Application of Trigonometry
An Angle
There are two systems for the measurement of an angle namely,
- Sexagesimal System
- Circular system
In this system
1 right angle = 90o (degrees)
1 degree = 60' (minutes)
1 minute = 60'' (seconds)
π (Radians) = 180° = 2 right angles
∴ 1 right angle = π/2 radians.
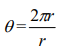
Let a particle move from the initial position A to the final position B along a circle of radius r as shown in the figure.
Understanding Radians
If the length of arc AB = radius of the circle (r), then θ = 1 radian.
Radian: An angle subtended at the center of a circle by an arc whose length is equal to the
radius of the circle is called one radian.
Relation between Radian and Degree
When a body or a particle completes one rotation, then θ = 360° and distance traveled (circumference of a circle).

Example: Convert (-45°) into radians
Solution: -45 ⋅ 𝜋 /180 = -45𝜋 /180 = - 𝜋/4 radian
Example: Convert 3𝜋 /2 radian into degrees.
Solution: 3𝜋 /2 ⋅ (1 radian) 180 /𝜋 = 3𝜋 /2 ⋅ 180/ 𝜋 = 540𝜋/ 2𝜋 = 270°
Consider triangle ONM in the four quadrants as shown below.
Consider two straight lines X'OX and Y'OY meeting at right angles in O. These two lines divide the plane into four equal parts called quadrants (figure given below).
ΔONM in 4 Quadrants
Now XOY, YOX', X'OY', and Y'OX are called I, II, III, and IV quadrants respectively. ON is +ve if drawn to the right side of O and -ve if drawn to the left side of O. MN is +ve if drawn above X'OX and -ve if drawn below X'OX.
Trigonometric Ratios
Example: A man observed a pole of height 60 ft. According to his measurement, the pole cast a 20 ft long shadow. Find the angle of elevation of the sun from the tip of the shadow using trigonometry.
Solution:
Let x be the angle of elevation of the sun, then
tan x = 60/20 = 3
x = tan-1(3)
or x = 71.56 degrees
Answer: The angle of elevation of the sun is 71.56º.

Trick to Remember Signs of Trigonometric Ratios
The signs of various trigonometric ratios can be remembered from the above figure.
The trigonometric ratios of standard angles are given in the following table:
Trigonometric Ratios of Standard Angles
Example:
Find the values of
(i) sin 270° (ii) sin 120° (iii) sin 120° (iv) tan (-30°)Solution: (i) sin 270° = sin (180° + 90°) = - sin 90° = -1
(ii) cos 120° = cos (90° + 30°) = - sin 30° = -1/2
(iii) sin 120° = sin (90° + 30°) = cos 30° =√3/2
(iv) tan (-30°) = - tan 30° = - 1/√3








| 1. What is an angle? | ![]() |
| 2. What is the system of measurement for angles? | ![]() |
| 3. What are trigonometric ratios? | ![]() |
| 4. What are some important trigonometric formulae? | ![]() |
| 5. What are the basics of trigonometry for the JEE exam? | ![]() |