

Try yourself: If a point P in the Cartesian plane has coordinates (5, -3), in which quadrant does this point lie, and what are its abscissa and ordinate values?
The distance between two points P(x1, y1) and Q (x2, y2) is given by
Note. If O is the origin, the distance of a point P(x, y) from the origin O(0, 0) is given by :
Example: Find the distance between the following points:
(i) (-1, 2) and (2, 3)
(ii) (0, 1) and (6, -1)
Solution:
(i) Let the distance between the points (-1, 2) and (2, 3) be d.
Apply the distance formula:
d = √[(x2 - x1)² + (y2 - y1)²]
Substitute the values:
d = √[(2 - (-1))² + (3 - 2)²]
d = √[3² + 1²]
d = √[9 + 1]
d = √10 units.
(ii) Let the distance between the points (0, 1) and (6, -1) be d.
Apply the distance formula:
d = √[(6 - 0)² + (-1 - 1)²]
d = √[6² + (-2)²]
d = √[36 + 4]
d = √40
d = 2√10 units.
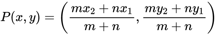
The coordinates of the point which divides the line segment joining the points A(x1, y1) and B(x2, y2) internally in the ratio m : n (that is, AP : PB = m : n) are:

The above formula is section formula.
The ratio m: n can also be written as m/n : 1 or k:1, The co-ordinates of P can also be written as P(x, y) =
Example: Find the coordinates of the point which divides the line segment joining the points (4,6) and (-5,-4) internally in the ratio 3:2.
Sol: Let P(x, y) be the point which divides the line segment joining A(4, 6) and B(-5, -4) internally in the ratio 3 : 2.
Let P(x, y) be the required point dividing A(4, 6) and B(-5, -4) in the ratio 3 : 2.
Identify values:
x1 = 4, y1 = 6
x2 = -5, y2 = -4
m : n = 3 : 2
Using the section formula,
Coordinates of P are, 
Therefore, P = (-7/5, 0).
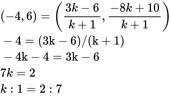
To find the ratio in which a given point P(x, y) divides the line segment joining A(x1, y1) and B(x2, y2),
When x1, x2 and x are known, k can be calculated. The same can be calculated from the y- coordinate also.
Example: Find the ratio when point (– 4, 6) divide the line segment joining the points A(– 6, 10) and B(3, – 8)?
Solution: Let the ratio be m:n.
We can write the ratio as:
m/n : 1 or k:1
Suppose (-4, 6) divide the line segment AB in k:1 ratio.
Now using the section formula, we have the following;
Thus, the required ratio is 2:7.
The mid-point of the line segment joining the points P(x1, y1) and Q(x2, y2) is

Substituting m = 1, n = 1 in the section formula, we get,

Try yourself: Given two points A(3, 4) and B(7, 1) in the Cartesian plane, find the distance between these two points.
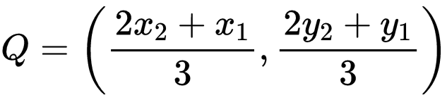
To find the points of trisection P and Q, which divides the line segment joining A(x1, y1) and B(x2, y2) into three equal parts:
i) AP : PB = 1 : 2
ii) AQ : QB = 2 : 1
Example: Find the coordinates of the points of trisection of the line segment joining the points A(2, – 2) and B(– 7, 4).
Solution: Let P and Q divide the line segment AB into three parts.
So, P and Q are the points of trisection here.
Let P divides AB in 1:2, thus by section formula, the coordinates of P are (1, 0)
Let Q divides AB in 2:1 ratio, then by section formula, the coordinates are (-4,2)
Thus, the point of trisection for line segment AB are (1,0) and (-4,2).
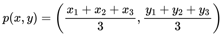
If A(x1, y1), B(x2, y2), and C(x3, y3) are the vertices of a ΔABC, then the coordinates of its centroid(P) are given by:
Example: Find the coordinates of the centroid of a triangle whose vertices are given as (-1, -3), (2, 1) and (8, -4)
Solution: Given,
The coordinates of the vertices of a triangle are (-1, -3), (2, 1) and (8, -4)
The Centroid of a triangle is given by:
G = [(x1 + x2 + x3)/3, (y1 + y2 + y3)/3]
G = [(-1+2+8)/3, (-3+1-4)/3]
G = [9/3, -6/3]
G = (3, -2)
Therefore, the centroid of a triangle, G = (3, -2)
1 videos|66 docs|4 tests |
| 1. What is the Distance Formula and how is it derived? | ![]() |
| 2. How do you use the Section Formula to find the coordinates of a point dividing a line segment? | ![]() |
| 3. How do you find the midpoint of a line segment in the Cartesian Plane? | ![]() |
| 4. What are the points of trisection of a line segment? | ![]() |
| 5. How do you determine the centroid of a triangle using its vertices? | ![]() |