Properties of Ratios

(i) Two numbers are in the ratio of a : b. If both are increased/decreased by k then the ratio of the two numbers becomes c : d then the value x (H.C.F) is given by 
The two numbers will be ax and bx.
(ii) If the ratio of two numbers A and B is N1 : D1 and that of B and C is N2 : D2 then the ratio of three numbers i.e. A : B : C = ( N1 × N2) : (D1 × N2) : (D1 × D2).
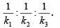
(iii) Three numbers are such that k1 times the first number, k2 times the second number and k3 times the third number are all equal. then the three numbers are in the ratio of 
(iv) If two ratios a : b and c : d have equal values then a, b, c and d are said to be in proportion i.e. a : b = c : d. Here a and d are called the ends and b and c are called means of the proportion. In a proportion the product of extremes is equal to the product of the means.
⇒ a × d = b × c
(v) The number to be subtracted from each of a, b, c and d so that they become proportional is 
Similarly the least number to be added to each of a, b, c and d so that they became proportional is 
If a, b, c, d and x are positive integers such that a/b = c/d

Try yourself: An amount of money is to be divided between P, Q and R in the ratio of 3:7:12.If the difference between the shares of P and Q is Rs.X, and the difference between Q and R’s share is Rs.3000. Find the total amount of money?
Try yourself: If a certain amount X is divided among A, B, C in such a way that A gets 2/3 of what B gets and B gets 1/3 of what C gets, which of the following is true
Try yourself: Seats for Mathematics, Science and arts in a school are in the ratio 5:7:8. There is a proposal to increase these seats by X%, Y% and Z% respectively. And the ratio of increased seats is 2:3:4, which of the following is true?
Try yourself: A company manufactures three products: A, B, and C. The production ratio of A, B, and C is 3:5:7. The total production of these three products together in a month is 30,000 units. How many units of each product were produced?
Try yourself: Two candles of the same height are lighted at the same time. The first is consumed in 4 hours and the second in 3 hours. Assuming that each candle burns at a constant rate, in how many hours after being lighted was the first candle twice the height of the second?
| 1. What is the difference between ratio and proportion? | ![]() |
| 2. How do you solve problems involving ratios? | ![]() |
| 3. Can you provide an example of a real-life application of ratios and proportions? | ![]() |
| 4. What are some common mistakes to avoid when working with ratios and proportions? | ![]() |
| 5. How can I practice ratio and proportion problems effectively? | ![]() |