| Table of contents | |
| Method of Solving Simultaneous Linear Equation with three Variables | |
| Problems Leading To Simultaneous Equations | |
| Quadratic Equation | |
| How to Construct a Quadrtatic Equation |

For Example:
holds true only for x =1.
So it is a conditional. On the other hand,
is an identity since it holds for all values of the variable x.
Determination of value of the variable which satisfy an equation is called solution of the equation or root of the equation. An equation in which highest power of the variable is 1 is called a Linear (or a simple) equation. This is also called the equation of degree 1. Two or more linear equations involving two or more variables are called Simultaneous Linear Equations. An equation of degree 2 (Highest Power of the variable is 2) is called Quadratic equation and the equation of degree 3 is called Cubic Equation.
For Example: 8x+17(x–3) = 4 (4x–9) + 12 is a Linear equation.
3x2 + 5x +6 = 0 is a Quadratic equation.
4x3 + 3x2 + x–7 = 1 is a Cubic equation.
x + 2y = 1, 2x + 3y = 2 are jointly called Simultaneous equations.
A simple equation in one unknown x is in the form ax + b = 0.
Where a, b are known constants and a # 0
Note: A simple equation has only one root.
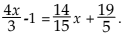
Example: 
Solution: By transposing the variables in one side and the constants in other side we have
ILLUSTRATIONS:
1. The denominator of a fraction exceeds the numerator by 5 and if 3 be added to both the fraction becomes 3/4 . Find the fraction.
Let x be the numerator and the fraction be x/x + 5 . By the question
or 4x + 12 = 3x + 24 or x = 12
The required fraction is 12 / 17
2. If thrice of A’s age 6 years ago be subtracted from twice his present age, the result would be equal to his present age. Find A’s present age.
Let x years be A’s present age. By the question
2x – 3(x – 6) = x
or 2x – 3x + 18 = x
or –x + 18 = x
or 2x = 18
or x = 9
A’s present age is 9 years.
3. A number consists of two digits the digit in the ten’s place is twice the digit in the unit’s place. If 18 be subtracted from the number the digits are reversed. Find the number.
Let x be the digit in the unit’s place. So the digit in the ten’s place is 2x. Thus the number becomes 10(2x) + x. By the question
20x + x– 18 = 10x + 2x
or 21x – 18 = 12x
or 9x = 18 or x = 2
So the required number is 10 (2 × 2) + 2 = 42.
4. For a certain commodity the demand equation giving demand ‘d’ in kg, for a price ‘p’ in rupees per kg. is d = 100 (10 – p). The supply equation giving the supply s in kg. for a price p in rupees per kg. is s = 75( p – 3). The market price is such at which demand equals supply. Find the market price and quantity that will be bought and sold.
Given d = 100(10 – p) and s = 75(p – 3).
Since the market price is such that demand (d) = supply (s) we have
So market price of the commodity is ₹7 per kg.
∴the required quantity bought = 100 (10 – 7) = 300 kg. and the quantity sold = 75 (7 – 3) = 300 kg.
The general form of a linear equations in two unknowns x and y is ax + by + c = 0 where a, b are non-zero coefficients and c is a constant. Two such equations a1x + b1y + c1 = 0 and a2 x + b2 y + c2 = 0 form a pair of simultaneous equations in x and y. A value for each unknown which satisfies simultaneously both the equations will give the roots of the equations.
1. Elimination Method: In this method two given linear equations are reduced to a linear equation in one unknown by eliminating one of the unknowns and then solving for the other unknown.
Example 1: Solve: 2x + 5y = 9 and 3x – y = 5.
Solution: 2x + 5y = 9 …….. (i)
3x – y = 5 ………(ii)
By making (i) x 1, 2x + 5y = 9
and by making (ii) x 5, 15x – 5y = 25
Adding 17x = 34 or x = 2. Substituting this values of x in (i) i.e. 5y = 9 – 2x
we find; 5y = 9 – 4 = 5 ∴y = 1 ∴x = 2, y = 1.
2. Cross Multiplication Method: Let two equations be:
a1 x + b1y +c1 =0
a2 x + b2y + c2 =0
We write the coefficients of x, y and constant terms and two more columns by repeating the coefficients of x and y as follows:


Example 2: Solve 3x + 2y + 17 = 0, 5x – 6y – 9 = 0
Solution:
3x + 2y + 17 = 0 ....... (i)
5x – 6y – 9 = 0 ........(ii)
Method of elimination: By (i) x 3 we get 9x + 6y + 51 = 0 ...... (iii)
Adding (ii) & (iii) we get 14x + 42 = 0
or x=– 42/14 = – 3
Putting x = –3 in (i) we get 3(–3) + 2y + 17 = 0
or, 2y + 8 = 0 or, y = – 2 8 =– 4
So x = –3 and y = –4
Method of cross-multiplication:
3x + 2y + 17 = 0
5x – 6y – 9 = 0
Solution: (a) Method of elimination
2x – y + z = 3 .......(i)
x + 3y – 2z = 11 .... (ii)
3x – 2y + 4z = 1 .... (iii)
By (i) × 2 we get
4x – 2y + 2z = 6 …. (iv)
By (ii) + (iv), 5x + y = 17 ….(v) [the variable z is thus eliminated]
By (ii) × 2, 2x + 6y – 4z = 22 ….(vi)
By (iii) + (vi), 5x + 4y = 23 ....(vii)
By (v) – (vii), –3y = – 6 or y = 2
Putting y = 2 in (v) 5x + 2 = 17, or 5x = 15 or, x = 3
Putting x = 3 and y = 2 in (i)
2 ×3 – 2 +z =3
or 6 – 2 + z = 3
or 4 + z = 3
or z = –1
So x = 3, y = 2, z = –1 is the required solution.
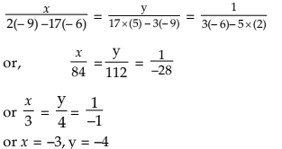
(Any two of 3 equations can be chosen for elimination of one of the variables)(b) Method of cross multiplication
We write the equations as follows:
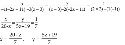
2x – y + (z – 3) = 0
x + 3y + (–2z –11) = 0
By cross multiplication
Substituting above values for x and y in equation (iii) i.e. 3x - 2y + yz = 1, we have
or 60 – 3z – 10z – 38 + 28z = 7
or 15z = 7 – 22 or 15z = –15 or z = –1
Now
Thus x = 3, y = 2, z = –1
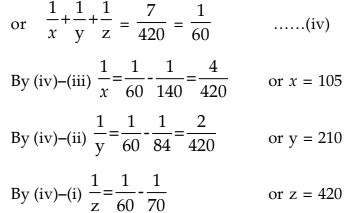
Example 2: Solve for x, y and z :

Solution: We put u = 1/x ; v= 1 / y ; w= 1 / z and get
u + v + w = 5 ........ (i)
2u – 3v – 4w = –11........ (ii)
3u + 2v – w = –6........ (iii)
By (i) + (iii) 4u + 3v = –1 ........ (iv)
By (iii) x 4 12u + 8v – 4w = –24 ......... (v)
By (ii) – (v) –10u – 11v = 13
or 10u + 11v = –13 .......... (vi)
By (iv) × 11 44x + 33v = –11 …..…(vii)
By (vi) × 3 30u + 33v = –39 ……..(viii)
By (vii) – (viii) 14u = 28 or u = 2
Putting u = 2 in (iv) 4 2 + 3v = –1
or 8 + 3v = –1
or 3v = –9 or v = –3
Putting u = 2, v = –3 in (i) or 2–3 + w = 5
or –1 + w = 5 or w = 5 + 1 or w = 6Thus
is the solution.
Example 3: Solve for x, y and z:

Solution: We can write as
By (iv)–(iii) we get
Required solution is x = 105, y = 210, z = 420
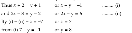
3x + 4y = 16
2x - 5y = -7
1. If the numerator of a fraction is increased by 2 and the denominator by 1 it becomes 1. Again if the numerator is decreased by 4 and the denominator by 2 it becomes 1/2 . Find the fraction.
SOLUTION: Let x/y be the required fraction.
By the question
So the required fraction is 7/8.
2. The age of a man is three times the sum of the ages of his two sons and 5 years hence his age will be double the sum of their ages. Find the present age of the man?
SOLUTION: Let x years be the present age of the man and sum of the present ages of the two sons be y years.
By the condition x = 3y .......... (i)
and x + 5 = 2 (y + 5 + 5) ..........(ii)
From (i) & (ii) 3y + 5 = 2 (y + 10) or 3y + 5 = 2y + 20
or 3y – 2y = 20 – 5
or y = 15
∴ x = 3 × y = 3 × 15 = 45
]Hence the present age of the man is 45 years
3. A number consist of three digit of which the middle one is zero and the sum of the other digits is 9. The number formed by interchanging the first and third digits is more than the original number by 297 find the number.
SOLUTION: Let the number be 100x + y.we have x + y = 9……(i)
Also 100y + x = 100x + y + 297 …………………………….. (ii)
or x – y = –3
Adding (i) and (iii)
From (ii) 99(x – y) = –297 ….……………………………………………… (iii) from (i) y = 6
2x = 6 or x = 3
∴ Hence the number is 306.


Sum and Product of the Roots:
Let one root be αand the other root be β


or x2 – (Sum of the roots) x + Product of the roots = 0
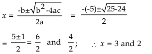
Example 1: Solve x2 – 5x + 6 = 0
Solution: 1st method : x2 – 5x + 6 = 0
or x2 –2x –3x +6 = 0
or x(x–2) – 3(x–2) = 0
or (x–2) (x–3) = 0
or x = 2 or 3
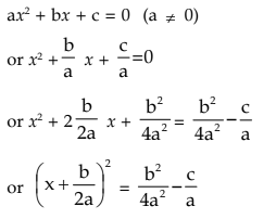
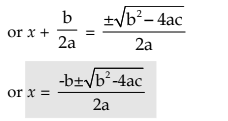
2nd method (By formula) x2 – 5x + 6 = 0Here a = 1, b = –5 , c = 6 (comparing the equation with ax2 + bx + c = 0)
Example 2: Examine the nature of the roots of the following equations.
(i) x2 – 8x + 16 = 0
(ii) 3x2 – 8x + 4 = 0
(iii) 5x2 – 4x + 2 = 0
(iv) 2x2 – 6x – 3 = 0
Solution: (i) a = 1, b = –8, c = 16
b2 – 4ac = (–8)2 – 4 × 1 × 16 = 64 – 64 = 0
The roots are real and equal.
(ii) 3x2 – 8x + 4 = 0
a = 3, b = –8, c = 4
b2 – 4ac = (–8)2 – 4 × 3 × 4
= 64 – 48 = 16 > 0 and a perfect square
The roots are real, rational and unequal(iii) 5x2 – 4x + 2 = 0
b2 – 4ac = (–4)2 – 4 × 5 × 2
= 16 – 40 = –24 < 0
The roots are imaginary and unequal(iv) 2 x 2 – 6x – 3 = 0
b2 – 4ac = (–6)2 – 4 × 2 (–3)
= 36 + 24 = 60 > 0The roots are real and unequal. Since b2 – 4ac is not a perfect square the roots are real irrational and unequal.
ILLUSTRATIONS:
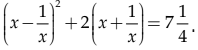
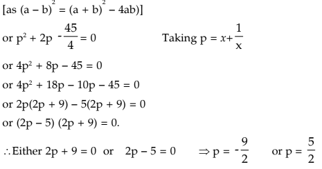
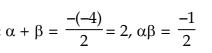
1. If α and ß be the roots of x2 + 7x + 12 find the equation whose roots are (α + β)2 and (α - β)2.
SOLUTION: Now sum of the roots of the required equation
= 49 + (–7)2 – 4 x 12
= 49 + 49 – 48 = 50
Product of the roots of the required equation == 49 (49–48) = 49
Hence the required equation is
x2 – (sum of the roots) x + product of the roots = 0
or x2 – 50x + 49 = 0
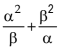
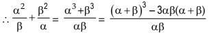
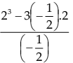
2. If α and ß be the roots of find the value of 
SOLUTION:
= - 22
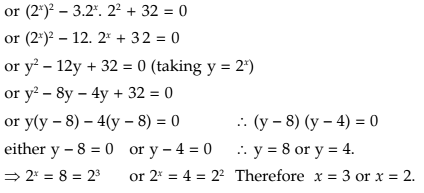
3. Solve x : 4x – 3.2x+2 + 25 = 0
SOLUTION: 4x – 3.2x+2 + 25 = 0
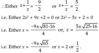
4. Solve 
SOLUTION:
5. Solve 2x–2 + 23–x =3
SOLUTION: 2x–2 + 23–x =3
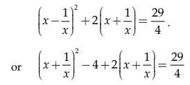
6. If one root of the equation is
form the equation given that the roots are irrational
SOLUTION: Other root is
sum of two roots =Product of roots =
∴ Required equation is : x2 – (sum of roots)x + (product of roots) = 0
or x2 – 4x + 1 = 0.
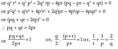
7. If the roots of the equation p(q – r)x2 + q(r – p)x + r(p – q) = 0 are equal show that 
SOLUTION: Since the roots of the given equation are equal the discriminant must be
zero ie. q2(r – p)2 – 4. p(q – r) r(p – q) = 0
96 videos|242 docs|83 tests |
| 1. What are simple equations and how can they be solved? | ![]() |
| 2. What is a simultaneous linear equation in two unknowns? | ![]() |
| 3. How do you solve simultaneous linear equations with three variables? | ![]() |
| 4. What are the applications of solving simultaneous linear equations? | ![]() |
| 5. What methods are commonly used to solve linear equations in algebra? | ![]() |
96 videos|242 docs|83 tests |
![]() | Explore Courses for CA Foundation exam |