From 2020 to 2025, 10 algebra- and exponent-based number system questions appeared in CAT Quant. These covered indices, surds, prime factorisation, inequalities, and integer solutions, with most questions requiring algebraic manipulation and power comparison. The overall difficulty level was moderate, typically involving multi-step reasoning.
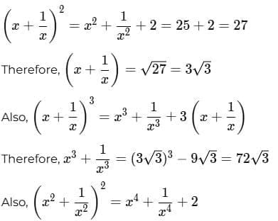
Q1: If
and x > 0, then the value of
is
(a) 44853√3
(b) 44856√3
(c) 44859√3
(d) 44850√3
Ans: aSol:
Option A is the correct answer.
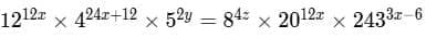
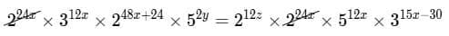
Q2: If 1212x × 424x+12 × 52y = 84z × 2012x × 2433x-6, where x , y and z are natural numbers, then x + y + z equals
Ans: 112Sol:
On rewriting after prime factorisation, we get,
Since LHS = RHS, the corresponding powers must be equal. We have,
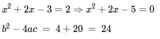
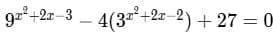
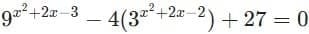
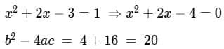
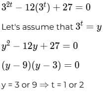
then the product of all possible values of x isAns: bSol: Let's assume that x2 + 2x - 3 = t
![]()
can be written as
Let's solve when t = 1
Positive, so the equation has real roots.
Product of possible value of x = -4
Let's solve for t = 2
Positive, so the equation has real roots.
Product of possible value of x = -5
The product of all values = 20
Q1: The sum of all real values of k for which
is
(a) 2/3
(b) 4/3
(c) -4/3
(d) -2/3
Ans: d
Sol:
Q2: (a + b√3)2 = 52 + 30√3, where a and b are natural numbers, then a + b equals
(a) 9
(b) 7
(c) 8
(d) 10
Ans: cSol:
Q1: Let a, b, m and n be natural numbers such that a > 1 and b > 1. If ambn = 144145, then the largest possible value of n mis [2023]
(a) 580
(b) 290
(c) 289
(d) 579
Ans: d
Sol:
It is given that am . bn = 144145, where a > 1 and b > 1.144 can be written as 144 = 24 x 32
Hence, am . bn = 144145 can be written as am . bn = (24 x 32)145 = 2580 x 3290
We know that 3290 is a natural number, which implies it can be written as al, where a > 1
Hence, the least possible value of m is 1. Similarly, the largest value of n is 580.
Hence, the largest value of (n-m) is (580-1) = 579
The correct option is D
Q2: Let n be any natural number such that 5n-1 < 3n+1. Then, the least integer value of m that satisfies 3n+1 < 2n+m for each such n, is [2023]
Ans: 5
Sol: It is given that 5n-1 < 3n+1, where n is a natural number. By inspection, we can say that the inequality holds when n = 1, 2, 3 4, and 5.
Now, we need to find the least integer value of m that satisfies 3n+1 < 2n+m
For, n =1, the least integer value of m is 2.
For, n = 2, the least integer value of m is 3
For, n = 3, the least integer value of m is 4.
For, n = 4, the least integer value of m is 4.
For, n= 5, the least integer value of m is 5.
Hence, the least integer value of m such that for all the values of n, the equation holds is 5.
Q1: Let A be the largest positive integer that divides all the numbers of the form 3k + 4k + 5k, and B be the largest positive integer that divides all the numbers of the form 4k + 3(4k) + 4k+2, where k is any positive integer. Then (A + B) equals [2022]
Ans: 82
Sol: A is the HCF of 3k + 4k + 5k for different values of k.
For k = 1, value is 12
For k = 2, value is 50
For k = 3, value is 216
HCF is 2. Therefore, A = 2
4k + 3 (4k) + 4k+2 = 4k (1 + 3) + 4k+2 = 4k+1 + 4k+2 = 4k+1 (1 + 4) = 5 · 4k+1
HCF of the values is when k = 1, i.e. 5*16 = 80
Therefore, B = 80
A + B = 82
Q1: If x = ( 4096)7+4√3 , then which of the following equals 64? [2020]
(a) 
(b) 
(c) 
(d) 
Ans: d
Sol: x = ( 4096)7+4√3
On rationalizing 7+4√3, we get
∴
∴
=
Q2: If a, b, c are non-zero and 14a = 36b = 84c, then
is equal to [2020]
Ans: 3
Sol: Let 14a = 36b = 84c = k
⇒
Similarly,
Required answer,
=
= 3
| 1. What is the difference between a surd and an index? | ![]() |
| 2. How can surds be simplified? | ![]() |
| 3. What are some common properties of indices? | ![]() |
| 4. How are surds and indices used in real-life applications? | ![]() |
| 5. Can surds and indices be used in calculus? | ![]() |