Q1: A round-bottom triangular lined canal is to be liad at a slope of 1 m in 1500 , to carry a discharge of 25m3/s. The side slopes of the canal cross-section are to be kept at 1.25H : 1V. If Manning 's roughen coefficient is 0.013, the flow depth (in meters) will be in the range [2024, Set-2]
(a) 2.39 to 2.42
(b) 1.94 to 1.97
(c) 2.24 to 2.27
(d) 2.61 to 2.64
Ans: (a)
Sol:
cot θ = 1.25
θ = 0.675rad
n = 0.013
Q = 25 m3/s, S = 1/1500
Using manning's equation:
Area = y2(θ + cot θ)
A = 1.925y2
R = y/2
Q = A/n R2/3 (S) 1/2
25 = 1.925y2/0.013 (y/2) 2/3(1/1500)1/2
⇒ y = 2.40 m
Q1: A standard round bottom triangular canal section as shown in the figure has a bed slope of 1 in 200. Consider the Chezy 's coefficient as 150 1/2/s. [2024, Set-1]
The normal depth of flow, y [Later] ( in meters) for carrying discharge of [Later] 20 m3/s is ____(rounded off to 2 decimal places).
Ans: 1.09 to 1.12
Sol:
Discharge, Q = A x V
Now, Cross-section area, A = y2 (θ radian + cot θ) = y2 (0.588 + 1.5) = 2.088y2
Perimeter, P = 2y (θ radian + cot θ)
Hydraulic radius, R = A/P =
Now, Velocity, V = C
Now, Q = A x V
20 = 2.088 y2 x 150/20. y 1/2
⇒ y = 1.10 m
Q1: Identify the cross-drainage work in the figure. [2023, Set-2]
(a) Super passage
(b) Aqueduct
(c) Siphon aqueduct
(d) Level crossing
Ans: (a)
Sol: In given CDW, river is above the canal with underside of trough sufficiently above the full supply level of canal. Hence it is super passage.
Q1: In the context of cross-drainage structures, the correct statement(s) regarding the relative positions of a natural drain (stream/river) and an irrigation canal, is/are [2022, Set-1]
(a) In an aqueduct, natural drain water goes under the irrigation canal, whereas in a super-passage, natural drain water goes over the irrigation canal.
(b) In a level crossing, natural drain water goes through the irrigation canal.
(c) In an aqueduct, natural drain water goes over the irrigation canal, whereas in a super-passage, natural drain water goes under the irrigation canal.
(d) In a canal syphon, natural drain water goes through the irrigation canal.
Ans: (a, b)
Sol:
In Aqueduct and Syphon aqueduct under irrigation canal or canal passes over natural drain.
In Super passage and Canal syphon or simply syphon, natural drain passes over irrigation canal or canal goes under natural drain.
In level crossing, natural drain water goes through the irrigation canal.
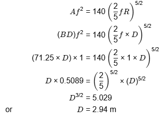
Q1: An unlined canal under regime conditions along with a silt factor of 1 has a width of flow 71.25m. Assuming the unlined canal as a wide channel, the corresponding average depth of flow (in m, round off to two decimal places) in the canal will be ______________ [2021, Set-1]
Ans: 2.8 to 2.95
Sol:
R = D (for wide rectangular channel)
| 1. What are the key factors to consider in the design of stable channels? | ![]() |
| 2. How does sediment transport affect channel stability? | ![]() |
| 3. What methods are used to analyze channel stability during design? | ![]() |
| 4. What is the significance of vegetation in channel design? | ![]() |
| 5. How do climatic factors influence the design of stable channels? | ![]() |