The Carnot cycle consists of the following four processes:

Figure 13.8.1: An ideal gas-piston model of the Carnot cycle.
The P-V diagram of the Carnot cycle is shown in Figure 13.8.2. In isothermal processes I and III, ∆U=0 because ∆T=0. In adiabatic processes II and IV, q=0. Work, heat, ∆U, and ∆H of each process in the Carnot cycle are summarized in Table 13.8.1.
Figure 13.8.2: A P-V diagram of the Carnot Cycle.
Table 13.8.1: Work, heat, ∆U, and ∆H in the P-V diagram of the Carnot Cycle.

The T-S diagram of the Carnot cycle is shown in Figure 13.8.3. In isothermal processes I and III, ∆T=0. In adiabatic processes II and IV, ∆S=0 because dq=0. ∆T and ∆S of each process in the Carnot cycle are shown in Table 13.8.2.

Figure 13.8.3: A T-S diagram of the Carnot Cycle. (CC BY 4.0; XiSen Hou via Hope College)
Table 13.8.1: Work, heat, and ∆U in the T-S diagram of the Carnot Cycle.
The Carnot cycle is the most efficient engine possible based on the assumption of the absence of incidental wasteful processes such as friction, and the assumption of no conduction of heat between different parts of the engine at different temperatures. The efficiency of the carnot engine is defined as the ratio of the energy output to the energy input.
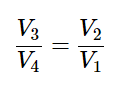
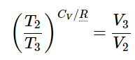
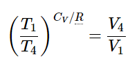
Since processes II (2-3) and IV (4-1) are adiabatic,
(13.8.1)
and
(13.8.2)
And since T1 = T2 and T3 = T4,
(13.8.3)
Therefore,
(13.8.4), (13.8.5)
The Carnot cycle has the greatest efficiency possible of an engine (although other cycles have the same efficiency) based on the assumption of the absence of incidental wasteful processes such as friction, and the assumption of no conduction of heat between different parts of the engine at different temperatures.
| 1. What is the Carnot Cycle? | ![]() |
| 2. What is a P-V diagram? | ![]() |
| 3. How is efficiency calculated in the Carnot Cycle? | ![]() |
| 4. What is the relationship between efficiency and entropy in the Carnot Cycle? | ![]() |
| 5. What is the significance of the Carnot Cycle in thermodynamics? | ![]() |