Q1: The sum of the digits of a two digit number is 8 and the difference between the number and that formed by reversing the digits is 18. Find the number.
Ans: Let the unit digit be x and the tens digit be y.
∴ Original number = 10y + x ...(i)
Reversed number = 10x + y ...(ii)
According to the question,
x + y = 8
⇒ y = 8 - x ...(iii)
Also, (Original number) - (Reversed number) = 18
⇒ (10y + x) - (10x + y) = 18
⇒ 9y - 9x = 18
⇒ y - x = 2 ...(iv)
Substitute (iii) into (iv): (8 - x) - x = 2
⇒ 8 - 2x = 2
⇒ 2x = 6 ⇒ x = 3
From (iii), y = 8 - 3 = 5
∴ Original number = 10y + x = 10(5) + 3 = 53
Q2: A man earns ₹600 per month more than his wife. One-tenth of the man's salary and l/6th of the wife's salary amount to ₹1,500, which is saved every month. Find their incomes.
Ans: Let the wife's monthly income be ₹x.
Then the man's monthly income = ₹(x + 600).
According to the question,
(1/10)(x + 600) + (1/6)x = 1500
LCM of 10 and 6 is 30, so multiply both sides by 30:
3(x + 600) + 5x = 1500 × 30
3x + 1800 + 5x = 45 000
8x + 1800 = 45 000
8x = 45 000 - 1800 = 43 200
x = 43 200 / 8 = 5 400
Wife's income = ₹5,400
Man's income = ₹(5,400 + 600) = ₹6,000
Q3: Solve the following pair of linear equations by elimination method: x + 2y = 2; x - 3y = 7.
Ans: Given equations:
x + 2y = 2
x - 3y = 7
Step 1: Eliminate x.
Subtract (2) from (1):
(x + 2y) - (x - 3y) = 2 - 7
x + 2y - x + 3y = -5
5 y = -5
y = -1
Step 2: Substitute y = -1 in equation (1):
x + 2 (-1) = 2
x - 2 = 2
x = 4
Therefore, the solution is x = 4, y = -1.
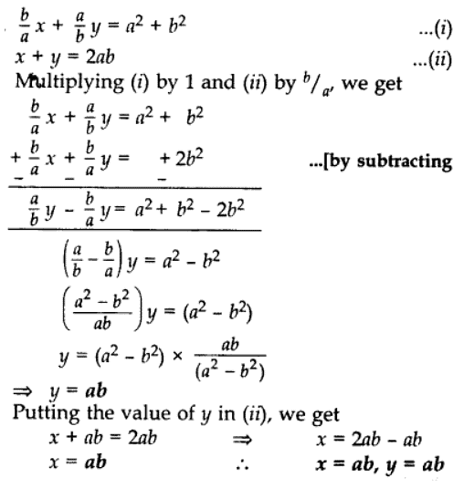
Q4: Find the value of a and p for which the following pair of linear equations has infinite number of solutions:
2x + 3y = 7;
αx + (α + β)y = 28 (2013)
Ans: We have, 2x + 3y = 7 and αx + (α + β)y = 28
Q5: Find the two numbers whose sum is 75 and difference is 15.
Ans: Let the two numbers be x and y.
According to the question,
x + y = 75 ...(i)
∴ x - y = ±15 ...(ii)
Solving (i) and (ii), we get
Q6: Solve the following pair of equations:
49x + 51y = 499
51x + 49 y = 501
Ans:

Q7: Solve:

Ans:


Q8: Solve for x and y:
27x + 31y = 85;
31x + 27y = 89
Ans:

Putting the value of 'x' in (i), we get
2 + y = 3 ⇒ y = 3 - 2 = 1
∴ x = 2, y = 1
Q9: Solve by elimination:
3x - y - 7
2x + 5y + 1 = 0
Ans: 3 x - y = 7 ...(i)
2x + 5y = -1 -00
Multiplying equation (i) by 5 & (ii) by 1,
⇒ x = 2
Putting the value of x in (i), we have
3(2) - y = 7 ⇒ 6 - 7 = y
∴ y = -1 ∴ x = 2, y = -1
Q10: Solve by elimination:
3x = y + 5
5x - y = 11
Ans: We have, 3x = y + 5, and 5x - y = 11
Putting the value of x in (i), we get
3x - y = 5 ⇒ 3(3) - y = 5
9 - 5 = y ⇒ y = 4
∴ x = 3, y = 4
Q11: Solve the following pair of linear equations for x and y:

Ans:

Q12: Solve the following pair of linear equations for x and y:
141x + 93y = 189;
93x + 141y = 45
Ans:

Q13: Solve for x and y:

x + y ≠ 0
x - y ≠ 0
Ans:


Q14: Solve the following pair of equations for x and y:

Ans:

Q15: Represent the following pair of equations graphically and write the coordinates of points where the lines intersect y-axis.
Ans:


By plotting the points and joining them, the lines intersect at A (6, 0).
To find y-intercepts set x = 0:
For x + 3y = 6: 0 + 3y = 6 ⇒ y = 2 ⇒ B(0, 2)
For 2x - 3y = 12: 2·0 - 3y = 12 ⇒ -3y = 12 ⇒ y = -4 ⇒ C(0, -4)
| 1. What is a pair of linear equations in two variables? | ![]() |
| 2. How can a pair of linear equations in two variables be solved? | ![]() |
| 3. What is the significance of finding the solution to a pair of linear equations in two variables? | ![]() |
| 4. Can a pair of linear equations in two variables have no solution? | ![]() |
| 5. How can the consistency of a pair of linear equations in two variables be determined? | ![]() |