Class 10 Exam  >  Class 10 Notes  >  Mathematics (Maths) Class 10  >  Unit Test (Solutions): Arithmetic Progressions

Unit Test (Solutions): Arithmetic Progressions | Mathematics (Maths) Class 10 PDF Download

Time: 1 hour

M.M. 30

Attempt all questions.

  • Question numbers 1 to 5 carry 1 mark each.
  • Question numbers 6 to 8 carry 2 marks each.
  • Question numbers 9 to 11 carry 3 marks each.
  • Question number 12 & 13 carry 5 marks each.

Q1: If a = 10 and d = 10, then first four terms will be: (1 Mark)
(a) 10, 30, 50, 60
(b) 10, 20, 30, 40
(c) 10, 15, 20, 25
(d) 10, 18, 20, 30

Ans: (b)
a = 10, d = 10
a1 = a = 10
a2 = a1+d = 10+10 = 20
a3 = a2+d = 20+10 = 30
a4 = a3+d = 30+10 = 40

Q2: 11th term of the A.P. -3, -1/2, 2 …. is (1 Mark)
(a) 28
(b) 22
(c) -38
(d) -48

Ans: (b)
A.P. = -3, -1/2, 2 …
First term a = – 3
Common difference, d = a2 − a1 = (-1/2) -(-3)
⇒ (-1/2) + 3 = 5/2
Nth term;
an = a+(n−1)d
a11 = 3+(11-1) (5/2)
a11 = 3+(10) (5/2)
a11 = -3+25
a11 = 22

Q3: Which term of the A.P. 3, 8, 13, 18, … is 78? (1 Mark)

Ans:  16
Given, 3, 8, 13, 18, … is the AP.
First term, a = 3
Common difference, d = a2 − a1 = 8 − 3 = 5
Let the nth term of given A.P. be 78. Now as we know,
an = a+(n−1)d
Therefore,
78 = 3+(n −1)5
75 = (n−1)5
(n−1) = 15
n = 16

Q4: The 21st term of AP whose first two terms are -3 and 4 is: (1 Mark)
(a) 17
(b) 137
(c) 143
(d) -143

Ans: (b)
First term = -3 and second term = 4
a = -3
d = 4-a = 4-(-3) = 7
a21=a+(21-1)d
=-3+(20)7
=-3+140
=137

Q5: What is the common difference of an A.P. in which a21  a7 = 84? (1 Mark)

Ans:  6
a21 – a7 = 84 …[Given]
∴ (a + 20d) – (a + 6d) = 84 …[an = a + (n – 1)d
20d – 6d = 84
14d = 84 

⇒ d = 84/14
d = 6

Q6: The angles of a triangle are in A.P., the least being half the greatest. Find the angles. (2 Marks)

Ans: Let the angles be a – d, a, a + d; a > 0, d > 0
∵ Sum of angles = 180°
∴ a – d + a + a + d = 180°
⇒ 3a = 180° ∴ a = 60° …(i) 

By the given conditionUnit Test (Solutions): Arithmetic Progressions | Mathematics (Maths) Class 10⇒ 2 = 2a – 2d = a + d
⇒ 2a – a = d + 2d ⇒ a = 3d
Unit Test (Solutions): Arithmetic Progressions | Mathematics (Maths) Class 10… [From (i)
∴ Angles are: 60° – 20°, 60°, 60° + 20°
i.e., 40°, 60°, 80°

Q7: Find whether -150 is a term of the A.P. 17, 12, 7, 2, …? (2 Marks)

Ans: Given: 1st term, a = 17
Common difference, d = 12 – 17 = -5
nth term, an = – 150 (Let)
∴ a + (n – 1) d = – 150
17 + (n – 1) (-5) = – 150
(n – 1) (-5) = – 150 – 17 = – 167 Unit Test (Solutions): Arithmetic Progressions | Mathematics (Maths) Class 10
Q8: The 4th term of an A.P. is zero. Prove that the 25th term of the A.P. is three times its 11th term. (2 Marks)

Ans: 
Let 1st term = a, Common difference = d
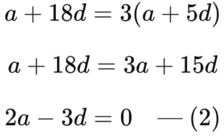
a4 = 0 a + 3d = 0 ⇒ a = -3d … (i)
To prove: a25 = 3 × a11
a + 24d = 3(a + 10d) …[From (i)
⇒ -3d + 24d = 3(-3d + 10d)
⇒ 21d = 21d
From above, a25 = 3(a11
Hence proved, the 25th term of the A.P. is three times its 11th term. 


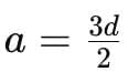
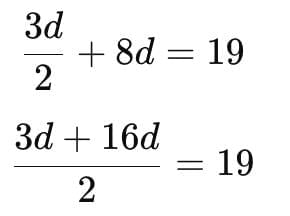
Q9: The 19th term of an AP is equal to three times its 6th term. If its 9th term is 19, find the A.P. (3 Marks)

Ans:  Let in an A.P. first term = a, Common difference = dUnit Test (Solutions): Arithmetic Progressions | Mathematics (Maths) Class 10T19 = 19
Given,
T19 = 3T6

Unit Test (Solutions): Arithmetic Progressions | Mathematics (Maths) Class 10From (2)
Unit Test (Solutions): Arithmetic Progressions | Mathematics (Maths) Class 10substituted = 2 in (1)
Unit Test (Solutions): Arithmetic Progressions | Mathematics (Maths) Class 10Unit Test (Solutions): Arithmetic Progressions | Mathematics (Maths) Class 10

Substitute d=2d = 2d:Unit Test (Solutions): Arithmetic Progressions | Mathematics (Maths) Class 10

Therefore,Unit Test (Solutions): Arithmetic Progressions | Mathematics (Maths) Class 10

The required A.P. is: 3, 5, 7, 9, …


Q10: If the seventh term of an AP is 1/9 and its ninth term is 1/7, find its 63rd term. (3 Marks)

Ans: 
Let a be the first term and d be the common difference of the given AP.
Then,
T₇ = 1/9 ⇒ a + 6d = 1/9
...(i)
T₉ = 1/7 ⇒ a + 8d = 1/7
...(ii)
On subtracting (i) form (ii), we get
2d = (1/7 − 1/9) = 2/63 ⇒ d = (1/2 × 2/63) = 1/63.
Putting d = 1/63 in (i), we get
a + (6 × 1/63) = 1/9 ⇒ a + 2/21 = 1/9 ⇒ a
= (1/9 − 2/21) = (7 − 6/63) = 1/63
Thus, a = 1/63 and d = 1/63.
∴ T₆₃ = a + (63 − 1)d = (a + 62d)
= (1/63 + 62 × 1/63) = (1/63 + 62/63) = 1.
Hence, 63rd term of the given AP is 1.


Q11: The digits of a positive number of three digits are in A.P. and their sum is 15. The number obtained by reversing the digits is 594 less than the original number. Find the number. (3 Marks)

Ans: 
Let hundred’s place digit = (a – d)
Let ten’s place digit = a
Let unit’s place digit = a + d
According to the Question,
a – d + a + a + d = 15
⇒ 3a = 15 ⇒ a = 5
Original number
= 100(a – d) + 10(a) + 1(a + d)
= 100a – 100d + 10a + a + d
= 111a – 99d
Reversed number
= 1(a – d) + 10a + 100(a + d)
= a – d + 10a + 100a + 100d
= 111a + 99d
Now, Original no. – Reversed no. = 594
111a – 99d – (111a + 99d) = 594 Unit Test (Solutions): Arithmetic Progressions | Mathematics (Maths) Class 10


Q12: A manufacturer of TV sets produced 800 sets in the third year and 1000 sets in the seventh year. Assuming that the production increases uniformly by a fixed number every year, find: (5 Marks)

(i) the production in the 1st year
(ii) the production in the 10th year
(iii) the total production in the first 7 years

Ans: Since the production increases uniformly by a fixed number every year, the number of TV sets manufactured in the 1st, 2nd, 3rd, ... years will form an AP.
Let us denote the number of TV sets manufactured in the nth year by ana_nan.
Given:
a3=800and 
a7=1000a_3 = 800 \quad \text{and} \quad a_7 = 1000
Then,
a+2d=800
anda+6d=1000a + 2d = 800 \quad \text{and} \quad a + 6d = 1000
Solving these two equations:
Subtracting the first equation from the second:
(a+6d)(a+2d)=1000800(a + 6d) - (a + 2d) = 1000 - 800
4d=200d=504d = 200 \quad \Rightarrow \quad d = 50
Now substitute d=50d = 50d=50 into the first equation:
a+2(50)=800
a+100=800
a=700

(i) Production of TV sets in the 1st year is a=700a = 700

(ii) Production in the 10th year:
a10=a+9d=700+9(50)=700+450=1150a_{10} = a + 9d = 700 + 9(50) = 700 + 450 = 1150
So, the production in the 10th year is 1150 TV sets.

(iii) Total production in the first 7 years:Unit Test (Solutions): Arithmetic Progressions | Mathematics (Maths) Class 10Thus, the total production of TV sets in the first 7 years is 5950.

Q13: A sum of ₹1,600 is to be used to give ten cash prizes to students of a school for their overall academic performance. If each prize is ₹20 less than its preceding prize, find the value of each of the prizes. (5 Marks)

Ans: 
Here S10 = 1600, d = -20, n = 10 Unit Test (Solutions): Arithmetic Progressions | Mathematics (Maths) Class 102a – 180 = 320
2a = 320 + 180 = 500
a = 250
∴ 1st prize = a = ₹250
2nd prize = a2 = a + d = 250 + (-20) = ₹230
3rd prize = a3 = a2 + d = 230 – 20 = ₹210
4th prize = a4 = a3 + d = 210 – 20 = ₹190
5th prize = a5 = a4 + d = 190 – 20 = ₹170
6th prize = a6 = a5 + d = 170 – 20 = ₹150
7th prize = a7 = a6 + d = 150 – 20 = ₹130
8th prize = a8 = a7 + d = 130 – 20 = ₹110
9th prize = a9 = a8 + d = 110 – 20 = ₹90
10th prize = a10 = a9 + d = 90 – 20 = ₹70
= ₹ 1,600 

The document Unit Test (Solutions): Arithmetic Progressions | Mathematics (Maths) Class 10 is a part of the Class 10 Course Mathematics (Maths) Class 10.
All you need of Class 10 at this link: Class 10
127 videos|584 docs|79 tests

FAQs on Unit Test (Solutions): Arithmetic Progressions - Mathematics (Maths) Class 10

1. What is an arithmetic progression?
Ans. An arithmetic progression is a sequence of numbers in which the difference between any two consecutive terms is constant.
2. How do you find the nth term of an arithmetic progression?
Ans. The formula to find the nth term of an arithmetic progression is given by: \( a_n = a_1 + (n-1)d \), where \( a_n \) is the nth term, \( a_1 \) is the first term, \( d \) is the common difference, and \( n \) is the term number.
3. How can arithmetic progressions be used in real life?
Ans. Arithmetic progressions are commonly used in various real-life scenarios such as calculating interest on loans, predicting population growth, and determining the number of steps needed to reach a certain goal.
4. What is the sum of the first n terms of an arithmetic progression?
Ans. The sum of the first n terms of an arithmetic progression can be calculated using the formula: \( S_n = \frac{n}{2}(2a_1 + (n-1)d) \), where \( S_n \) is the sum of the first n terms, \( a_1 \) is the first term, \( d \) is the common difference, and \( n \) is the number of terms.
5. How can you identify if a sequence of numbers is an arithmetic progression?
Ans. To identify if a sequence of numbers is an arithmetic progression, check if the difference between consecutive terms is constant. If the difference remains the same throughout the sequence, then it is an arithmetic progression.
Related Searches

MCQs

,

Unit Test (Solutions): Arithmetic Progressions | Mathematics (Maths) Class 10

,

mock tests for examination

,

ppt

,

pdf

,

Summary

,

Viva Questions

,

video lectures

,

Extra Questions

,

Free

,

Semester Notes

,

Unit Test (Solutions): Arithmetic Progressions | Mathematics (Maths) Class 10

,

Previous Year Questions with Solutions

,

shortcuts and tricks

,

Unit Test (Solutions): Arithmetic Progressions | Mathematics (Maths) Class 10

,

past year papers

,

Exam

,

study material

,

practice quizzes

,

Sample Paper

,

Objective type Questions

,

Important questions

;