CBSE Class 9  >  Class 9 Notes  >  Science   >  Unit Test (Solutions): Motion

Unit Test (Solutions): Motion

Time: 1 hour 
M.M.: 30 
Attempt all questions. 
Question numbers 1 to 5 carry 1 mark each. 
Question numbers 6 to 8 carry 2 marks each. 
Question numbers 9 to 11 carry 3 marks each. 
Question numbers 12 & 13 carry 5 marks each.

Q1: An object travels 16 meters in 4 seconds and then another 16 meters in 2 seconds. What is the average speed of the object? (1 Mark)
(i) 4 m/s
(ii) 5.33 m/s
(iii) 6 m/s
(iv) 8 m/s

Ans: (ii) 
To find the average speed, we use the formula:
Average Speed=Total Distance/ Total Time
The object covers a total distance of 16 m + 16 m = 32 m.
The total time taken is 4s+2s=6 s.
Thus, the average speed is:

Average Speed=32m6s5.33m/s\text{Average Speed} = \frac{32 \, \text{m}}{6 \, \text{s}} \approx 5.33 \, \text{m/s} m/s

Q2: What does the slope of a distance-time graph represent? (1 Mark)
(i) Speed
(ii) Acceleration
(iii) Displacement
(iv) Velocity

Ans: (i)

Unit Test (Solutions): Motion

Q3: If a car travels 50 km in the first hour and 70 km in the next two hours, what is its average speed? (1 Mark)
(i) 40 km/h
(ii) 60 km/h
(iii) 50 km/h
(iv) 30 km/h

Ans: (i) 
Average speed: Total Distance/ Total Time

Total distance covered = 50km+70km=120 km50 \, \text{km} + 70 \, \text{km} = 120 \, \text{km}km.
Total time taken = 1hour+2hours=3 hours.
Thus, the average speed is:

Average Speed=120km3hours=40km/h\text{Average Speed} = \frac{120 \, \text{km}}{3 \, \text{hours}} = 40 \, \text{km/h km/h

Q4: Which of the following graphs represents an object at rest? (1 Mark)

Unit Test (Solutions): Motion

Ans: A
A straight line parallel to the x-axis on a distance-time graph represents that the object is at rest.

Q5: The area under a velocity-time graph represents which of the following quantities? (1 Mark)
(i) Speed
(ii) Acceleration
(iii) Distance travelled
(iv) Time taken

Ans: (iii) 
The area under a velocity-time graph represents the distance travelled by the object. This is because multiplying velocity (y-axis) by time (x-axis) gives the displacement (distance if direction is not considered). For constant velocity, this area is a rectangle, while for changing velocity, it could be a combination of rectangles, triangles, or other shapes. 

Unit Test (Solutions): Motion

Q6: A car accelerates from rest at a constant rate of 3 m/s² for 8 seconds. What is the final velocity and the distance travelled by the car? (2 Marks)
Ans: As the car initially is at rest, so u = 0 m/s

Final velocity (v) = u+at=0+(3m/s2×8s) = 24m/s

Distance travelled (s) = ut+12at2=0+12×3m/s

×(8s)2=
96m

Q7: Differentiate between Distance and Displacement motion using examples. (2 Marks)
Ans: Unit Test (Solutions): Motion

Q8: Explain the concept of uniform circular motion. Derive the formula for the speed of an object in circular motion and give examples. (2 Marks)
Ans:

Concept: In uniform circular motion, an object moves with constant speed along a circular path. The velocity is always tangential to the circle, and the direction changes continuously, implying constant acceleration towards the centre.
Formula Derivation:
The circumference of the circle = 2πr2\pi r
Speed v=2πr/T, where T is the time period.
Example: The motion of a satellite orbiting the Earth, the motion of a car on a circular track.

Q9: Write the three equations of motion and explain their significance with examples. (3 Marks)
Ans:

First equation of motion: v=u+at
It relates the final velocity to initial velocity, acceleration, and time. 
Example: A car accelerating from rest.
Second equation of motion: s=ut+12at2
It gives the displacement of an object in terms of time, initial velocity, and acceleration. 
Example: Distance covered by a freely falling object.
Third equation of motion: v2=u2+2asv^2 = u^2 + 2as
It relates the final velocity to initial velocity, acceleration, and displacement. 
Example: Calculating the speed of a car after braking.

Q10: Plot a distance-time graph for an object moving with uniform speed and another for an object moving with non-uniform speed. Explain the difference. (3 Marks)
Ans: 

For uniform speed: The distance-time graph will be a straight line inclined with the time axis, showing that distance increases uniformly with time.

Unit Test (Solutions): Motion

For non-uniform speed: The graph will be a curve indicating that the distance does not increase uniformly with time.

Unit Test (Solutions): Motion

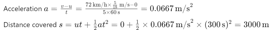
Q11: A train starting from rest attains a velocity of 72 km/h in 5 minutes. Calculate its acceleration and the distance covered in this time. (3 Marks)
Ans:

Unit Test (Solutions): Motion

Q12: A big truck moving along a straight line at a speed of 54km/hr stops in 5s after the brakes are applied.

a. Find the acceleration, assuming it to be constant.

b. Plot the graph of speed versus time.

c. Using the graph. Find the distance covered by the car after the brakes are applied. (5 Marks)

Ans: 

a. Calculation of Acceleration:

First, convert the speed from km/h to m/s:

Initial speed(u)=54km/hkm/h =54×518m/s=15 m/s\text{Initial speed} (u) = 54 \, \text{km/h} = 54 \times \frac{5}{18} \, \text{m/s} = 15 \, \text{m/s}m/s

The truck comes to a stop, so the final velocity v=0m/s.

The time is taken to stop t=secondst = 5 \, \text{seconds}seconds.

The acceleration aa can be calculated using the first equation of motion:

v=u+at 

0=15m/s+a×5s0 = 15 \, \text{m/s} + a \times 5 \, \text{s} = -3m/s2

So, the acceleration of the truck is 3m/s2 (negative sign indicates deceleration).

b. Plot the Graph of Speed versus Time:

The graph will be a straight line starting at 15 m/s at t=0t = 0 and ending at 0 m/s at t=5t = 5seconds. Here's a description of how to plot it:

  • X-axis (Time): Mark from 0 to 5 seconds.
  • Y-axis (Speed): Mark from 0 to 15 m/s.
  • Plot: Start from the point (0, 15) and draw a straight line down to (5, 0).

Unit Test (Solutions): Motion

c. Using the Graph, Find the Distance Covered by the Truck:

The distance covered can be found by calculating the area under the speed-time graph.

The graph is a right-angled triangle with:

  • Base (time): 5 seconds
  • Height (initial speed): 15 m/s

The area (which represents the distance) is:

Distance=12×BaseBase×HeightDistance=12×5s×15m/s=37.5meters\text{Distance} = \frac{1}{2} \times 5 \, \text{s} \times 15 \, \text{m/s} = 37.5 \, \text{meters} meters

So, the distance covered by the truck after the brakes are applied is 37.5 meters37.5 \, \text{meters}meters.

Q13. A car is moving on a straight road with uniform acceleration. The following table gives the speed of the car at various instants of time :
Unit Test (Solutions): MotionThe acceleration of the car is: (5 Marks)
Ans: The speed-time graph obtained from the given readings is shown here. Note that in this case, when the time is 0, then the speed is not 0. The body has an initial speed of 5 m/s, which is represented by point A.

Unit Test (Solutions): Motion

Acceleration = slope of the speed-time graph

                   = slope of line AF = (FG/AG)

Therefore, FG = 30 - 5 = 25 m/s

Again, at point G, the value of time is 50 seconds, whereas that at point A is 0 seconds.

Thus, AG = 50 - 0 = 50 s

Now, putting these values of FG and AG in the above relation, we get :

Acceleration = Unit Test (Solutions): Motion= 0.5 m/s2

The document Unit Test (Solutions): Motion is a part of the Class 9 Course Science Class 9.
All you need of Class 9 at this link: Class 9

FAQs on Unit Test (Solutions): Motion

1. What are the different types of motion hobbies that beginners can explore?
Ans. Beginners can explore various motion hobbies such as remote-controlled (RC) cars, drones, model airplanes, and robotics. Each of these hobbies offers unique experiences and challenges, making them suitable for different interests and skill levels.
2. How can I get started with a motion hobby like drone flying?
Ans. To get started with drone flying, first, choose a beginner-friendly drone that is easy to operate. Familiarize yourself with the drone's controls and features by reading the manual. It's also advisable to practice in open spaces away from obstacles and to check local regulations regarding drone flying.
3. What safety precautions should I take when engaging in motion hobbies?
Ans. When engaging in motion hobbies, always prioritize safety by wearing appropriate protective gear, such as helmets and goggles if necessary. Ensure that the area is clear of people and obstacles, and be aware of the rules and regulations governing the specific hobby, such as flying drones or operating RC vehicles.
4. Are there any communities or clubs for motion hobby enthusiasts?
Ans. Yes, there are many communities and clubs for motion hobby enthusiasts, both online and offline. Websites like Meetup, Facebook Groups, and local hobby shops often have information about clubs where you can meet fellow enthusiasts, participate in events, and share tips and experiences.
5. What are some common challenges faced by beginners in motion hobbies?
Ans. Common challenges faced by beginners in motion hobbies include mastering the technical skills required for operation, managing equipment maintenance, and dealing with initial failures or crashes. However, with practice and patience, these challenges can be overcome, leading to greater enjoyment of the hobby.
Explore Courses for Class 9 exam
Get EduRev Notes directly in your Google search
Related Searches
Exam, Semester Notes, Viva Questions, Summary, pdf , Extra Questions, Unit Test (Solutions): Motion, video lectures, mock tests for examination, Previous Year Questions with Solutions, Objective type Questions, MCQs, Unit Test (Solutions): Motion, study material, practice quizzes, Sample Paper, past year papers, Important questions, Unit Test (Solutions): Motion, ppt, Free, shortcuts and tricks;