The applications of breadth-first-algorithm are given as follows:
The steps involved in the BFS algorithm to explore a graph are given as follows:
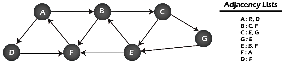
Now, let's understand the working of BFS algorithm by using an example. In the example given below, there is a directed graph having 7 vertices.

In the above graph, minimum path 'P' can be found by using the BFS that will start from Node A and end at Node E. The algorithm uses two queues, namely QUEUE1 and QUEUE2. QUEUE1 holds all the nodes that are to be processed, while QUEUE2 holds all the nodes that are processed and deleted from QUEUE1.
Now, let's start examining the graph starting from Node A.
Step 1: First, add A to queue1 and NULL to queue2.
QUEUE1 = {A}
QUEUE2 = {NULL}
Step 2: Now, delete node A from queue1 and add it into queue2. Insert all neighbors of node A to queue1.
QUEUE1 = {B, D}
QUEUE2 = {A}
Step 3: Now, delete node B from queue1 and add it into queue2. Insert all neighbors of node B to queue1.
QUEUE1 = {D, C, F}
QUEUE2 = {A, B}
Step 4: Now, delete node D from queue1 and add it into queue2. Insert all neighbors of node D to queue1. The only neighbor of Node D is F since it is already inserted, so it will not be inserted again.
QUEUE1 = {C, F}
QUEUE2 = {A, B, D}
Step 5: Delete node C from queue1 and add it into queue2. Insert all neighbors of node C to queue1.
QUEUE1 = {F, E, G}
QUEUE2 = {A, B, D, C}
Step 6: Delete node F from queue1 and add it into queue2. Insert all neighbors of node F to queue1. Since all the neighbors of node F are already present, we will not insert them again.
QUEUE1 = {E, G}
QUEUE2 = {A, B, D, C, F}
Step 7: Delete node E from queue1. Since all of its neighbors have already been added, so we will not insert them again. Now, all the nodes are visited, and the target node E is encountered into queue2.
QUEUE1 = {G}
QUEUE2 = {A, B, D, C, F, E}
Time complexity of BFS depends upon the data structure used to represent the graph. The time complexity of BFS algorithm is O(V+E), since in the worst case, BFS algorithm explores every node and edge. In a graph, the number of vertices is O(V), whereas the number of edges is O(E).
The space complexity of BFS can be expressed as O(V), where V is the number of vertices.
Now, let's see the implementation of BFS algorithm in java.
In this code, we are using the adjacency list to represent our graph. Implementing the Breadth-First Search algorithm in Java makes it much easier to deal with the adjacency list since we only have to travel through the list of nodes attached to each node once the node is dequeued from the head (or start) of the queue.
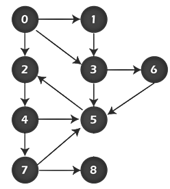
In this example, the graph that we are using to demonstrate the code is given as follows:

import java.io.*;
import java.util.*;
public class BFSTraversal
{
private int vertex; /* total number number of vertices in the graph */
private LinkedList<Integer> adj[]; /* adjacency list */
private Queue<Integer> que; /* maintaining a queue */
BFSTraversal(int v)
{
vertex = v;
adj = new LinkedList[vertex];
for (int i=0; i<v; i++)
{
adj[i] = new LinkedList<>();
}
que = new LinkedList<Integer>();
}
void insertEdge(int v,int w)
{
adj[v].add(w); /* adding an edge to the adjacency list (edges are bidirectional in this example) */
}
void BFS(int n)
{
boolean nodes[] = new boolean[vertex]; /* initialize boolean array for holding the data */
int a = 0;
nodes[n]=true;
que.add(n); /* root node is added to the top of the queue */
while (que.size() != 0)
{
n = que.poll(); /* remove the top element of the queue */
System.out.print(n+" "); /* print the top element of the queue */
for (int i = 0; i < adj[n].size(); i++) /* iterate through the linked list and push all neighbors into queue */
{
a = adj[n].get(i);
if (!nodes[a]) /* only insert nodes into queue if they have not been explored already */
{
nodes[a] = true;
que.add(a);
}
}
}
}
public static void main(String args[])
{
BFSTraversal graph = new BFSTraversal(10);
graph.insertEdge(0, 1);
graph.insertEdge(0, 2);
graph.insertEdge(0, 3);
graph.insertEdge(1, 3);
graph.insertEdge(2, 4);
graph.insertEdge(3, 5);
graph.insertEdge(3, 6);
graph.insertEdge(4, 7);
graph.insertEdge(4, 5);
graph.insertEdge(5, 2);
graph.insertEdge(6, 5);
graph.insertEdge(7, 5);
graph.insertEdge(7, 8);
System.out.println("Breadth First Traversal for the graph is:");
graph.BFS(2);
}
}
Output

Conclusion
In this article, we have discussed the Breadth-first search technique along with its example, complexity, and implementation in java programming language. Here, we have also seen the real-life applications of BFS that show it the important data structure algorithm.
![]() | Explore Courses for Computer Science Engineering (CSE) exam |
![]() | Get EduRev Notes directly in your Google search |