Q1: A few grains of table salt were put in a cup of cold water, kept at constant temperature and left undistributed. Eventually all the water tested salty. This action is due to?
(a) convection
(b) osmosis
(c) capillarity
(d) diffusion
Ans: (c)
Capillary action is the ability of a liquid to flow in narrow spaces without the assistance of, or even in opposition to, external forces like gravity.
Q2: The force required to make an object of mass m, travelling with velocity v, turn in a circle of radius r is
(a) mv2/x
(b) mr2/x
(c) mr/x
(d) mv/r2
Ans: (a)
Q3: A machine gun with a mass of 5kg fires a 50g bullet at a speed of 100 ms−1. The recoil speed of the machine gun is
(a) 0.5 ms−1
(b) 1.5 ms−1
(c) 1 ms−1
(d) 2ms−1
Ans: (c)
Gun momentum = bullet momentum
Ma Va = Mb Vb
5 x Va = 0.05 x 100
Va = 1m-1
Q4: If in a simple pendulum experiment the length of the inextensible string is increased by a factor or four, its period is increased by a factor of?
(a) 4
(b) π/2
(c)1/4
(d) 2
Ans: (d)
For a simple pendulum,

Q5: In what range of temperature is the expansion of water anomalous?
(a) +208 ºC to +212 ºC
(b) -80 ºC + -76 ºC
(c) 0 ºC to +4 ºC
(d) -4 ºC to +0 ºC
Ans: (c)
The anomalous expansion of water is an abnormal property of water whereby it expands instead of contracting when the temperature goes from 0 ºC to +4 ºC, and it becomes less dense
Q6: Which of the following statements about radioactivity is true?
(i) Alpha particle is positively charged
(ii) Beta particle is negatively charged
(iii) Gamma ray is neutral
(iv) Beta particle has the same mass as helium atom
(v) Gamma ray is charged.
(a) i, ii, iii, iv only
(b) i, ii, iii only
(c) iv and v only
(d) i, ii and v only
Ans: (b)
Q7: In the study of Physics, temperature and heat are often confused with each other. Which of the following statements correctly defines these two elements?
(a) Temperature is a measure of the average kinetic energy of the molecules of a substance
(b) Heat is a measure of the total kinetic energy of the molecules in a system
(c) Different materials require different amounts of heat to cause a given change in temperature
(d) All of the above
Ans: (d)
Q8: The effect of closing the key K in the circuit shown in the figure above would be to?
(a) increase the current by 0.4A
(b) reduce the current by 0.4A
(c) increase the current by 0.6A
(d) reduce the current by 0.6A
Ans: (a)
When K is open, the total Resistance = 8 + 2 = 10Ω
Hence, 0.4A increase
Q9: Which of the following statements on the use of X-rays is incorrect? X-rays are used
(a) In a hospital to obtain photographs of tissues and bones in the body
(b) For the treatment of malignant growths like cancer cells
(c) In detecting fingerprints
(d) To reveal hidden flaws in metal castings and welded joints work of art
Ans: (c)
Q10: Under which of the following conditions is work done?
(a) A boy pushes unto a table
(b) A stands on a table
(c) A man supports a heavy food above his head with his hands
(d) A woman holds a pot of water
Ans: (a)
Because work is done = force applied × distance.
Q11: Natural radioactivity consists of emission___
(a) α-particles and β-rays
(b) α-particles and X-rays
(c) γ-ray and X-rays
(d) α-particles and β-rays and γ-rays
Ans: (d)
Radioactivity is the spontaneous emission of radiation from atomic nuclei. This radiation can consist of alpha, beta, and gamma radiation.
Natural radioactivity is a purely nuclear phenomenon. The nucleus of a radioactive substance is unstable and such an unstable nucleus undergoes spontaneous breakdown (disintegration). The process continues until a stable nucleus is obtained.
Q12: If a source of solid is moving, a stationary listener will hear a sound of different frequency. This is called?
(a) doppler effect
(b) resonance
(c) ultra sound
(d) rarefaction
Ans: (a)
The Doppler effect is the change in frequency of a wave in relation to an observer who is moving relative to the wave source. It is named after the Austrian physicist Christian Doppler, who described the phenomenon in 1842.
Q13: Which of the following can be described as high tension transmission?
(a) High resistance and low voltage
(b) Low current and high voltage
(c) High current and low voltage
(d) High current and low resistance
Ans: (b)
Q14: What is the cost of running five 50W lamps and four 100W lamps for 10 hours if electrical energy costs 2 Kobo per KWh?
(a) N0.65
(b) N0.39
(c) N3.90
(d) N0.13
Ans: (d)
P = (5 x 50) + (100 x 4)
= 650watts
Energy(kWhr) = 650 x 10-3 x 10
= 6.5 kWhr
1kWhr cost 2 kobo ; 6.5 kWhr will cost 2 × 6.512 × 6.51
= 13 kobo
Q15: The mass of a proton is approximately equal to that of
(a) an α-particle
(b) a β-Particle
(c) a neutron
(d) an electron
Ans: (c)
The mass of a proton is equal to that of the hydrogen atom. A hydrogen atom consists of one electron and one proton.
Q16: A transformer has 300 turns of wire in the primary coil and 30 turns in the secondary coil. If the input voltage is 100 volts, the input voltage is
(a) 5 volts
(b) 10 volts
(c) 15 volts
(d) 20 volts
Ans: (b)
Es = e.m.f. of the secondary coil
Ep = Np
Np = e.m.f. of secondary coil
Ns = number of turns in secondary coil
Ns = number of turns in primary coil
30/300 = x/100 = 300
X = 3000
X = 10 volts
Q17: A solid weighs 4.8g in air, 2.8g in water and 3.2g in Kerosine. The ratio of desity of the solid to that of the kerosine is
(a) 2
(b) 3/2
(c) 2/3
(d) 3
Ans: (d)
Relative density of solid is given as
Relative density of liquid
Q18: One of the following readings represents the measurement of the measurement of the length of a metal rod using vernier callipers. Taking the reading accuracy into consideration, the most likely one is
(a) 5.165cm
(b) 5.165cm
(c) 5.0cm
(d) 5.160cm
Ans: (a)
Q19: When a sound wave passes from air into water its
(a) speed and frequency increases but its wavelength remains the same
(b) speed and wavelength increases but its frequency remains the same
(c) speed decreases
(d) speed increases but its frequency and wavelength decreases
Ans: (b)
Q20: A convex mirror is used as a driving mirror because
I. its image is erect
II. It has a large field of view
III. It has a long focal length
Identify the CORRECT statement(s)
(a) I and III only
(b) I and II only
(c) II and IIII only
(d) I, II and III only
Ans: (c)
Q21: Two mirrors of the same length are arranges as show in the diagram. A ray of light NO strikes the system at O and emerges along PQ. The emergent ray has been deviated through
(a) 220º
(b) 200º
(c) 210º
(d) 180º
Ans: (d)
Angle of deviation = θ1 + θ2 = 50 + 50 + 40 + 40
= 180º
Q22: A magnetic needle is suspended first at the earth's north magnetic pole and then at a point on the magnetic equator. The respective angles between the needle and the horizontal are
(a) 0º and 0º
(b) 60º and 60º
(c) 90º and 90º
(d) 90º and 0º
Ans: (a)
Q23: A hydrometer is an instrument for measuring the
(a) a depth of water of water in a vessel
(b) relative density of a liquid by the method of flotation
(c) relative density of a liquid by finding the apparent loss in weight
(d) relative humidity of the air
Ans: (a)
Q24: Consider the three forces acting at O and in equilibrium as shown in the figure. Which of the following equations is/are CORRECT?
I. P1 cos θ1 = p1 cos θ2
II. P3 = P1 cos θ4 + P2cos2
III. P1sinθ1 = P2 sin θ2
(a) I only
(b) II only
(c) III only
(d) I, II and III only
Ans: (c)
Q25: The refractive index of a liquid is 1.5. If the velocity of light in vacuum is 3.0 x 108ms−1, the velocity of light in the liquid is
(a) 1.5 x 108ms−1
(b) 2.0 x 108ms−1
(c) 3.0 x 108ms−1
(d) 4.5 x 108ms−1
Ans: (b)
Q26: A ship travelling towards a cliff receives the echo of its whistle after 3.5 seconds. A short while later, it receives the echo after 2.5 seconds. If the speed of sound in air under the prevalling condition is 250ms-1, how much closer is the ship to the cliff?
(a) 10m
(b) 350m
(c) 175m
(d) 125m
Ans: (d)
Difference in time = 1 sec
Echo time = 1 ÷ 2 = 0.5 sec
Difference of cliff from ship = 0.5 x 250
= 125m
Q27: Which of the following statements about defects of vision is/are CORRECT?
I. For a long sighted person, close objects appear blurred
II. For a short sighted person, distant objects appear blurred
III. Short sight is corrected by using a pair of converging lenses
(a) I only
(b) II only
(c) I and II only
(d) II and III only
Ans: (c)
Q28: Which of the following conditions are necessary and sufficient for total internal reflection to take place at the boundary between two optical media?
I. Light is passing from optical denser medium to optically less dense medium
II. Light is passing from optically less dense medium to optically denser medium to optically denser medium
III. Angle of incidence is greater
IV. Angle of incidence is lesser
(a) I and II only
(b) II only III only
(c) III and IV only
(d) I and III only
Ans: (b)
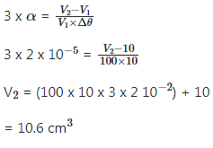
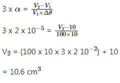
Q29: The linear expansivity of brass is 2 x 10−5 oC−1. If the volume of piece of brass is 10cm3 at 0oC. What will be its volume at 100oC?
(a) 10.06cm3
(b) 10.04 cm3
(c) 10.02 cm3
(d) 10.20 cm3
Ans: (a)
Q30: The lower and upper fixed points marked on a Mercury-in-glass thermometer are 210mm apart. The end of the mercury column in the tube is 49mm above the lower fixed point in a room. What is the temperature of the room in degrees Celsius?
(a) 55.3oC
(b) 23.3oC
(c) 49.0oC
(d) 16.43oC
Ans: (b)
Q31: Heat is supplied uniformly at the rate of 100W to 1.0 x 10−2kg of a liquid for 20 seconds. If the temperature of the liquid rises by 5oC, then the specific heat capacity of the liquid is
(a) 2.0 x 102Jkg−1K−1
(b) 2.0 x 102Jkg−1
(c) 4.0 x 104Jkg−1K−1
(d) 4.0 x 104Jkg−1
Ans: (c)
Heat energy = Electrical Energy
Hence,MCθ = power x time
Q32: Two divers G and H are at depths 20m and 40m, respectively below the water surface in a lake. The pressure on G is p1 while the pressure on H is P2 , If the atmospheric pressure is equivalent to 10m of water, then the value of P2 /P1 is?
(a) 0.50
(b) 0.60
(c) 1.67
(d) 2.00
Ans: (d)
Pressure at H = 40m
Pressure at G, P1 = 20m
P2/P1 = 40/20
= 2
Q33: The fiqure below represents a block-and-tackle pulley system on which an effort of W Newtons supports a load of 120.0N. If the efficiency of the machine is 40o , then the value of W is
(a) 28.0N
(b) 48.0N
(c) 288.0N
(d) 50.0N
Ans: (d)
V.E = 6, load = 120N
Effort = 50N
Q34: In an experiment in which molten naphthalene is allowed to cool, the cooling curve in the figure was obtained. The temperature 80oC is known as the
(a) cooling temperature
(b) boiling point
(c) melting point
(d) vaporization point
Ans: (c)
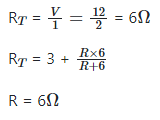
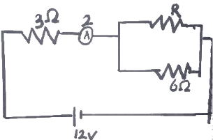
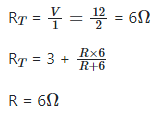
Q35: In the figure, the value of R is
(a) 3Ω
(b) 6Ω
(c) 4Ω
(d) 5Ω
Ans: (b)
Q36: Which of the following instruments consumes the highest current?
(a) I
(b) II
(c) III
(d) IV
Ans: (c)
Q37: Which of the following pairs is NOT part of the electromagnetic spectrum?
I. Radio waves
II. Beta rays
III. Gamma rays
IV. Alpha rays
(a) I and II
(b) III and IV
(c) I and III
(d) II and IV
Ans: (d)
Q38: A substance has half of 3 min. After 6 min, the count rate was observed to be 400. What was its count rate at zero time?
(a) 1600
(b) 1200
(c) 200
(d) 2400
Ans: (a)
Let N = count rate at zero time
N = 1600