
There are two types of probability, Subjective Probability and Objective Probability.
1. Subjective Probability
2. Objective Probability
Meaning of an Experiment
Random Experiment
Examples:
Events
1. Simple (Elementary) Event
2. Composite (Compound) Event
Mutually Exclusive Events
Exhaustive Events
Equally Likely (Equi-Probable) Events
Consider a random experiment that produces n finite elementary events, all assumed to be equally likely. Let nA (≤ n) be the number of elementary events favourable to an event A. Then the classical probability of A is

If instead of elementary events we consider m mutually exclusive, exhaustive and equally likely composite events, and if mA denotes the number of such events favourable to A, then

This definition (attributed to Bernoulli and Laplace) is called the a priori or classical definition because probabilities are determined from prior knowledge of equally likely outcomes.
This definition has the following limitations:
(i) It applies only when the total number of outcomes is finite.
(ii) It requires that all elementary events be equally likely; this assumption must be justified before the experiment.
(iii) Its applicability is limited to situations where the sample space and equiprobability are known in advance (coin tosses, dice, cards). It is not suitable when no prior information is available.
ILLUSTRATIONS:
Example 15.1: A coin is tossed three times. What is the probability of getting:
(i) 2 heads
(ii) at least 2 heads.
Solution: When a coin is tossed three times, first we need enumerate all the elementary events. This can be done using 'Tree diagram' as shown below:
List all elementary outcomes using a tree or enumeration.
HHH, HHT, HTH, HTT, THH, THT, TTH, TTT
The total number of elementary events is 8.
(i) Outcomes with exactly 2 heads are HHT, HTH, THH. Count = 3.
P(A) = 3 / 8
(ii) Event of at least 2 heads includes 2 heads and 3 heads. Count = 3 + 1 = 4.
P(B) = 4 / 8
P(B) = 1 / 2 = 0.50
Example 15.2: A die is rolled twice. What is the probability of getting a difference of 2 points?
Solution:
Total outcomes = 6 × 6 = 36.
List or tabulate ordered pairs (i, j) with |i − j| = 2.
Favourable outcomes count = 8.
P(A) = 8 / 36
P(A) = 2 / 9
Example 15.3: Two dice are thrown simultaneously. Find the probability that the sum of points on the two dice would be 7 or more.
Solution: If two dice are thrown then, as explained in the last problem, total no. of elementary events is 62 or 36. Now a total of 7 or more i.e. 7 or 8 or 9 or 10 or 11 or 12 can occur only in the following combinations:
SUM = 7: (1, 6), (2, 5), (3, 4), (4, 3), (5, 2), (6, 1)
SUM = 8: (2, 6), (3, 5), (4, 4), (5, 3), (6, 2)
SUM = 9: (3, 6), (4, 5), (5, 4), (6, 3)
SUM = 10: (4, 6), (5, 5), (6, 4)
SUM = 11: (5, 6), (6, 5)
SUM = 12: (6, 6)
Thus the no. of favourable outcomes is 21. Letting A stand for getting a total of 7 points or more, we have
P(A) = 21 / 36
= 7 / 12
Example 15.4: What is the chance of picking a spade or an ace not of spades from a pack of 52 cards?
Solution:
Total cards = 52.
Number of spades = 13.
Number of aces not of spade = 3.
Favourable = 13 + 3 = 16.
P(A) = 16 / 52
P(A) = 4 / 13
Example 15.5: Find the probability that a four-digit number comprising the digits 2, 5, 6 and 7 would be divisible by 4.
Solution:
Total permutations (four-digit numbers) = 4! = 24.
A number is divisible by 4 if its last two digits form a number divisible by 4.
Possible last-two-digit combinations divisible by 4: 52, 56, 72, 76. For each fixed last two digits the first two places can be arranged in 2! = 2 ways.
Favourable numbers = 4 × 2 = 8.
P(A) = 8 / 24
P(A) = 1 / 3
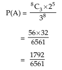
Example 15.6: A committee of 7 members is to be formed from a group comprising 8 gentlemen and 5 ladies. What is the probability that the committee would comprise:
(a) 2 ladies,
(b) at least 2 ladies.
Solution: Since there are altogether 8 + 5 or 13 persons, a committee comprising 7 members can be formed in
or 11 × 12 × 13 ways.
(a) Choose 2 ladies from 5 and 5 gentlemen from 8. Ways = 5C2 × 8C5.
P(2 ladies) = (5C2 × 8C5) / 13C7.
(b) At least 2 ladies means committees with 2, 3, 4 or 5 ladies. Sum the corresponding combinations.
Number of favourable ways = 5C28C5 + 5C38C4 + 5C48C3 + 5C58C2.
P(at least 2 ladies) = favourable / 13C7.
Hence
When the classical definition is not applicable, we may use the statistical or relative frequency definition. Repeat the random experiment n times under identical conditions. If an event A occurs fA times, and if the limit exists, then the probability of A is

This definition applies when the limiting relative frequency exists and tends to a finite value.
Example 15.7: The following data relate to the distribution of wages of a group of workers:

If a worker is selected at random from the entire group of workers, what is the probability that
(a) his wage would be less than ₹ 50?
(b) his wage would be less than ₹ 80?
(c) his wage would be more than ₹ 100?
(d) his wages would be between ₹ 70 and ₹ 100?
Solution: As there are altogether 150 workers, n = 150.
(a) Since there is no worker with wage less than ₹ 50, the probability that the wage of a randomly selected worker would be less than ₹50 is P(A) = 0 / 150 = 0(b) Since there are (15+23+36) or 74 worker having wages less than ` 80 out of a group of 150 workers, the probability that the wage of a worker, selected at random from the group, would be less than ₹ 80 is
(c) There are (12+5) or 17 workers with wages more than ₹100. Thus the probability of finding a worker, selected at random, with wage more than ₹ 100 is
(d) There are (36 + 42 + 17) or 95 workers with wages in between ₹ 70 and ₹ 100. Thus
Applying the concept of set theory, we can give a new dimension to the classical definition of probability. A sample space may be defined as a non-empty set containing all the elementary events of a random experiment as sample points. A sample space is denoted by S or . An event A may be defined as a non-empty subset of S. This is shown in Figure 15.1

A sample space S is the non-empty set of all elementary outcomes of a random experiment. An event is a subset of S. For example, when a die is rolled once,
S = {1, 2, 3, 4, 5, 6}.
Define events:
Classical probability in set notation: If S is finite with n(S) sample points, all equally likely, and A ⊆ S has n(A) points, then 
The union A ∪ B consists of sample points in A or B or both.

where x denotes the sample points.
In the above example, we have A∪C = {2, 3, 4, 6}
and A ∪ B = {1, 2, 3, 4, 5, 6}.
The intersection of two events A and B may be defined as the set containing all the sample points that are common to both events A and B. This is shown in Figure 15.2. we have

In the above example, A ∩ B = Φ

Since the intersection of the events A and B is a null set Φ , it is obvious that A and B are mutually exclusive events as they cannot occur simultaneously.
The difference of two events A and B, to be denoted by A – B, may be defined as the set of sample points present in set A but not in B. i.e.

Similarly, 
In the above examples,

And A – C = {2, 4}.
This is shown in Figure 15.3.

The complement of an event A may be defined as the difference between the sample space S and the event A. i.e.

In the above example A’= S – A
= {1, 3, 5}

Two events A and B are mutually exclusive if P(A ∩ B) = 0. The notion extends similarly to three or more events.
Two events A and B are mutually exclusive if P (A ∩B) = 0 or more precisely, ....(15.9)
……….(15.10)
Similarly, three events A, B and C are mutually exclusive if

Example 15.8: Three events A, B and C are mutually exclusive, exhaustive and equally likely. What is the probability of the complementary event of A?
Solution: Since A, B and C are mutually exclusive, we have
Let S be a sample space and let P be a real-valued function defined on events A ⊆ S. P is a probability measure if it satisfies Kolmogorov’s axioms:

Theorem 1: For any two mutually exclusive events A and B, the probability that either A or B occurs is given by the sum of individual probabilities of A and B.

This is illustrated in the following example.
Example 15.9: A number is selected from the first 25 natural numbers. What is the probability that it would be divisible by 4 or 7?
Solution:
Let A = divisible by 4; B = divisible by 7.
A = {4, 8, 12, 16, 20, 24} → n(A) = 6.
B = {7, 14, 21} → n(B) = 3.
A ∩ B = ∅.
P(A ∪ B) = P(A) + P(B)
P(A ∪ B) = 6 / 25 + 3 / 25
P(A ∪ B) = 9 / 25 = 0.36
Example 15.10: A coin is tossed thrice. What is the probability of getting 2 or more heads?
Solution:
Sample space S has 8 outcomes.
Event A = exactly 2 heads = {HHT, HTH, THH} (3 outcomes).
Event B = exactly 3 heads = {HHH} (1 outcome).
A and B are mutually exclusive.
P(A ∪ B) = P(A) + P(B)
P(A ∪ B) = 3 / 8 + 1 / 8
P(A ∪ B) = 4 / 8 = 1 / 2
Theorem 2: For K (≥ 2) mutually exclusive events, the probability that at least one occurs is the sum of their probabilities.

Obviously, this is an extension of Theorem 1.
Theorem 3: For any two events A and B, the probability that either A or B occurs is given by the sum of individual probabilities of A and B less the probability of the simultaneous occurrence of the events A and B.

This theorem is stronger than Theorem 1 as we can derive Theorem 1 from Theorem 3 and not Theorem 3 from Theorem 1. For want of sufficient evidence, it is wiser to apply Theorem 3 for evaluating total probability of two events.
Example 15.11: A number is selected at random from the first 1000 natural numbers. What is the probability that it would be a multiple of 5 or 9?
Solution:
Multiples of 5 up to 1000: 200 numbers.
Multiples of 9 up to 1000: 111 numbers (since 9 × 111 = 999).
Multiples of both (LCM 45) up to 1000: 22 numbers (45 × 22 = 990).
P(A ∪ B) = 200 / 1000 + 111 / 1000 − 22 / 1000
P(A ∪ B) = 289 / 1000
= 0.29
Example 15.12: The probability that an Accountant's job applicant has a B. Com. Degree is 0.85, that he is a CA is 0.30 and that he is both B. Com. and CA is 0.25 out of 500 applicants, how many would be B. Com. or CA?
Solution: Let the event that the applicant is a B. Com. be denoted by B and that he is a CA be denoted by C Then as given,
P(B) = 0.85, P(C) = 0.30 and P(B ∩ C) = 0.25
The probability that an applicant is B. Com. or CA is given by
P(B ∪ C) = P(B) + P(C) – P(B ∩ C)
= 0.85 + 0.30 – 0.25
Expected frequency = N × P (B ∪ C)
Expected frequency = 500 × 0.90 = 450
Example 15.13: If P(A–B) = 1/5, P(A) = 1/3 and P (B) = 1/2, what is the probability that out of the two events A and B, only B would occur?
Solution: A glance at Figure 15.3 suggests that
Also (15.21) and (15.22) describe the probabilities of occurrence of the event only A and only B respectively.
P(A − B) = P(A) − P(A ∩ B)
1 / 5 = 1 / 3 − P(A ∩ B)
P(A ∩ B) = 1 / 3 − 1 / 5
P(A ∩ B) = (5 − 3) / 15 = 2 / 15
The probability that the event B only would occur
= P(B) − P(A ∩ B)
= 1 / 2 − 2 / 15
= (15 − 4) / 30 = 11 / 30
Theorem 4: For any three events A, B and C, the probability that at least one of the events occurs is given by
Following is an application of this theorem.
Example 15.14: There are three persons A, B and C having different ages. The probability that A survives another 5 years is 0.80, B survives another 5 years is 0.60 and C survives another 5 years is 0.50. The probabilities that A and B survive another 5 years is 0.46, B and C survive another 5 years is 0.32 and A and C survive another 5 years 0.48. The probability that all these three persons survive another 5 years is 0.26. Find the probability that at least one of them survives another 5 years.
Solution: As given P(A) = 0.80, P(B) = 0.60, P(C) = 0.50,
P(A ∩ B) = 0.46, P(B ∩ C) = 0.32, P(A ∩ C) = 0.48 and
P(A ∩ B ∩ C) = 0.26
The probability that at least one of them survives another 5 years in given by
P(A ∪ B ∪ C)
= P(A) + P(B) + P(C) – P(A ∩ B) – P(A ∩ C) – P(B ∩ C)+ P(A ∩ B ∩ C) ……. (15.23)
= 0.80 + 0.60 + 0.50 – 0.46 – 0.32 – 0.48 + 0.26
= 0.90
Expected Frequency = N X P(A ∪ B ∪ C) =500 X 0.90= 450
The joint probability of events A and B is P(A ∩ B). For K events A1, A2, …, Ak, the joint probability is P(A1 ∩ A2 ∩ … ∩ Ak).
Conditional Probability
If occurrence of B depends on the occurrence of A, then the conditional probability of B given A is

provided P(A) > 0. Similarly

Examples with draws without replacement illustrate dependence; with replacement they illustrate independence.
In the second scenario, if the occurrence of the second event B is not influenced by the occurrence of the first event A, then B is known to be independent of A. It also follows that in this case, A is also independent of B and A and B are known as mutually independent or just independent. In this case, we have

In the above example, if the balls are drawn with replacement, then the two events B2 and R2 are independent and we have
P(B2 / R2) = P(B2)
(15.28) is the necessary and sufficient condition for the independence of two events. In a similar manner, three events A, B and C are known as independent if the following conditions hold :

It may be further noted that if two events A and B are independent, then the following pairs of events are also independent:
(i) A and B’
(ii) A’ and B
(iii) A’ and B’ ……… (15.30)
Theorems of Compound Probability
Theorem 5: For any two events A and B, the probability that A and B occur simultaneously is given by the product of the unconditional probability of A and the conditional probability of B given that A has already occurred

Theorem 6: For any three events A, B and C, the probability that they occur jointly is given by

which we have already discussed.
Example 15.15: Rupesh is known to hit a target in 5 out of 9 shots whereas David is known to hit the same target in 6 out of 11 shots. What is the probability that the target would be hit once they both try?
Solution:
P(Rupesh hits) = 5 / 9.
P(David hits) = 6 / 11.
Probability target is not hit by Rupesh = 1 − 5 / 9 = 4 / 9.
Probability target is not hit by David = 1 − 6 / 11 = 5 / 11.
Probability neither hits = (4 / 9) × (5 / 11)= 10/33
Probability at least one hits = 1 − (4 / 9 × 5 / 11)= 79/99
Example 15.16: A pair of dice is thrown together and the sum of points of the two dice is noted to be 10. What is the probability that one of the two dice has shown the point 4?
Solution: Let A denote the event of getting 4 points on one of the two dice and B denote the event of getting a total of 10 points on the two dice. Then we have
Example 15.17: In a group of 20 males and 15 females, 12 males and 8 females are service holders. What is the probability that a person selected at random from the group is a service holder, given that the selected person is a male?
Solution:
P(S ∩ M) = number of male service holders / total population = 12 / 35.
P(M) = number of males / total = 20 / 35.
P(S | M) = P(S ∩ M) / P(M)
P(S | M) = (12 / 35) ÷ (20 / 35)
P(S | M) = 12 / 20 = 3 / 5= 0.60
Example 15.18: In connection with a random experiment, it is found that
P(A) = 2 /3 , P(B) 3 /5 = and P(A ∪ B) = 5 6
Evaluate the following probabilities:
(i) P(A/B) (ii) P(B/A) (iii) P(A’/ B) (iv) P(A/ B’) (v) P(A’/ B’)
Solution: P(A ∪ B) = P(A) + P(B) – P(A ∩ B)
⇒ 5 /6 = 2/ 3 + 3/ 5 – P(A ∩ B)
⇒ P(A∩ B) = 2 / 3 + 3 / 5 – 5 / 6
= 13 / 30Hence (i)
= 5 / 12
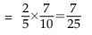
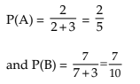
Example 15.19: The odds in favour of an event is 2 : 3 and the odds against another event is 3 : 7. Find the probability that only one of the two events occurs.
Solution: We denote the two events by A and B respectively. Then by (15.5) and (15.6), we have
As A and B are independent, P(A ∩ B) = P(A) ∩ P(B)
Probability that either only A occurs or only B occurs
Example 15.20: There are three boxes with the following compositions :

One ball is drawn from each box. What is the probability that they would be of the same colour?
Solution: Either the balls would be Blue or Red or White. Denoting Blue, Red and White balls by B, R and W respectively and the box by lower suffix, the required probability is
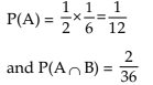
Example 15.21: Mr. Roy is selected for three separate posts. For the first post, there are three candidates, for the second, there are five candidates and for the third, there are 10 candidates. What is the probability that Mr. Roy would be selected?
Solution: Denoting the three posts by A, B and C respectively, we have
Example 15.22: The independent probabilities that the three sections of a costing department will encounter a computer error are 0.2, 0.3 and 0.1 per week respectively. What is the probability that there would be
(i) at least one computer error per week?
(ii) one and only one computer error per week?
Solution: Denoting the three sections by A, B and C respectively, the probabilities of encountering a computer error by these three sections are given by P(A) = 0.20, P(B) = 0.30 and P(C) = 0.10
(i) Probability that there would be at least one computer error per week.
= 1 – Probability of having no computer error in any at the three sections.
(ii) Probability of having one and only one computer error per week
Example 15.23: A lot of 10 electronic components is known to include 3 defective parts. If a sample of 4 components is selected at random from the lot, what is the probability that this sample does not contain more than one defectives?
Solution: Denoting defective component and non-defective components by D and D’ respectively, we have the following situation :
Thus the required probability is given by
Example 15.24: There are two urns containing 5 red and 6 white balls and 3 red and 7 white balls respectively. If two balls are drawn from the first urn without replacement and transferred to the second urn and then a draw of another two balls is made from it, what is the probability that both the balls drawn are red?
Solution: Since two balls are transferred from the first urn containing 5 red and 6 white balls to the second urn containing 3 red and 7 white balls, we are to consider the following cases :
Case A : Both the balls transferred are red. In this case, the second urn contains 5 red and 7 white balls.
Case B : The two balls transferred are of different colours. Then the second urn contains 4 red and 8 white balls.
Case C : Both the balls transferred are white. Now the second urn contains 3 red and 9 white balls.The required probability is given by
Example 15.25: If 8 balls are distributed at random among three boxes, what is the probability that the first box would contain 3 balls?
Solution: The first ball can be distributed to the 1st box or 2nd box or 3rd box i.e. it can be distributed in 3 ways. Similarly, the second ball also can be distributed in 3 ways. Thus the first two balls can be distributed in 32 ways. Proceeding in this way, we find that 8 balls can be distributed to 3 boxes in 38 ways which is the total number of elementary events.
Let A be the event that the first box contains 3 balls which implies that the remaining 5 balls must go to the remaining 2 boxes which, as we have already discussed, can be done in 25 ways. Since 3 balls out of 8 balls can be selected in 8C3 ways, the event can occur in 8C3 x 25 ways, thus we have
Example 15.26: There are 3 boxes with the following composition :
Box I : 7 Red + 5 White + 4 Blue balls
Box II : 5 Red + 6 White + 3 Blue balls
Box III : 4 Red + 3 White + 2 Blue balls
One of the boxes is selected at random and a ball is drawn from it. What is the probability that the drawn ball is red?
Solution: Let A denote the event that the drawn ball is red. Since any of the 3 boxes may be
drawn, we have P(BI) = P(BII) = P(BIII)= 1/ 3
Also P(R1/BII) = probability of drawing a red ball from the first box
= 7 / 16
A random variable X is a function that assigns a real number to each outcome in the sample space. If a coin is tossed three times and X denotes the number of heads, then
S = {HHH, HHT, HTH, HTT, THH, THT, TTH, TTT} and
Random variables are classified:
The probability distribution of a discrete random variable X that takes values x1, x2, …, xn with probabilities p1, p2, …, pn satisfies:
(i) pi ≥ 0 for every i …………… (15.33)
and (ii) ∑ pi = 1 (over all i) ………….. (15.34)

Example: For an unbiased coin tossed thrice, the distribution of X (number of heads) is:

If p(x) exists for discrete X it is called the probability mass function (PMF) and must satisfy p(x) ≥ 0 and ∑ p(x) = 1.

For a continuous random variable X, the probability density function (pdf) f(x) satisfies:

The probability that X lies between a and b is

The expected value (mean) of a discrete random variable X taking values x1, x2, …, xn with probabilities p1, p2, …, pn is

The expected value of X^2 is

For a function g(X):

Variance of X, denoted σ^2, is

The standard deviation is σ = √(σ^2).
If Y = a + bX, then


For discrete X with PMF f(x):

For continuous X defined over (−∞, ∞):

Properties of Expected Values

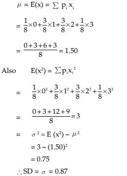
Example 15.27: An unbiased coin is tossed three times. Find the expected value of the number of heads and also its standard deviation.
Solution: If x denotes the number of heads when an unbiased coin is tossed three times, then the probability distribution of x is given by
The expected value of x is given by
96 videos|242 docs|83 tests |
| 1. What is a random experiment in probability? | ![]() |
| 2. How do classical and relative frequency definitions of probability differ? | ![]() |
| 3. What is the axiomatic definition of probability? | ![]() |
| 4. Can you explain the addition theorems in probability? | ![]() |
| 5. What is conditional probability and why is it important? | ![]() |
96 videos|242 docs|83 tests |
![]() | Explore Courses for CA Foundation exam |