Q.1. Which of the following reactions gives a product different from that of the other reactions?
(a) 
(b) 
(c)
(d)
Correct Answer is Option (c)
Reaction (c) gives a tertiary alcohol, 3-ethylpentan-3-ol, by reaction of two equivalents of the Grignard reagent with the ester, while the other reactions give the same secondary alcohol, pentan-3-ol.
Q.2. Which of the following reactions does not give a primary alcohol?
(a) 
(b)
(c)
(d)
Correct Answer is Option (b)
In reaction (b), the ester cannot be reduced with NaBH4.
Q.3. Which pair of reactants for a Grignard reaction does not give triphenylmethanol after an aqueous workup?
(a) 
(b) 
(c) 
(d)
Correct Answer is Option (a)
In reaction (a), the aldehyde reacts with just one equivalent of the Grignard reagent, and the main product will be diphenylmethanol.
Q.4. Which is the reduction product of A/-methylpropanamide with LiAIH4 in ether followed by an aqueous workup?
(a) 
(b) CH3CH2CH2NHCH3
(c) CH3CH2CH2OH
(d) CH3CH2CH2NH2
Correct Answer is Option (b)
LiAIH4 is a powerful hydride donor which generally reduces all types of carbonyl functional groups, and its reduction of an amide gives an amine.
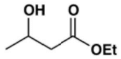
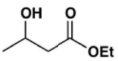
Q.5. Which is the reduction product of ethyl 3-oxobutanoate with NaBH4 in methanol?
(a)
(b)
(c)
(d)
Correct Answer is Option (c)
NaBH4 is a mild hydride donor which, in general, reduces aldehydes and ketones but not esters.
Q.6. Which of the following reactions does not give the product indicated?
(a)
(b)
(c)
(d) 
Correct Answer is Option (d)
Grignard reagents are strong bases as well as nucleophiles, so reaction (d) gives cyclohexane as the result of proton transfer from H2O.
Q.7. Which of the following reactions does not give a secondary alcohol?
(a) 
(b)
(c)
(d)
Correct Answer is Option (d)
In reaction (d), the ester reacts with two equivalents of the Grignard reagent to give a tertiary alcohol after an aqueous workup.
Q.8. Which pair of reactants for a Grignard reaction does not give 2-phenylbutan-2-ol after an aqueous workup?
(a) 
(b)
(c)
(d)
Correct Answer is Option (d)
In reaction (d), the product of the reaction of the ester and two equivalents of the Grignard reagent is 2-phenylpropan-2-ol.
Q.9. Which is the main reduction product of ethyl 3-oxobutanoate with LiAIH4 in ether followed by an aqueous workup?
(a) 
(b)
(c)
(d)
Correct Answer is Option (a)
LiAIH4 is a powerful hydride donor which generally reduces all types of carbonyl functional groups.
Q.10. Which is unreactive in hydride reduction with NaBH4?
(a)
(b)
(c)
(d)
Correct Answer is Option (c)
NaBH4 is a mild hydride donor which, in general, reduces aldehydes and ketones but not esters.
| 1. What is the purpose of LiAlH4? | ![]() |
| 2. Can NaBH4 be used as a substitute for LiAlH4? | ![]() |
| 3. How is a Grignard reagent prepared? | ![]() |
| 4. What are the applications of Grignard reagents? | ![]() |
| 5. Can LiAlH4 and Grignard reagents be used interchangeably? | ![]() |