
Let the infinite plane sheet carry a uniform surface charge density σ. Let P be a point at a perpendicular distance r from the sheet where the electric field is to be determined.

By symmetry, the electric field at points on either side of the sheet is perpendicular to the plane and has the same magnitude. Choose a Gaussian surface in the form of a cylindrical pillbox of cross-sectional area A with its flat faces parallel to the sheet and the axis perpendicular to the sheet. Let the pillbox extend equally on both sides of the sheet.

There is no flux through the curved side of the cylinder because the electric field is parallel to that surface.


The total electric flux through the Gaussian surface is the sum of fluxes through the two flat faces. If the magnitude of the electric field is E and it is perpendicular to the faces, then the flux through each face is E·A. Thus the total flux is
E A + E A = 2 E A

The charge enclosed by the pillbox is the surface charge density times the area of intersection:
Q_enc = σ A

By Gauss's law, the total flux equals Q_enc/ε0. Therefore,
2 E A = Q_enc / ε0
2 E A = σ A / ε0
Cancel A and solve for E:
E = σ / (2 ε0)

Thus the magnitude of the electric field due to an infinite uniformly charged plane sheet is
E = σ / (2 ε0)
This result is independent of the distance r from the sheet. The direction of the field is away from the sheet if σ > 0 and toward the sheet if σ < 0.

Consider an electric dipole consisting of charges +q and -q separated by a small distance l. The dipole moment is defined as p = q l and is directed from the negative charge to the positive charge. Let the dipole moment make an angle θ with a uniform electric field E.

The force on the positive charge is +qE in the direction of the field.
The force on the negative charge is -qE opposite to the field.
These two forces are equal in magnitude, parallel, and separated by the distance l, thus forming a couple that tends to rotate the dipole.

The magnitude of the torque τ produced by a couple is the force times the perpendicular separation between their lines of action.
The perpendicular separation between the forces is l sin θ.
Therefore, the magnitude of the torque is
τ = qE × l sin θ
Using p = q l, we obtain
τ = p E sin θ
The direction of the torque is such that it tends to align the dipole moment with the electric field. In vector form the torque is


Consider an infinitely long straight wire carrying a uniform linear charge density λ. To find the electric field at a distance r from the wire, choose a cylindrical Gaussian surface of radius r and length ℓ coaxial with the wire. By symmetry, the electric field has the same magnitude at every point on the curved surface and is directed radially outward.
The flux through the two flat end faces is zero because the field is parallel to those faces. The only contribution to flux is through the curved surface.
The curved surface area is
A = 2 π r ℓ
Since the field is constant on this surface and normal to it, the total flux is
Φ = E × (2 π r ℓ)

The total charge enclosed by the Gaussian surface is the charge per unit length times the length:
Q_enc = λ ℓ

By Gauss's law, Φ = Q_enc / ε0. Thus,
E (2 π r ℓ) = λ ℓ / ε0
Cancel ℓ and solve for E:
E = λ / (2 π ε0 r)
The electric field of an infinitely long straight wire decreases as 1/r and is directed radially outward for positive λ and inward for negative λ.


Consider an electric dipole consisting of charges +q and -q separated by a distance 2a. Let the centre of the dipole be at O and the charges be at A (-a,0) and B (+a,0) on the x-axis. Consider point P on the equatorial plane (the y-axis) at a distance r from the centre O. The distance from each charge to P is
r' = √(a² + r²)

The magnitude of the electric field due to each charge at P is
E' = (1 / (4 π ε0)) · q / r'^2
These fields make angles with the axis; their horizontal (x) components cancel, and their vertical (y) components add or subtract depending on sign of charges. For the equatorial plane, the net field is along the negative y-direction for a dipole with +q at +a and -q at -a (i.e., opposite to the dipole moment).

Resolve the field from each charge into components. The component along the line OP (call it the y-axis) is
E_y = E' · cos φ = E' · (r / r')
Total net field is the sum of y-components from both charges. Since they have the same magnitude and direction along OP,
E_net = 2 E' · (r / r')
Substitute E' = (1 / (4 π ε0)) · q / r'^2 and r' = √(a² + r²):
E_net = 2 · (1 / (4 π ε0)) · q / r'^2 · (r / r')
E_net = (1 / (4 π ε0)) · (2 q r) / r'^3
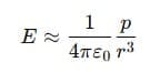
If the dipole moment is p = q (2 a) and for points on the equatorial plane r ≫ a so that r' ≈ r and r'³ ≈ r³, and noting that q·2a = p, we obtain the approximate expression for the field on the equatorial plane at distance r from centre:

The direction of this field is opposite to the dipole moment (i.e., if p⃗ points along +x, the field on the equatorial point on +y is toward -x direction). The exact expression without approximation is
E = (1 / (4 π ε0)) · (2 q r) / (a² + r²)3/2











For a dipole in a uniform electric field, the potential energy is
U(θ) = - p E cos θ
For stable equilibrium, the dipole moment is aligned with the field: θ1 = 0°, so
U(θ1) = - p E cos 0° = - p E
For unstable equilibrium, the dipole moment is opposite to the field: θ2 = 180°, so
U(θ2) = - p E cos 180° = + p E
The work done by an external agent in rotating the dipole slowly from θ1 to θ2 equals the change in potential energy:
W = U(θ2) - U(θ1)
W = p E - (- p E)
W = 2 p E


Let q1 be at position vector r1 and q2 at r2. The electric field at point with position vector r due to a single point charge qi located at ri is
Ei(r) = (1 / (4 π ε0)) · qi · (r - ri) / |r - ri|³
By the principle of superposition, the net electric field at r due to both charges is the vector sum:
E(r) = (1 / (4 π ε0)) · [ q1 (r - r1) / |r - r1|³ + q2 (r - r2) / |r - r2|³ ]




Place the two fixed charges -q at (-d, 0) and (+d, 0). Put the mobile charge +q of mass m at the midpoint initially (0, 0). Displace it slightly to (0, x) where x << d. The distance from the mobile charge to each fixed charge is
r = √(d² + x²)

The magnitude of force between +q and each -q is given by Coulomb's law:
F = (1 / (4 π ε0)) · q² / r²

Each force points from the mobile charge toward the corresponding fixed negative charge. The vertical (y) components of the two forces add (both point toward the x = 0 line), while horizontal components cancel by symmetry.
The y-component of the force from one fixed charge is
F_y (one charge) = F · (x / r)
Therefore, the net restoring force toward the origin is
F_net = - 2 F · (x / r)
Substitute F:
F_net = - 2 · (1 / (4 π ε0)) · q² / r² · (x / r)
F_net = - (1 / (4 π ε0)) · (2 q² x / r³)

For small displacement x ≪ d, approximate r ≈ d so that r³ ≈ d³. Then
F_net ≈ - (1 / (4 π ε0)) · (2 q² x / d³)
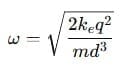
This is of the form F_net = - k_eff x with
k_eff = (1 / (4 π ε0)) · (2 q² / d³)

Since the force is proportional to -x, the motion is simple harmonic with angular frequency
ω² = k_eff / m
ω² = [ (1 / (4 π ε0)) · (2 q² / d³ ) ] / m
Thus
ω = √[ (2 q²) / (4 π ε0 m d³) ] = √[ (2 k_e q²) / (m d³) ]

where k_e = 1 / (4 π ε0) is Coulomb's constant.

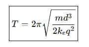
The time period of small oscillations is
T = 2 π / ω
Therefore





Or, expressing k_e explicitly,
T = 2 π √[ (2 π ε0 m d³) / q² ]

74 videos|330 docs|92 tests |
| 1. What is the formula to calculate the electric field due to a point charge? | ![]() |
| 2. How do you calculate the electric field inside a uniformly charged spherical shell? | ![]() |
| 3. What is the formula to calculate the electric field at a point on the axis of a uniformly charged ring? | ![]() |
| 4. How do you find the electric field at a point due to a uniformly charged infinite line of charge? | ![]() |
| 5. What is Gauss's Law and how is it used to calculate the electric field? | ![]() |