is left unpaired.
So to make it a pair we must multiply it by 3
Required least number = 3
Square root of 588 × 3 = 1764
Here 2 × 3 × 7 = 42
(ii) 720
= 2 × 2 × 2 × 2 × 3 × 3 × 5
We know that
By pairing the same kind of factors, one factor 5 is left unpaired.
So to make it a pair we must multiply it by 5
Required least number = 5
Square root of 720 × 5 = 3600
Here
2 × 2 × 3 × 5 = 60
(iii) 2178
= 2 × 3 × 3 × 11 × 11
We know that
By pairing the same kind of factors, one factor 2 is left unpaired.
So to make it a pair we must multiply it by 2
Required least number = 2
Square root of 2178 × 2 = 4356
Here
2 × 3 × 11 = 66
(iv) 3042
= 2 × 3 × 3 × 13 × 13
We know that
By pairing the same kind of factors, one factor 2 is left unpaired.
So to make it a pair we must multiply it by 2
Required least number = 2
Square root of 3042 × 2 = 6084
Here
2 × 3 × 13 = 7
(v) 6300
= 2 × 2 × 3 × 3 × 5 × 5 × 7
We know that
By pairing the same kind of factors, one factor 7 is left unpaired.
So to make it a pair we must multiply it by 7
Required least number = 7
Square root of 6300 × 7 = 44100
Here
2 × 3 × 5 × 7 = 210
Q.5. For each of the following numbers, find the smallest natural number by which it should be divided so that this quotient is a perfect square. Also, find the square root of the square number so obtained:
(i) 1872
(ii) 2592
(iii) 3380
(iv) 16224
(v) 61347
(i) 1872
= 2 × 2 × 2 × 2 × 3 × 3 × 13
It can be written as
By pairing the same kind of factors, one factor 13 is left unpaired
Required least number = 13
The number 1872 should be divided by 13 so that the resultant number will be a perfect square
Resultant number = 1872 ÷ 13 = 144
Square root = 2 × 2 × 3 = 12
(ii) 2592
= 2 × 2 × 2 × 2 × 2 × 3 × 3 × 3 × 3
It can be written as
By pairing the same kind of factors, one factor 2 is left unpaired.
Required least number = 2
The number 2592 should be divided by 2 so that the resultant number will be a perfect square
Resultant number = 2592 ÷ 2 = 1296
Square root = 2 × 2 × 3 × 3 = 36
(iii) 3380
= 2 × 2 × 5 × 13 × 13
It can be written as
By pairing the same kind of factors, one factor 5 is left unpaired.
Required least number = 5
The number 3380 should be divided by 5 so that the resultant number will be a perfect square
Resultant number = 3380 ÷ 5 = 676
Square root = 2 × 13 = 26
(iv ) 16224
= 2 × 2 × 2 × 2 × 2 × 3 × 13 × 13
It can be written as
By pairing the same kind of factors, two factors 2 and 3 is left unpaired.
Required least number = 2 × 3 = 6
The number 16224 should be divided by 6 so that the resultant number will be a perfect square
Resultant number = 16224 ÷ 6 = 2704
Square root = 2 × 2 × 13 = 52
(v) 61347
= 3 × 11 × 11 × 13 × 13
It can be written as
By pairing the same kind of factors, one factor 3 is left unpaired.
Required least number = 3
The number 61347 should be divided by 3 so that the resultant number will be a perfect square
Resultant number = 61347 ÷ 3 = 20449
Square root = 11 × 13 = 143
Q.6. Find the smallest square number that is divisible by each of the following numbers:
(i) 3, 6, 10, 15
(ii) 6, 9, 27, 36
(iii) 4, 7, 8, 16
(i) 3, 6, 10, 15
Number which is divisible by
3, 6, 10, 15 = LCM of 3, 6, 10, 15
It can be written as
So we get
= 2 × 3 × 5
= 30
(ii) 6, 9, 27, 36
Number which is divisible by
6, 9, 27, 36 = LCM of 6, 9, 27, 36
It can be written as
So we get
= 3 × 3 × 2 × 2 × 3
= 108
Here the smallest square
= 108 × 3
= 324
(iii) 4, 7, 8, 16
Number which is divisible by
4, 7, 8, 16 = LCM of 4, 7, 8, 16
It can be written as
So we get
= 2 × 2 × 2 × 2 × 7
= 112
Here the smallest square
= 112 × 7
= 784
Q.7. 4225 plants are to be planted in a garden in such a way that each row contains as many plants as the number of rows. Find the number of rows and the number of plants in each row.
It is given that
Total number of plants = 4225
Here
Number of rows = Number of plant in each row
So the number of rows = square root of 4225
It can be written as
So we get
= √5 × 5 × 13 × 13
= 5 × 13
= 65
Hence, the number of rows is 65 and the number of plants in each row is 65.
Q.8. The area of rectangle is 1936 sq. m. If the length of the rectangle is 4 times its breadth, find the dimensions of the rectangle.
It is given that
Area of rectangle = 1936 sq. m
Take breadth = x m
Length = 4x m
So we get
4x2 = 1936
By further calculation
We know that
It can be written as
x = √484 = √2 × 2 × 11 × 11
By further calculation
= 2 × 11
= 22
Here
Length = 4x = 4 × 22 = 88 m
Breadth = x = 22 m
Q.9. In a school a P.T. teacher wants to arrange 2000 students in the form of rows and columns for P.T. display. If the number of rows is equal to number of columns and 64 students could not be accommodated in this arrangement. Find the number of rows.
It is given that
Total number of students in a school = 2000
The P.T. teacher arranges in such a way that
No. of rows = no. of students in each row
So 64 students are left Required number of students = 2000 - 64 = 1936
No. of rows =
We know that
It can be written as
=
By further calculation
= 2 × 2 × 11
= 44
Q.10. In a school, the students of class VIII collected ₹2304 for a picnic. Each student contributed as many rupees as the number of students in the class. Find the number of students in the class.
It is given that
Amount collected for picnic = ₹2304
We know that
No. of students = no. of rupees contributed by each student =
Here
It can be written as
=
By further calculation
= 2 × 2 × 2 × 2 × 34= 48
Therefore, the number of students in class VIII is 4811.
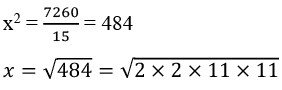
Q.11. The product of two numbers is 7260. If one number is 15 times the other number, find the numbers.
It is given that
Product of two numbers = 7260
Consider one number = x
Second number = 15x
It can be written as 15x × x = 7260
15 x 2 = 7260
By further calculation
So we get
= 2 × 11
= 22
Here
One number = 22
Second number = 22 × 15 = 330
Q.12. Find three positive numbers in the ratio 2: 3: 5, the sum of whose squares is 950.
It is given that
Ratio of three positive numbers = 2: 3: 5
Sum of their squares = 950
Consider
First number = 2x
Second number = 3x
Third number = 5x
It can be written as
(2x)2+ (3x)2 + (5x)2 = 950
By further calculation
4x2 + 9x2 + 25x2 = 950
38x2 = 950
So we get
Here
First number = 2 × 5 = 10
Second number = 3 × 5 = 15
Third number = 5 × 5 = 25
Q.13. The perimeter of two squares is 60 metres and 144 metres respectively. Find the perimeter of another square equal in area to the sum of the first two squares.
It is given that
Perimeter of first square = 60 m
Side = 60/4 = 15 m
Perimeter of second square = 144 m
Side = 144/4 = 36 m
So the sum of perimeters of two squares = 60 + 144 = 204 m
Sum of areas of these two squares
= 152 + 362
= 225 + 1296
= 1521 m2
Here
Area of third square = 1521 m2
We know that
So we get
It can be written as
=
= 3 × 13
= 39 m
Here
Perimeter = 4 × side
Substituting the values
= 4 × 39
= 156 m