(1) वे संख्याएँ जिन्हें p/q के रूप में व्यक्त किया जा सकता है, जहाँ q एक गैर-शून्य पूर्णांक है और p कोई भी पूर्णांक है, उन्हें तार्किक संख्याएँ कहा जाता है।
(2) प्रत्येक पूर्णांक एक तार्किक संख्या है लेकिन एक तार्किक संख्या आवश्यक नहीं कि एक पूर्णांक हो।
(3) प्रत्येक भिन्न एक तार्किक संख्या है लेकिन एक भिन्न आवश्यक नहीं कि एक तार्किक संख्या हो।
(4) एक तार्किक संख्या p/q को मानक रूप में कहा जाता है यदि q एक सकारात्मक पूर्णांक है और पूर्णांक p/q का कोई सामान्य भाजक 1 के अलावा नहीं है।
(5) एक तार्किक संख्या p/q सकारात्मक होती है, यदि p और q दोनों या तो सकारात्मक हैं या दोनों नकारात्मक हैं।
(6) एक तार्किक संख्या p/q नकारात्मक होती है, यदि p और q के विपरीत संकेत होते हैं।
(7) दो तार्किक संख्याएँ समान होती हैं यदि उनके पास समान मानक रूप होता है।
(8) एक तार्किक संख्या को समकक्ष तार्किक संख्या में बदलने के लिए, उसके अंश और हर को किसी गैर-शून्य पूर्णांक से गुणा या भाग करें।
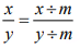
(9) यदि x/y एक तार्किक संख्या है और m कोई भी गैर-शून्य पूर्णांक है, तो 
(10) यदि x/y एक तार्किक संख्या है और m x और y का सामान्य भाजक है, तो
(11) यदि x और y सकारात्मक पूर्णांक हैं, तो तार्किक संख्याएँ x/y और -x/-y दोनों सकारात्मक हैं और तार्किक संख्याएँ -x/y और x/-y नकारात्मक हैं।
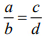
(12)
केवल तभी जब a x d = b x c
(13) यदि दो तार्किक संख्याओं में सामान्य हर है, तो वह जो बड़े अंश वाली है, वह दूसरी से बड़ी होती है।
(14) प्रत्येक सकारात्मक तार्किक संख्या शून्य से बड़ी होती है।
(15) प्रत्येक नकारात्मक तार्किक संख्या शून्य से छोटी होती है।
(16) तार्किक संख्याओं को संख्या रेखा पर प्रदर्शित किया जा सकता है।
| 1. समतल संख्याएँ क्या होती हैं और उनका उपयोग किस प्रकार किया जाता है? | ![]() |
| 2. CTET में समतल संख्याओं से संबंधित किस प्रकार के प्रश्न पूछे जाते हैं? | ![]() |
| 3. समतल संख्याओं का क्षेत्रफल कैसे निकाला जाता है? | ![]() |
| 4. समतल संख्याओं से संबंधित महत्वपूर्ण सूत्र कौन से हैं? | ![]() |
| 5. क्या समतल संख्याएँ और त्रिकोणमिति में कोई संबंध है? | ![]() |