In the era of globalization, businesses across various sectors are compelled to adopt world-class practices to stay competitive. Recognizing this imperative, companies are investing in methodologies and advanced productivity tools like Material Requirement Planning (MRP), Bill of Material (BOM), Master Production Schedule (MPS), and MRP II.
These tools enable them to implement efficient Manufacturing Resource Planning, ensuring the delivery of quality goods and services while adhering to international quality standards across diverse industries.
Material Requirement Planning (MRP)
Material Requirement Planning (MRP) operates on the premise that inventory levels for many materials are contingent upon demand. This includes both raw materials stocked in inventory and partially completed products in process inventory.
The quantity of raw materials required for a specific material with dependent demand in any given week is determined by the number of products requiring that material. Forecasts for raw materials and partially completed products are unnecessary, as knowing the required finished products for a week allows for the calculation of the necessary materials for production.
Basic Structure of MRP
The fundamental framework of an MRP system, as depicted in Figure, typically involves a computer-based approach. It starts with the Master Production Schedule (MPS) and breaks it down into the required quantities of raw materials, parts, subassemblies, and assemblies needed for each week within the planning horizon.
These material requirements are then adjusted to account for existing inventory levels and pending orders. Subsequently, the system generates a schedule of orders for both purchased materials and manufactured parts throughout the planning horizon.
MULTIPLE CHOICE QUESTION
Try yourself: What is the purpose of Material Requirement Planning (MRP) in manufacturing?
A
To track inventory levels for raw materials and partially completed products.
B
To forecast demand for finished products.
C
To calculate the required materials for production based on the number of finished products needed.
D
To generate a schedule of orders for purchased materials and manufactured parts.
Correct Answer: C
- Material Requirement Planning (MRP) is used to calculate the necessary materials for production based on the number of finished products needed. - MRP tracks inventory levels for raw materials and partially completed products to determine the quantity of materials required in any given week. - MRP does not involve forecasting demand for finished products or solely generating a schedule of orders for purchased materials and manufactured parts. - The primary purpose of MRP is to ensure efficient manufacturing resource planning and the delivery of quality goods and services.
Report a problem
Objectives of MRP
Material Requirement Planning (MRP) has emerged as an indispensable planning tool for manufacturing units worldwide. Upon MRP implementation, typical benefits include enhanced inventory turnover, improved fulfillment of delivery commitments, reduced need to split orders due to material shortages, decreased requirement for expediters, and shorter lead times for product delivery. The objectives of MRP are as follows:
Enhance Customer Service
Reduce Inventory Investment
Improve Plant Operating Efficiency
To Enhance Customer Service
Improving customer service involves surpassing customer expectations by delivering more products than requested upon receiving customer orders. Satisfying customers also entails fulfilling delivery promises and reducing delivery times.
Material Requirement Planning (MRP) not only furnishes essential management information to enable reliable delivery promises but also integrates these commitments into the MRP control system, which directs production. Consequently, promised delivery dates become organizational objectives, enhancing the likelihood of meeting them.
To Reduce Inventory Investment
To decrease inventory investment, conventional systems like fixed order quantity and order point systems often result in prolonged periods of high inventory levels interspersed with brief periods of low inventory.
In contrast, MRP synchronizes orders for raw materials with the appearance of raw material's end items in the Master Production Schedule (MPS). This approach fosters extended periods of low inventory levels punctuated by brief periods of high inventory, substantially reducing the impact on raw materials inventory levels and leading to more consistent average inventory levels.
To Improve Plant Operating Efficiency
Improving plant operating efficiency through MRP entails controlling the quantity and timing of deliveries for raw materials, parts, subassemblies, and assemblies. MRP ensures the timely delivery of the correct materials, allowing for adjustments in inflow rates to align with changes in production schedules.
Consequently, MRP leads to reduced labor, material, and variable overhead costs by minimizing stock-outs, material delivery delays, scrap occurrences, and planning delays. These benefits stem from the core philosophy of MRP systems, which prioritize the simultaneous arrival of all necessary materials to support the Master Production Schedule. This philosophy enables MRP systems to adjust delivery schedules dynamically, ensuring that production operations focus on parts required precisely when needed, optimizing production capacity utilization.
Principles of MRP
Material Requirement Planning (MRP) primarily focuses on scheduling activities and managing inventories. It proves particularly valuable in scenarios where there's a necessity to manufacture components, items, or sub-assemblies used in the production of a final product. Additionally, non-manufacturing organizations may employ MRP when providing transport or services to customers, requiring certain subsystems.
For instance, when a manufacturing organization receives an order for a computer, it must procure or produce various components used in the final assembly for the customer. Similarly, in a hospital setting, treating a patient for a major operation entails providing accommodation, diagnostic tests, anesthetics, post-care facilities, and surgical facilities to meet the patient's comprehensive needs.
In these examples, the requested product or service represents the system's final output, derived from lower-level provisions that are dependent on the customer's ultimate requirement. By measuring or forecasting the total number of customers, demand at lower levels can be estimated. MRP serves precisely this purpose. It takes forecasted or measured demand for the system's outputs as input, breaks down this demand into component parts, compares it against existing inventories, and schedules the required parts based on available capacity.
The MRP process generates schedules for all component parts, extending to purchasing requirements when necessary, and identifies anticipated shortages due to capacity constraints. This iterative process is depicted in Figure and is repeated at regular intervals, possibly aligning with demand forecasting cycles or responding to changes in known demand. Although this procedure involves significant data processing, advancements in computing power have made it more accessible and cost-effective for organizations.
MULTIPLE CHOICE QUESTION
Try yourself: What is one of the objectives of Material Requirement Planning (MRP)?
A
Increase inventory turnover.
B
Reduce customer service.
C
Extend lead times for product delivery.
D
Decrease plant operating efficiency.
Correct Answer: A
- Material Requirement Planning (MRP) aims to enhance inventory turnover by synchronizing orders for raw materials with the appearance of raw material's end items in the Master Production Schedule (MPS). - This approach fosters extended periods of low inventory levels punctuated by brief periods of high inventory, resulting in more consistent average inventory levels. - By efficiently managing inventory levels, MRP helps reduce carrying costs and optimize the utilization of available resources. - Increasing inventory turnover ensures that materials are utilized efficiently, reducing waste and improving the overall efficiency of the manufacturing process.
Report a problem
Key Factors Influencing MRP
In addition to basic input parameters, MRP applications commonly consider batch size and safety stock as crucial factors.
Batch Size (BS)
While MRP inherently facilitates the purchase and manufacture of items as needed, it doesn't inherently optimize batch sizes to balance ordering or setup costs with holding costs. To achieve economies of scale, MRP systems must integrate an economic batching procedure.
One approach involves issuing fixed-quantity orders whenever a requirement arises, with surplus items placed in stock. Subsequently, as demand recurs, stock is depleted or additional economic batch quantities are produced. The necessity for maintaining inventories over time primarily stems from the requirement to manufacture items in economic batches, barring any safety stock considerations at these levels.
Safety Stock (SS)
When MRP operates based on forecasted end-product demand, there's a risk of forecast inaccuracies leading to higher-than-anticipated demand for certain periods. To mitigate this risk, holding safety stocks becomes necessary. In cases where customer requirements are solely expressed in terms of end products rather than components or parts, safety stock is best held at higher levels within the bill of requirements structure, such as final sub-assembly or product assembly levels.
In such scenarios, the MRP process inherently safeguards against shortages of lower-level items by ensuring timely production to meet the final master production schedule. Consequently, safety stock is typically maintained only at lower levels where customer demand involves component parts as well as finished products.
Evaluation of MRP
The benefits of MRP compared to traditional inventory planning methods like fixed order quantities and order points are elucidated in the subsequent sections. These advantages encompass enhanced customer service, reduced inventory levels, and heightened operational efficiency within production departments. Certain characteristics of production systems are conducive to the successful implementation of MRP:
A robust computer system with accurate computerized bills of material and inventory status files for all materials and end items.
A production system that manufactures discrete products through multiple production steps involving raw materials, parts, subassemblies, and assemblies.
Production processes with extended processing times.
Relatively predictable lead times.
A dependable master schedule.
Commitment and support from top management.
While MRP is not universally applicable across all production systems, its adoption is experiencing a significant upward trajectory. However, it's crucial to recognize that MRP is not a cure-all solution for inventory planning challenges. Essentially, MRP functions as a computerized information system for Production Operations Management (POM). Ineffectiveness in computer systems, inaccuracies in inventory status and bill of material files, unreliable master production schedules, and overall mismanagement can render MRP ineffective or even counterproductive, generating excessive volumes of inaccurate and unused information.
For MRP to be effective, it requires well-managed production systems and a comprehensive production and inventory planning framework. Reliable lead times and a frozen master production schedule prior to actual production commencement are essential prerequisites. Additionally, MRP tends to offer greater benefits in inventory planning when dealing with small lot sizes and high demand variability compared to traditional economic lot size and order point inventory planning systems, which are more suited to uniform demand scenarios.
MULTIPLE CHOICE QUESTION
Try yourself: What is one of the key factors that MRP applications commonly consider?
A
Production lead times
B
Customer demand variability
C
Manufacturing costs
D
Inventory turnover
Correct Answer: B
- MRP applications commonly consider customer demand variability as one of the key factors. - This is because forecast inaccuracies can lead to higher-than-anticipated demand for certain periods, and MRP systems need to mitigate this risk. - Holding safety stocks helps in ensuring timely production to meet the final master production schedule and safeguard against shortages. - Safety stock is typically maintained at lower levels where customer demand involves component parts as well as finished products. - Therefore, customer demand variability is an important factor to consider in MRP applications to optimize inventory planning and production.
Report a problem
Deployment of MRP
In systems focused on products, where raw materials are immediately transformed into finished goods to match requirements, MRP may offer limited benefits. However, for process-focused systems with intricate, multi-stage production processes and long processing times, MRP's sophisticated inventory and production planning capabilities prove invaluable. In such scenarios, MRP streamlines production and inventory planning by accommodating long lead times and complex processing steps.
MRP is traditionally tailored for manufacturing systems and is seldom utilized in non-manufacturing domains such as service systems, petroleum refineries, retailing, and transportation firms. However, there is growing recognition of the potential applicability of MRP in certain non-manufacturing contexts. For instance, service systems requiring sets of raw materials to deliver a unit of service, like surgical operations in large hospitals or high-volume professional services, may benefit from MRP systems in the future.
The implementation of an MRP system is a complex endeavor and not without challenges. MRP operates as an information system, relying heavily on accurate data. Simply purchasing software and hardware does not ensure a successful MRP system implementation. Significant startup and ongoing costs are involved, including the rectification of poor or inadequate information and the establishment of system discipline to maintain accurate data flow into the MRP system. These hidden costs are often overlooked when proposing an MRP system implementation.
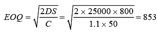
Example: The total requirements for a material from an MRP schedule are given in the following table: The annual demand for this end item is estimated to be 25,000 units over a 50 week per year schedule, or an average of 500 units per week. It costs Rs. 800 to change over the machines in the final assembly department to this end item when a production lot is begun. It costs Rs. 1.10 per unit when one unit of this product must be carried in inventory from one week to another; therefore, when one unit of this product is in ending inventory, it must be carried over as beginning inventory in the next week and incurs the Rs. 1.10 per unit carrying cost. Determine which of these lots sizing methods results in the least carrying and changeover (or order) costs for the eight week schedule : (a) Lot for Lot (LFL), (b) Economic Order Quantity (EOQ), or (c) Period Order Quantity (POQ). Ans:(a) Develop the total carrying costs over the eight week schedule for the lot-for-lot method. Lot-For-Lot (LFL) production lots equal the net requirement in each period.
(b) Develop the total carrying costs over the eight-week schedule for the EOQ lot sizing method. EOQ production lots equal the computed EOQ. First, compute the EOQ :
Carrying costs = sum of ending inventories × 1.10 = 3266 × 1.10 = 3592.60 Ordering costs = Number of orders × 800.00 = 5 × 800.00 = 4000.00 (c) Develop the total carrying costs over the eight-week schedule for the POQ lot sizing method. POQ production lots equal the net requirements for POQ computed periods. First, compute the POQ:
= 1.706 or 2 weeks per order
Carrying costs= sum of ending inventories × 1.10 = 2500 × 1.10 = 2750.00 Ordering costs = Number of orders × 800.00 = 4 × 800.00 = 3200.00 Among the lot sizing methods considered for this data, the POQ method exhibits the least carrying and ordering cost for the eight week net requirements schedule.
Limitations of MRP Planning
MRP operates as a closed production system with two primary inputs: the master production schedule for the end product and the interconnections among the various components, modules, and subassemblies forming the production process for that end product. While this method appears logical for scheduling production lot sizes, it is fraught with unrealistic assumptions. Let's delve into these assumptions, the resultant challenges, and potential solutions.
Key Limitations of MRP: Uncertainty and Capacity Planning
Uncertainty
One major assumption underlying MRP is the availability of all necessary information with certainty. However, uncertainties persist, primarily stemming from two sources: forecasts for future sales of the end product and estimations of production lead times between different production levels. Forecast uncertainty implies that actual demand may deviate from forecasted demand. This necessitates the revision of forecasts when new orders are received or when updated market information becomes available.
Such revisions can render previous lot-sizing decisions incorrect, impacting ongoing production processes. Optimal inventory policies typically incorporate safety stock to mitigate demand uncertainty, a principle that can be applied to MRP systems. While independent safety stock at all levels is generally not recommended, appropriate safety levels can be integrated into end product forecasts, cascading down through the system via the explosion calculation.
Capacity Planning
Another critical aspect not explicitly addressed by MRP is production facility capacity. Although capacitated lot-sizing methods manage production capacities at one system level, they do not address the overall capacity problem. Even if lot sizes at a certain level remain within production capacities, translating these sizes to gross requirements at lower levels may exceed existing capacity.
Capacity Requirements Planning (CRP) computes the capacity requirements placed on work centers using MRP planned order releases. Infeasible requirements schedules may necessitate corrective actions such as scheduling overtime at bottleneck locations or revising the master production schedule to align with current system capacity. This iterative process between CRP and MRP can be cumbersome and require trial and error to resolve.
MRP Outputs
The outputs generated by MRP systems dynamically outline the future schedule of materials and the quantity of each material needed in each period to support the Master Production Schedule (MPS). The primary outputs of MRP systems include:
Planned Order Schedule: This schedule details the quantity of each material to be ordered within specific time periods. It serves as a guideline for placing purchase orders to acquire parts, subassemblies, or assemblies from suppliers. Additionally, the planned order schedule informs production schedules both at the supplier's end and for future in-house production.
Changes in Planned Orders: Also known as modifications to previous planned orders, this output allows for adjustments to order quantities, cancellations, or rescheduling of orders to different time periods.
Exception Reports: These reports highlight items requiring management attention to ensure the correct quantity of materials in each time period. Typical exceptions include reporting errors, late orders, and instances of excessive scrap.
Performance Reports: Performance reports gauge the effectiveness of the system's operation. Performance measures such as inventory turnovers, percentage of delivery promises kept, and occurrences of stock-outs are commonly used.
Planning Reports: Planning reports provide valuable information for future inventory planning activities. Examples of planning information include inventory forecasts, purchase commitment reports, links to demand sources, and long-range material requirements planning.
Ans. MRP (Material Requirements Planning) is a system used by businesses to plan and manage the materials needed for production. It helps in determining the quantity and timing of materials required to meet production demands.
2. What are the objectives of MRP?
Ans. The objectives of MRP include optimizing inventory levels, reducing lead times, improving production planning and scheduling, minimizing stockouts, and maximizing customer satisfaction.
3. What are the principles of MRP?
Ans. The principles of MRP include determining the quantity and timing of materials required based on production schedules, maintaining accurate inventory records, tracking material availability and usage, and updating plans as production requirements change.
4. What are the key factors influencing MRP?
Ans. The key factors influencing MRP include accurate demand forecasting, reliable production schedules, availability of accurate inventory data, effective communication between departments, and stable supplier relationships.
5. What are the limitations of MRP planning?
Ans. The limitations of MRP planning include the inability to handle complex production processes, reliance on accurate data and forecasts, difficulty in managing changes and disruptions, and the need for skilled personnel to operate the system effectively.
past year papers, Important questions, mock tests for examination, MRP (Material Requirements Planning), Summary, Free, video lectures, MRP (Material Requirements Planning), shortcuts and tricks, Sample Paper, pdf , study material, Viva Questions, practice quizzes, MCQs, Objective type Questions, Semester Notes, Extra Questions, ppt, Previous Year Questions with Solutions, MRP (Material Requirements Planning), Exam;