JEE Exam  >  JEE Notes  >  Physics Main & Advanced  >  JEE Advanced Previous Year Questions (2018 - 2025): Alternating Current

JEE Advanced Previous Year Questions (2018 - 2025): Alternating Current

2024

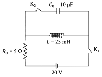
Q1: The circuit shown in the figure contains an inductor L, a capacitor C₀, a resistor R₀, and an ideal battery. The circuit also contains two keys K₁ and K₂. Initially, both the keys are open and there is no charge on the capacitor. At an instant, key K₁ is closed and immediately after this the current in R₀ is found to be I₁. After a long time, the current attains a steady state value I₂. Thereafter, K₂ is closed and simultaneously K₁ is opened and the voltage across C₀ oscillates with amplitude V₀ and angular frequency ω₀.
20242024(a) P → 1; Q → 3; R → 2; S → 5
(b) P → 1; Q → 2; R → 3; S → 5
(c) P → 1; Q → 3; R → 2; S → 4
(d) P → 2; Q → 5; R → 3; S → 4     [JEE Advanced 2024 Paper 1]
Ans: 
(a)
(P) When K1 1 is closed current in R0 0 is I1
At t = 0 t=0; circuit will be
2024I= 0
P → (1)
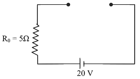
(Q) After long time inductor behave as a wire so  I2
2024I₂ = 20 / 5 = 4 A
Q → (3)
(R) When K₂ is closed and K₁ open
20242024
(S) Now 2K2 is closed and 1K1 open
2024
12 L I22 = 12 C V02
25 × 10-3 × (4)2 = 10 × 10-6 × V02
V02 = 2500 × 16
V0 = 50 × 4 = 200 V
S → (5)

2023

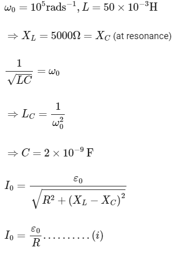
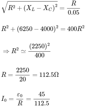
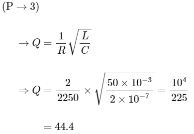
Q1: A series LCR circuit is connected to a 45sin⁡(ωt) Volt source. The resonant angular frequency of the circuit is   105 rad s-1 and current amplitude at resonance is I0. When the angular frequency of the source is   ω = 8 × 104 rad s-1, the current amplitude in the circuit is 0.05I0. If  L = 50 mH, match each entry in List-I with an appropriate value from List-II and choose the correct option.2023

(a) P→2,Q→3,R→5,S→1
(b) P→3,Q→1,R→4,S→2
(c) P→4,Q→5,R→3,S→1
(d) P→4,Q→2,R→1,S→5                [JEE Advanced 2023 Paper 1]
Ans: 
(b)

2023

2023

At, ω = 8 × 104 rad s-1 
2023

From (i) and (ii), we get

2023

= 400 mA

2023

2023

2023

The document JEE Advanced Previous Year Questions (2018 - 2025): Alternating Current is a part of the JEE Course Physics for JEE Main & Advanced.
All you need of JEE at this link: JEE

FAQs on JEE Advanced Previous Year Questions (2018 - 2025): Alternating Current

1. What is the concept of impedance in an AC circuit?
Ans. Impedance is the total opposition that a circuit offers to the flow of alternating current (AC). It is a complex quantity represented as Z, combining both resistance (R) and reactance (X). Impedance can be calculated using the formula Z = √(R² + X²), where X is the reactance due to capacitors and inductors.
2. How does a capacitor behave in an AC circuit?
Ans. In an AC circuit, a capacitor stores and releases energy, causing a phase difference between the current and voltage. The current leads the voltage by 90 degrees in a purely capacitive circuit. The capacitive reactance (Xc) can be calculated using the formula Xc = 1/(2πfC), where f is the frequency and C is the capacitance.
3. What is the significance of resonance in AC circuits?
Ans. Resonance in AC circuits occurs when the inductive reactance (XL) equals the capacitive reactance (XC), resulting in maximum current flow at a specific frequency known as the resonant frequency. This phenomenon is important in tuning circuits, filters, and oscillators, as it allows for selective frequency response.
4. How do you calculate the power factor in an AC circuit?
Ans. The power factor (PF) in an AC circuit is the ratio of the real power (P) consumed to the apparent power (S) in the circuit. It can be expressed as PF = P/S = cos(φ), where φ is the phase angle between the current and voltage. A power factor of 1 indicates that all the power is being effectively used for work.
5. What are the differences between series and parallel resonant circuits?
Ans. In a series resonant circuit, the inductor and capacitor are connected in series, and at resonance, the impedance is at a minimum, allowing maximum current flow. Conversely, in a parallel resonant circuit, the inductor and capacitor are connected in parallel, and at resonance, the impedance is at a maximum, resulting in minimal current flow.
Explore Courses for JEE exam
Get EduRev Notes directly in your Google search
Related Searches
JEE Advanced Previous Year Questions (2018 - 2025): Alternating Current, ppt, Semester Notes, past year papers, study material, Sample Paper, mock tests for examination, Extra Questions, JEE Advanced Previous Year Questions (2018 - 2025): Alternating Current, MCQs, Exam, JEE Advanced Previous Year Questions (2018 - 2025): Alternating Current, shortcuts and tricks, practice quizzes, Summary, Free, Objective type Questions, Previous Year Questions with Solutions, pdf , Viva Questions, Important questions, video lectures;