In order to find out a regular expression of a Finite Automaton, we use Arden's Theorem along with the properties of regular expressions.
Statement
Let P and Q be two regular expressions.
If P does not contain null string, then R = Q + RP has a unique solution that is R = QP*
Proof
R = Q + (Q + RP)P [After putting the value R = Q + RP]
= Q + QP + RPP
When we put the value of R recursively again and again, we get the following equation:
R = Q + QP + QP2 + QP3.....
R = Q (ε + P + P2 + P3 + .... )
R = QP* [As P* represents (ε + P + P2 + P3 + ....) ]
Hence, proved.
Method
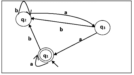
Problem 1: Construct a regular expression corresponding to the automata given below

Here the initial state and final state is q1.
The equations for the three states q1, q2, and q3 are as follows
q1 = q1a + q3a + ε (ε move is because q1 is the initial state0
q2 = q1b + q2b + q3b
q3 = q2a
Now, we will solve these three equations -
q2 = q1b + q2b + q3b
= q1b + q2b + (q2a)b (Substituting value of q3)
= q1b + q2(b + ab)
= q1b (b + ab)* (Applying Arden's Theorem)
q1 = q1a + q3a + ε
= q1a + q2aa + ε (Substituting value of q3)
= q1a + q1b(b + ab*)aa + ε (Substituting value of q2)
= q1(a + b(b + ab)*aa) + ε
= ε (a+ b(b + ab)*aa)*
= (a + b(b + ab)*aa)*
Hence, the regular expression is (a + b(b + ab)*aa)*.
Problem 2: Construct a regular expression corresponding to the automata given below
Here the initial state is q1 and the final state is q2
Now we write down the equations
q1 = q10 + ε
q2 = q11 + q20
q3 = q21 + q30 + q31
Now, we will solve these three equations
q1 = ε0* [As, εR = R]
So, q1 = 0*
q2 = 0*1 + q20
So, q2 = 0*1(0)* [By Arden's theorem]
Hence, the regular expression is 0*10*.
![]() | Explore Courses for Computer Science Engineering (CSE) exam |
![]() | Get EduRev Notes directly in your Google search |