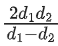
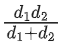
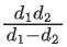
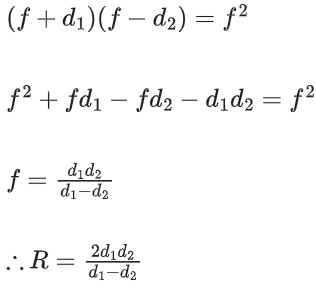
Q.45. Two identical thin biconvex lens of focal length 15 cm and refractive index 1.5 are in contact with each other. The space between the lenses is filled with a liquid of refractive index 1.25. The focal length of the combination is __________ cm. (JEE Main 2022)
Ans. 10
for the concave lens made up of liquid
now for equivalent lens
Q.46. A ray of light is incident at an angle of incidence 60∘ on the glass slab of refractive index √3. After refraction, the light ray emerges out from other parallel faces and lateral shift between incident ray and emergent ray is 4√3 cm. The thickness of the glass slab is __________ cm. (JEE Main 2022)
Ans. 12
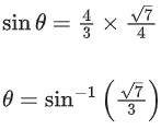
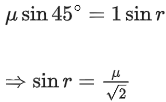
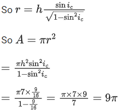
Q.47. A small bulb is placed at the bottom of a tank containing water to a depth of √7 m. The refractive index of water is 4/3. The area of the surface of water through which light from the bulb can emerge out is xπ m2. The value of x is __________. (JEE Main 2022)
Ans. 9
Q.48. A light ray is incident, at an incident angle θ1, on the system of tow plane mirrors M1 and M2 having an inclination angle 75∘ between them (as shown in figure). After reflecting from mirror M1 it gets reflected back by the mirror M2 with an angle of reflection 30∘. The total deviation of the ray will be _____________ degree. (JEE Main 2022)
Ans. 210
On first reflection angel of deviation is 90° and on second reflection angle of deviation is 120°
So total deviation is δ = 90° +120° = 210°
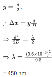
Q.49. In Young's double slit experiment the two slits are 0.6 mm distance apart. Interference pattern is observed on a screen at a distance 80 cm from the slits. The first dark fringe is observed on the screen directly opposite to one of the slits. The wavelength of light will be ____________ nm. (JEE Main 2022)
Ans. 450
Q.50. In a Young's double slit experiment, an angular width of the fringe is 0.35∘ on a screen placed at 2 m away for particular wavelength of 450 nm. The angular width of the fringe, when whole system is immersed in a medium of refractive index 7/5, is 1/α. The value of α is ___________. (JEE Main 2022)
Ans. 4
Q.51. In a double slit experiment with monochromatic light, fringes are obtained on a screen placed at some distance from the plane of slits. If the screen is moved by 5 × 10-2 m towards the slits, the change in fringe width is 3 × 10-3 cm. If the distance between the slits is 1 mm, then the wavelength of the light will be ____________ nm. (JEE Main 2022)
Ans. 600
Q.52. A parallel beam of light is allowed to fall on a transparent spherical globe of diameter 30 cm and refractive index 1.5. The distance from the centre of the globe at which the beam of light can converge is _____________ mm. (JEE Main 2022)
Ans. 225
Q.53. A glass tumbler having inner depth of 17.5 cm is kept on a table. A student starts pouring water (μ = 4/3) into it while looking at the surface of water from the above. When he feels that the tumbler is half filled, he stops pouring water. Up to what height, the tumbler is actually filled? (JEE Main 2021)
(a) 11.7 cm
(b) 10 cm
(c) 7.5 cm
(d) 8.75 cm
Ans. b
Consider the actual height of the tumbler be H.
The refractive index of the water, μ = 4/3
The refractive index of the air, μ = 1
As we know that,
Height of air observed by observer = 17.5 - H
According to question, both height observed by observer is same.
3H/4 = 17.5 - H
⇒ H = 10 cm
Q.54. Two plane mirrors M1 and M2 are at right angle to each other shown. A point source 'P' is placed at 'a' and '2a' meter away from M1 and M2 respectively. The shortest distance between the images thus formed is: (Take √5 = 2.3) (JEE Main 2021)
(a) 3a
(b) 4.6a
(c) 2.3a
(d) 2√10a
Ans. b
Shortest distance is 2a between I1 & I3
But answer given is for I1 & I2
= 4.47 a
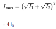
Q.55. The light waves from two coherent sources have same intensity I1 = I2 = I0. In interference pattern the intensity of light at minima is zero. What will be the intensity of light at maxima? (JEE Main 2021)
(a) I0
(b) 2 I0
(c) 5 I0
(d) 4 I0
Ans. d
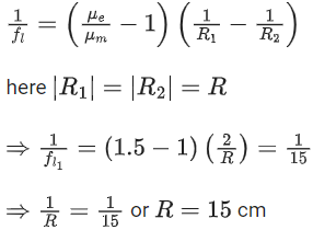
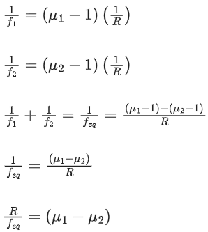
Q.56. Curved surfaces of a plano-convex lens of refractive index μ1 and a plano-concave lens of refractive index μ2 have equal radius of curvature as shown in figure. Find the ratio of radius of curvature to the focal length of the combined lenses. (JEE Main 2021)

(a) 
(b) 
(c) 
(d) 
Ans. b
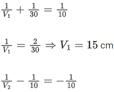
Q.57. Find the distance of the image from object O, formed by the combination of lenses in the figure: (JEE Main 2021)
(a) 75 cm
(b) 10 cm
(c) 20 cm
(d) infinity
Ans. a
V3 = 30 cm
OV3 = 75 cm
Q.58. An object is placed beyond the centre of curvature C of the given concave mirror. If the distance of the object is d1 from C and the distance of the image formed is d2 from C, the radius of curvature of this mirror is: (JEE Main 2021)
(a) 
(b) 
(c) 
(d) 
Ans. a
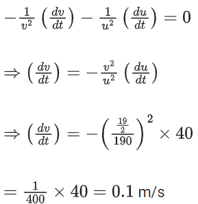
Using Newton's formula
Q.59. Car B overtakes another car A at a relative speed of 40 ms-1. How fast will the image of car B appear to move in the mirror of focal length 10 cm fitted in car A, when the car B is 1.9 m away from the car A? (JEE Main 2021)
(a) 4 ms-1
(b) 0.2 ms-1
(c) 40 ms-1
(d) 0.1 ms-1
Ans. d
Here,
Differentiating equation (1) w.r.t t we get
Q.60. The expected graphical representation of the variation of angle of deviation 'δ' with angle of incidence 'i' in a prism is: (JEE Main 2021)
(a) 
(b) 
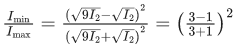
(c) 
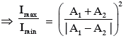
(d) 
Ans. b
Standard graph between angle of deviation and incident angle.
Q.61. In Young's double slit experiment, if the source of light changes from orange to blue then: (JEE Main 2021)
(a) The central bright fringe will become a dark fringe.
(b) The distance between consecutive fringes will decrease.
(c) The distance between consecutive fringes will increases.
(d) The intensity of the minima will increase.
Ans. b
Fringe width = λD/d as λ decreases, fringe width also decreases
Q.62. The relative permittivity of distilled water is 81. The velocity of light in it will be:
(Given μr = 1) (JEE Main 2021)
(a) 4.33 × 107 m/s
(b) 2.33 × 107 m/s
(c) 3.33 × 107 m/s
(d) 5.33 × 107 m/s
Ans. c
= 3.33 × 107 m/sec
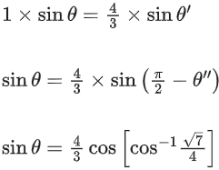
Q.63. A ray of light entering from air into a denser medium of refractive index 4/3, as shown in figure. The light ray suffers total internal reflection at the adjacent surface as shown. The maximum value of angle θ should be equal to: (JEE Main 2021)
(a) 
(b) 
(c) 
(d) 
Ans. a
At maximum angle θ ray at point B goes in gazing emergence, at all less values of θ, TIR occurs.
At point B
At point A
Q.64. A prism of refractive index μ and angle of prism A is placed in the position of minimum angle of deviation. If minimum angle of deviation is also A, then in terms of refractive index (JEE Main 2021)
(a) 
(b) 
(c) 
(d) 
Ans. a
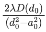
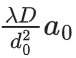
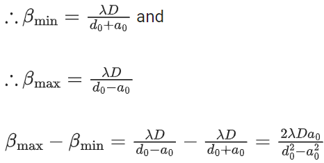
Q.65. In the Young's double slit experiment, the distance between the slits varies in time as
d(t) = d0 + a0 sinωt; where d0, ω and a0 are constants. The difference between the largest fringe width and the smallest fringe width obtained over time is given as: (JEE Main 2021)
(a) 
(b) 
(c) 
(d) 
Ans. b
Fringe Width,
Q.66. A ray of laser of a wavelength 630 nm is incident at an angle of 30∘ at the diamond-air interface. It is going from diamond to air. The refractive index of diamond is 2.42 and that of air is 1. Choose the correct option. (JEE Main 2021)
(a) angle of refraction is 24.41∘
(b) angle of refraction is 30∘
(c) refraction is not possible
(d) angle of refraction is 53.4∘
Ans. c
sinθ > sinθC
θ > θC
Total internal reflection will happen.
Q.67. A ray of light passes from a denser medium to a rarer medium at an angle of incidence i. The reflected and refracted rays make an angle of 90∘ with each other. The angle of reflection and refraction are respectively r and r'. The critical angle is given by (JEE Main 2021)
(a) sin-1 (tan r)
(b) sin-1 (cot r)
(c) sin-1 (tan r')
(d) tan-1 (sin i)
Ans. a
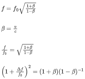
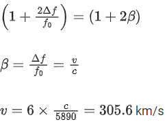
Q.68. With what speed should a galaxy move outward with respect to earth so that the sodium-D line at wavelength 5890 Å is observed at 5896 Å? (JEE Main 2021)
(a) 306 km/sec
(b) 322 km/sec
(c) 296 km/sec
(d) 336 km/sec
Ans. a
β is small compared to 1
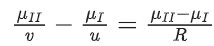
Q.69. Region I and II are separated by a spherical surface of radius 25 cm. An object is kept in region I at a distance of 40 cm from the surface. The distance of the image from the surface is: (JEE Main 2021)
(a) 55.44 cm
(b) 18.23 cm
(c) 9.52 cm
(d) 37.58 cm
Ans. d
As we know that, the equation of refraction at spherical surface is:
where,
μII = refractive index of region II = 1.4
μI = refractive index of region I = 1.25
R = radius of curvature = -25 cm
u = object distance = -40 cm
and v = image distance.
where, negative sign indicate real image.
Q.70. Three rays of light, namely red (R), green (G) and blue (B) are incident on the face PQ of a right angled prism PQR as shown in the figure.
The refractive indices of the material of the prism for red, green and blue wavelength are 1.27, 1.42 and 1.49 respectively. The colour of the ray(s) emerging out of the face PR is: (JEE Main 2021)
(a) Green
(b) Blue and green
(c) Blue
(d) Red
Ans. d
At point P,
For light to come out of prism
sin r should be less than 1.
∴ The material which have refractive index less than 1.414, that material can emerge light out of the prism.
Here only red material have refractive index less than 1.414.
∴ Red light will come out of the prism.
Q.71. Your friend is having eye sight problem. She is not able to see clearly a distant uniform window mesh and it appears to her as non-uniform and distorted. The doctor diagnosed the problem as: (JEE Main 2021)
(a) Astigmatism
(b) Myopia with Astigmatism
(c) Presbyopia with Astigmatism
(d) Myopia and Hypermetropia
Ans. b
Myopia with Astigmatism causes distant objects to be blurry and distorted.
Q.72. In Young's double slit arrangement, slits are separated by a gap of 0.5 mm, and the screen is placed at a distance of 0.5 m from them. The distance between the first and the third bright fringe formed when the slits are illuminated by a mnochromatic light of 5890 Å is: (JEE Main 2021)
(a) 1178 × 10-9 m
(b) 1178 × 10-6 m
(c) 1178 × 10-12 m
(d) 5890 × 10-7 m
Ans. b
= 589 × 10-6 m
Distance between first and third bright fringe is
2β = 2 × 589 × 10-6 m
= 1178 × 10-6 m
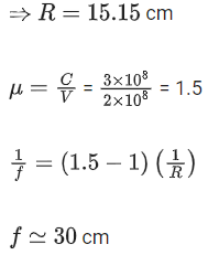
Q.73. The thickness at the centre of a plane convex lens is 3 mm and the diameter is 6 cm. If the speed of light in the material of the lens is 2 × 108 ms-1. The focal length of the lens is ____________. (JEE Main 2021)
(a) 0.30 cm
(b) 30 cm
(c) 15 cm
(d) 1.5 cm
Ans. b
Q.74. Red light differs from blue light as they have: (JEE Main 2021)
(a) Different frequencies and same wavelengths
(b) Different frequencies and different wavelengths
(c) Same frequencies and different wavelengths
(d) Same frequencies and same wavelengths
Ans. b
Red light and blue light have different wavelength and different frequency.
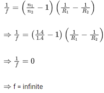
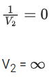
Q.75. The refractive index of a converging lens is 1.4. What will be the focal length of this lens if it is placed in a medium of same refractive index? Assume the radii of curvature of the faces of lens are R1 and R2 respectively. (JEE Main 2021)
(a) Zero
(b) Infinite
(c) 1
(d) 
Ans. b
Given, initially refractive index (n1) = 1.4
Then it placed in medium of same refractive index.
∴ n2 = 1.4
We know, Focal length
Q.76. The angle of deviation through a prism is minimum when

(A) Incident ray and emergent ray are symmetric to the prism.
(B) The refracted ray inside the prism becomes parallel to its base
(C) Angle of incidence is equal to that of the angle of emergence
(D) When angle of emergence is double the angle of incidence
Choose the correct answer from the options given below: (JEE Main 2021)
(a) Statements (B) and (C) are true
(b) Only statements (A) and (B) are true
(c) Statements (A), (B) and (C) are true
(d) Only statement (D) is true
Ans. c
Deviation is minimum in prism when:
i = e, r1 = r2 and ray inside prism is parallel to base of prism.
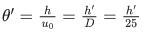
Q.77. Given below are two statements : one is labeled as Assertion A and the other is labeled as Reason R.
Assertion A: For a simple microscope, the angular size of the object equals the angular size of the image.
Reason R: Magnification is achieved as the small object can be kept much closer to the eye than 25 cm and hence it subtends a large angle.
In the light of the above statements, choose the most appropriate answer from the options given below: (JEE Main 2021)
(a) A is true but R is false
(b) A is false but R is true
(c) Both A and R are true and R is the correct explanation of A
(d) Both A and R are true but R is NOT the correct explanation of A
Ans. c
Here,
where, D = 25 cm (least distance of distinct vision)
Here, θ is same for both object and image, hence Assertion is true.
Magnification,
Hence, if u0 < D (25 cm), hence, the value of θ' will obtain large.
So, option (c) is the correct.
Q.78. The incident ray, reflected ray and the outward drawn normal are denoted by the unit vectors
respectively. Then choose the correct relation for these vectors. (JEE Main 2021)
(a)
(b)
(c)
(d)
Ans. c
Q.79. In a Young's double slit experiment two slits are separated by 2 mm and the screen is placed one meter away. When a light of wavelength 500 nm is used, the fringe separation will be: (JEE Main 2021)
(a) 0.25 mm
(b) 0.50 mm
(c) 0.75 mm
(d) 1 mm
Ans. a
= 2.5 x 10-1 mm
b = 0.25 mmCorrect option is 1 (0.25mm)
Q.80. A short straight object of height 100 cm lies before the central axis of a spherical mirror whose focal length has absolute value |f| = 40cm. The image of object produced by the mirror is of height 25 cm and has the same orientation of the object. One may conclude from the information : (JEE Main 2021)
(a) Image is real, same side of concave mirror.
(b) Image is virtual, opposite side of concave mirror.
(c) Image is real, same side of convex mirror.
(d) Image is virtual, opposite side of convex mirror.
Ans. b
Same orientation so image is virtual. It is combination of real object and virtual image using height, it is possible only from convex mirror.
Q.81. Consider the diffraction pattern obtained from the sunlight incident on a pinhole of diameter 0.1 mm. If the diameter of the pinhole is slightly increased, it will affect the diffraction pattern such that : (JEE Main 2021)
(a) its size decreases, and intensity decreases
(b) its size increases, and intensity increases
(c) its size increases, but intensity decreases
(d) its size decreases, but intensity increases
Ans. d
If D is increased, then sinθ will decreased.
∴ Size of circular fringe will decrease but intensity increases.
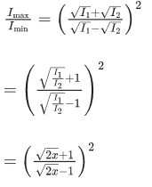
Q.82. Two coherent light sources having intensity in the ratio 2x produce an interference pattern. The ratio
will be : (JEE Main 2021)
(a)
(b)
(c)
(d)
Ans. d
Given,
We know,
Now,
Q.83. If the source of light used in a Young's double slit experiment is changed from red to violet : (JEE Main 2021)
(a) The fringes will become brighter
(b) Consecutive fringes will come closer
(c) The intensity of minima will increase
(d) The central bright fringe will become a dark fringe
Ans. b
According to Young's double slit experiment, the distance of nth bright fringe from the centre,
Since, λviolet < λred∴ yviolet < yred
∴ Consecutive fringe lines will come closer.
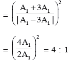
Q.84. In a Young's double slit experiment, the width of the one of the slit is three times the other slit. The amplitude of the light coming from a slit is proportional to the slit width. Find the ratio of the maximum to the minimum intensity in the interference pattern. (JEE Main 2021)
(a) 1 : 4
(b) 3 : 1
(c) 4 : 1
(d) 2 : 1
Ans. c
Amplitude ∝ Width of slit
⇒ A2 = 3A1
Q.85. The focal length f is related to the radius of curvature r of the spherical convex mirror by : (JEE Main 2021)
(a)
(b) f = -r
(c) 
(d) f = r
Ans. a
For convex mirror, the focal length (f) and radius of curvature (r) are related as
Q.86. The width of one of the two slits in a Young's double slit experiment is three times the other slit. If the amplitude of the light coming from a slit is proportional to the slit-width, the ratio of minimum to maximum intensity in the interference pattern is x : 4 where x is ____________. (JEE Main 2021)
Ans. 1
Given, b1 = 3b2
Here, b1 = width of the one of the two slit and b2 = width of the other slit.
As we know that,
Intensity, I α (Amplitude)2
I1 = 9I2
As we know, the ratio of the minimum intensity to the maximum intensity in the interference pattern,
Substituting the values in the above equations, we get
Comparing with,
The value of x = 1.
Q.87. Cross-section view of a prism is the equilateral triangle ABC in the figure. The minimum deviation is observed using this prism when the angle of incidence is equal to the prism angle. The time taken by light to travel from P (midpoint of BC) to A is______ × 10-10 s. (Given, speed of light in vacuum = 3 × 108 m/s and cos
(JEE Main 2021)
Ans. 5
Q.88. In a Young's double slit experiment, the slits are separated by 0.3 mm and the screen is 1.5 m away from the plane of slits. Distance between fourth bright fringes on both sides of central bright is 2.4 cm. The frequency of light used is _____ × 1014 Hz. (JEE Main 2021)
Ans. 5
Q.89. An object is placed at a distance of 12 cm from a convex lens. A convex mirror of focal length 15 cm is placed on other side of lens at 8 cm as shown in the figure. Image of object coincides with the object.
When the convex mirror is removed, a real and inverted image is formed at a position. The distance of the image from the object will be ........(cm) (JEE Main 2021)
Ans. 50
For the object to coincide with image, the light must fall perpendicularly to mirror. Which means that the light will have to converge at C of mirror. Without the mirror also, the light would coverage at C.
So the distance is : 12 + 8 + 30 = 50 cm
Q.90. A source of light is placed in front of a screen. Intensity of light on the screen is I. Two Polaroids P1 and P2 are so placed in between the source of light and screen that the intensity of light on screen is I/2. P2 should be rotated by an angle of ........... (degrees) so that the intensity of light on the screen becomes 3I/8 . (JEE Main 2021)
Ans. 30
Q.91. White light is passed through a double slit and interference is observed on a screen 1.5 m away. The separation between the slits is 0.3 mm. The first violet and red fringes are formed 2.0 mm and 3.5 mm away from the central white fringes. the difference in wavelengths of red and violet light is ................ nm. (JEE Main 2021)
Ans. 300
Position of bright fringe y =
y1 of red =
Similarly,
= 3 x 10-7 = 300 nm
Q.92. The difference in the number of waves when yellow light propagates through air and vacuum columns of the same thickness is one. The thickness of the air column is ___________ mm. [Refractive index of air = 1.0003, wavelength of yellow light in vacuum = 6000
(JEE Main 2021)
Ans. 2
Thickness t = nλ
So, n λvac = (n + 1) λair
n λ = (n +1)
n =
t = nλ
= 2 mm
Q.93. A prism of refractive index n1 and another prism of refractive index n2 are stuck together (as shown in the figure). n1 and n2 depend on λ, the wavelength of light, according to the relation
The wavelength for which rays incident at any angle on the interface BC pass through without bending at that interface will be _________ nm. (JEE Main 2021)
Ans. 600
For no bending, n1 = n2
On solving,
9 x 10-14 = 25λ2
λ = 6 x 10-7
λ = 600m
Q.94. A ray of light passing through a prism (µ = √3) suffers minimum deviation. It is found that the angle of incidence is double the angle of refraction within the prism. Then, the angle of prism is ________ (in degrees) (JEE Main 2021)
Ans. 60
For minimum deviation r1 = r2 = A/2
given i = 2r
⇒ r = 30°⇒ A = 60°
Q.95. An object viewed from a near point distance of 25 cm, using a microscopic lens with magnification '6', gives an unresolved image. A resolved image is observed at infinite distance with a total magnification double the earlier using an eyepiece along with the given lens and a tube of length 0.6 m, if the focal length of the eyepiece is equal to __________ cm. (JEE Main 2021)
Ans. 25
Given, magnification, M = 6
Since we know that magnifying power of a simple microscope is given by
where, D = least distance of distinct vision = 25 cm
and f0 = focal length of objective lens.
For compound microscope, magnifying power is given by
where, f0 = fe are the focal lengths of the objective lens and eye piece respectively
and l = length of the given tube = 0.6 m
⇒ fe = 25 cm
This is the required focal length of eyepiece.
Q.96. A galaxy is moving away from the earth at a speed of 286 kms-1. The shift in the wavelength of a red line at 630 nm is x × 10-10 m. The value of x, to the nearest integer, is......
[Take the value of speed of light c, as 3 × 108 ms-1] (JEE Main 2021)
Ans. From Doppler effect, we know
here, v = 286 x 103 m/s
c = 3 x 108 m/s
= 6 x 10-10 m
Q.97. The image of an object placed in air formed by a convex refracting surface is at a distance of 10 m behind the surface. The image is real and is at
of the distance of the object from the surface. The wavelength of light inside the surface is 2/3 times the wavelength in air. The radius of the curved surface is x/13 m. the value of 'x' is........... (JEE Main 2021)
Ans. 30
= 30
Q.98. A deviation of 2° is produced in the yellow ray when prism of crown and flint glass are achromatically combined. Taking dispersive powers of crown and flint glass are 0.02 and 0.03 respectively and refractive index for yellow light for these glasses are 1.5 and 1.6 respectively. The refracting angles for crown glass prism will be...............° (in degree)
(Round off to the Nearest Integer) (JEE Main 2021)
Ans. 12
and
Substituting the values in equation (1) and (2), we get
From equation (3) and (4)
A1 = 12°
Q.99. A fringe width of 6 mm was produced for two slits separated by 1 mm apart. The screen is placed 10 m away. The wavelength of light used is 'x' nm. The value of 'x' to the nearest integer is ____________. (JEE Main 2021)
Ans. 600
β = 6 mm, d = 1 mm, D = 10 m
λ = ?
We know,
6 x 103 =
λ = 600 x 10-9 m
∴ λ = 600 nm
Q.100. A point source of light S, placed at a distance 60cm in front of the centre of a plane mirror of width 50 cm, hangs vertically on a wall. A man walks in front of the mirror along a line parallel to the mirror at a distance 1.2 m from it (see in the figure). The distance between the extreme points where he can see the image of the light source in the mirror is __________ cm. (JEE Main 2021)

Ans. 150
Given, length of mirror, m = 50 cm = 50 10-2 m
Distance of source from mirror, d = 60 cm = 60 10-2 m
Distance of man from mirror, dm = 1.2 m
By using the concept of ray diagram of plane mirror shown belowNow, using the concept of similar triangle,
ΔHAI ∼ ΔGAE and ΔBAI ∼ ΔCAE
As, CG = 2EG
⇒ CG = 0.75 x 2 = 1.50mHence, distance between the extreme points, where he can see image of light source in mirror is 150 cm.
Q.101. The same size images are formed by a convex lens when the object is placed at 20 cm or at 10 cm from the lens. The focal length of convex lens is __________ cm. (JEE Main 2021)
Ans. 15
from (1) and (2) we get
given conditions
m1 = -m2
⇒ f - 20 = -f + 10
⇒ 2f = 30
⇒ f = 15 cm
Q.102. An unpolarised light beam is incident on the polarizer of a polarization experiment and the intensity of light beam emerging from the analyzer is measured as 100 Lumens. Now, if the analyzer is rotated around the horizontal axis (direction of light) by 30° in clockwise direction, the intensity of emerging light will be _________ Lumens. (JEE Main 2021)
Ans. 75
Given, I0 = 100 lumens
When analyser is rotated through an angle θ, the intensity of light will becomes
I = I0 cos2θ = 100 x cos230°