Year 11 Exam  >  Year 11 Notes  >  Sin,Cosine Rule & Area of Triangles

Sin,Cosine Rule & Area of Triangles

CIE IGCSE Maths: Extended

Revision Notes

IGCSE Maths: Extended CIE Revision Notes Pythagoras & Trigonometry Sine, Cosine Rule & Area of Triangles Sine & Cosine Rules Sine & Cosine Rules

Syllabus Edition

First teaching 2023

First exams 2025

|

Sine & Cosine Rules

Test Yourself

Sine Rule

What is the sine rule? What is the sine rule?
  • The sine rule helps us find missing side lengths or angles in triangles that are not right-angled. It applies to triangles with angles A, B, and C.
The sine rule helps us find missing side lengths or angles in triangles that are not right-angled. non right-angled triangles
  • It states that in any triangle with angles A, B, and C:
  • It states that in any triangle with angles A, B, and C: Sine Rule
    • The side opposite angle A divided by the sine of angle A equals the side opposite angle B divided by the sine of angle B, which also equals the side opposite angle C divided by the sine of angle C.
    • When one of the angles is 90 degrees, the sine of that angle is 1, simplifying calculations using SOH (Sine = Opposite/Hypotenuse) from SOHCAHTOA.

    Understanding the Sine Rule

    • The side opposite angle A is to the side opposite angle B as the side opposite angle C.
    • When considering angle A, its opposite side relates to angle B and angle C in a similar manner.
    Understanding:
    • The relationship between the sides and angles can be succinctly described as above.
    • Understanding the Sine RuleConnection:
    • Angle A and its corresponding side exhibit a specific relationship within the triangle.
    • Understanding the Sine RuleCorrespondence:
    • Angle B and its associated side adhere to a particular pattern within the triangle.
    • Understanding the Sine RuleAssociation:
    • Angle C and its corresponding side follow a specific connection within the triangle.
    • When angle measures 90 degrees, the sine of that angle is 1, aligning with the concept of SOH in trigonometry, a part of SOHCAHTOA.
    • Application:
    • Utilizing the sine rule to ascertain missing side lengths or angles involves a systematic approach:
      • Identify opposite pairs of sides and angles within the triangle.
      • Begin by labeling the triangle with angles and sides, ensuring lowercase letters correspond to opposite uppercase letters.
      • Apply the sine rule formula to calculate side lengths.
      • To determine missing angles, rearrange the formula appropriately.
      Application:
    • The sine rule is a valuable tool when dealing with triangles, especially for cases involving opposite pairs of sides and angles.
    • Initial Step:
    • Always commence by labeling the triangle with angles and sides, ensuring proper correspondence between lowercase and uppercase designations.
    • Starting Point:

      Understanding Trigonometry: A Comprehensive Overview

      • When dealing with triangles, remember that the sides with lower-case letters are always opposite the angles with corresponding upper-case letters. This relationship is fundamental in trigonometry as it helps us establish connections between sides and angles.
      • Calculating the length of a side in a triangle involves utilizing specific formulas tailored for such computations. These formulas are pivotal in determining unknown side lengths based on the given information.
      • Discovering a missing angle within a triangle requires rearranging formulas and applying the appropriate trigonometric identities. By manipulating the formulas effectively, you can unveil the angle that was previously unknown.

      Resolving Trigonometric Problems: The Ambiguous Case

      Exploring the ambiguous case of the sine rule delves into scenarios where multiple solutions or no solutions exist for a given set of data. This situation arises when the provided information is insufficient to uniquely determine a triangle's configuration.

      Resolving Trigonometric Problems: The Ambiguous Case

      Sine Rule in Triangles

      • If the sine rule is applied to a triangle with two sides and an angle given, but the angle is not between the sides, multiple triangles may be possible.
      • The side opposite the provided angle could be in two different positions.
      • This situation leads to two potential values for each missing angle and two potential lengths for the missing side.
      • The sum of the two angles opposite the given side (not the ambiguous side) will always be 180 degrees.
      • The sine rule typically provides the acute angle option, but subtracting from 180 degrees can give the obtuse angle. However, sometimes the obtuse angle may not be valid if it causes the sum of the triangle's interior angles to exceed 180 degrees.

      Understanding the Sine Rule in Trigonometry

      • The angle you seek in a triangle can be acute or obtuse, usually specified in the question.
      • To find the obtuse angle using the sine rule, subtract the acute angle from 180°.
      • Be cautious as sometimes the obtuse angle may not be valid, leading to the total exceeding 180°.

      Acute and Obtuse Angles in Trigonometry

      • The question typically indicates whether the angle is acute or obtuse.
      • For obtuse angles, subtract the given acute angle from 180° to obtain the correct value.
      • It's crucial to ensure that the sum of the triangle's interior angles does not surpass 180°.

      Using the Sine Rule Effectively

      • Always check that your calculator is set to degrees mode before using the sine rule.
      • Refer to the list of formulas, usually on page 2, to find the sine rule formula.

      The provided images display visual examples of applying the sine rule in trigonometry problems. Remember to utilize the sine rule accurately to calculate unknown angles within triangles.

      Using the Sine Rule EffectivelyUsing the Sine Rule EffectivelyUsing the Sine Rule EffectivelyUsing the Sine Rule Effectively

      Use the sine rule methodically to determine the values of angles within triangles, especially when dealing with ambiguous cases.

      Using the Sine Rule Effectively

      Employ the sine rule to calculate the specific angles in trigonometry problems effectively.

      Cosine Rule

      Definition: The cosine rule provides a method to determine missing side lengths or angles within triangles that are not right-angled.

      Key Points:

      • The cosine rule is essential for solving triangles that are not right-angled.
      • It specifies that in any triangle:
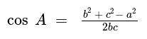
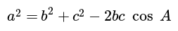
        • The side 'a' is opposite angle A, whereas sides 'b' and 'c' represent the other two sides.
        • Two formula versions exist, both variations of the same concept. The first version is used to find a missing side, while the second can determine a missing angle.
        • If angle A equals 90 degrees, the cosine rule reduces to Pythagoras' Theorem.

      Illustrative Example:

      ScenarioFormula
      Finding a missing sidea² = b² + c² - 2bc * cosA
      Finding a missing anglecosA = (b² + c² - a²) / 2bc

      Images for Reference:

      Images for Reference:Images for Reference:Images for Reference:Images for Reference:Images for Reference:

      Using Trigonometry to Find Missing Sides and Angles

      • The first method helps determine missing sides.
      • The second method, a variation of the first, assists in finding missing angles.

      Pythagoras' Theorem

      • Cosine of 90 degrees equals 0, implying in a right triangle with a 90-degree angle, Pythagoras' Theorem applies.

      Utilizing the Cosine Rule

      • The cosine rule is applicable when you know two sides and the angle between them, or all three sides of a triangle.
      • Always begin by labeling the triangle with the respective angles and sides.
      • Remember, lowercase letters represent sides opposite equivalent uppercase angles.
      • Follow the formula to determine an unknown side or angle.

      Understanding Triangle Properties

      • When dealing with triangles, recall that sides with lowercase letters are always opposite angles marked with corresponding uppercase letters.
      • To determine an unknown side length, apply the appropriate formula.
      • Calculate unknown angles by utilizing specific formulas, like the one between sides b and c.
      • Substitute known values into formulas and solve for the unknowns.

      Important Note:

      • Always ensure that your calculator is set to degrees mode before performing any trigonometric calculations.
      • Refer to the list of formulas on page 2 for the cosine rule when necessary.

      Visual Representations:

      Visual Representations:

      Calculate the value of angle X:

      Visual Representations:Visual Representations:Visual Representations:Visual Representations:Visual Representations:

      Check your solution:

      Visual Representations:Visual Representations:

      Assessment and Further Learning:

      • Test your understanding before moving on to the next topic.
      • Download additional notes covering Sine & Cosine Rules for comprehensive learning.
    The document Sin,Cosine Rule & Area of Triangles is a part of Year 11 category.
    All you need of Year 11 at this link: Year 11
    Download as PDF

    Top Courses for Year 11

    Related Searches
    Sample Paper, pdf , Cosine Rule & Area of Triangles, practice quizzes, Extra Questions, Previous Year Questions with Solutions, Cosine Rule & Area of Triangles, Summary, past year papers, ppt, Objective type Questions, Cosine Rule & Area of Triangles, Sin, Viva Questions, video lectures, Sin, study material, Exam, mock tests for examination, Free, MCQs, Important questions, Sin, shortcuts and tricks, Semester Notes;