Escape velocity depends only on the planet’s mass and radius, not on the mass of the object.
For Earth, this minimum speed is about 11.2 km/s.
Master the complexities of gravitation with ease! This document provides creative and efficient mnemonics for key concepts like escape velocity and Kepler's laws, ensuring quick understanding and application in numericals. Accelerate your learning journey with these memorable tools!

Mnemonic: Gravity Makes Masses Meet… but distance defeats it!
Explanation:
Newton’s Universal Law of Gravitation states that every particle in the universe attracts every other particle with a force directly proportional to the product of their masses and inversely proportional to the square of the distance between their centres. This force acts along the line joining their centres and is always attractive in nature. Mathematically,

where G is the universal gravitational constant.
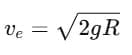
Mnemonic: "Whole Root Two Gravity Rocket Escapes at 11.2!"

Escapes: Highlights that the escape velocity is the speed needed for a rocket or object to escape Earth's gravitational pull.
At 11.2: Refers to the approximate escape velocity of Earth, which is 11.2 km/s.
Explanation:
Escape velocity is the minimum speed an object must be given so that it can move away from a planet indefinitely, without any additional engine force, and without being pulled back by gravity.
It is derived by equating the object’s kinetic energy to the gravitational potential energy needed to escape the planet’s gravitational field:
This gives: Escape velocity depends only on the planet’s mass and radius, not on the mass of the object.
For Earth, this minimum speed is about 11.2 km/s.
Will be used in many numericals. So learn the formula!
Mnemonic: "Planets Eat Fruits at Equal Interval 2/3 Times"
Explanation:
Kepler’s Three Laws describe how planets move around the Sun:
First Law (Law of Orbits):
Each planet moves in an elliptical orbit with the Sun at one focus, not at the center.
This explains why planets speed up and slow down at different points in their orbit.
Second Law (Law of Areas):
A line joining the planet and the Sun sweeps out equal areas in equal intervals of time.
This means planets move faster when closer to the Sun (perihelion) and slower when farther away (aphelion).
Third Law (Law of Periods):
The square of the planet’s orbital period T is proportional to the cube of the distance (semi-major axis) R:
This shows that farther planets take much longer to complete one orbit.

97 videos|376 docs|102 tests |
| 1. What is the law of universal gravitation? | ![]() |
| 2. How does gravitational force vary with distance? | ![]() |
| 3. What is the significance of the gravitational constant (G)? | ![]() |
| 4. How does gravity affect objects in free fall? | ![]() |
| 5. What are some real-life applications of gravitational principles? | ![]() |