
i. Find the area of the square-shaped grass field. (1 mark)
ii. Find the area of the total field in which these horses can graze. (1 mark)
iii. If the length of the rope of each horse is increased from 7 m to 10 m, find the area grazed by one horse. (Use π = 3.14) (1 mark)
iv. What is the area of the field that is left ungrazed, if the length of the rope of each horse is 7 m? (1 mark)
Ans:
i. Area of square shaped field
= 20 × 20
= 400 sq. m.
ii. Area of 4 quadrants
= Area of a circle of radius 7 m = πr²
= (22 / 7) × 7 × 7
= 154 m²
iii. New radius = 10 m
So, area grazed by one horse
= (1 / 4) × (Area of circle with radius 10 m)
= (1 / 4) × π × (10)²
= (3.14 × 10 × 10) / 4
= 78.5 m²
iv. Total grazed area = area of four quadrants = one circle = 154 m²
So ungrazed area:
m²
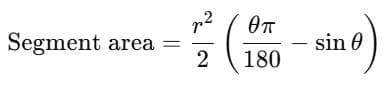
It is given that the combined area of the two segments (of flowers) is 256 (2/3) sq. m.i. Write an equation representing the total area of the two segments in terms of 'r'. (1 mark)
ii. Find the value of 'r'. (1 mark)
iii. Find the area of the segment with red roses. (1 mark)
iv. Find the area of the segment with yellow flowers. (1 mark)
Ans: Given:
A circular park of radius r m has two flower segments:
Red roses → central angle = 90°
Yellow flowers → central angle = 60°
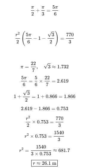
Combined area of both segments = 256 (2/3) m² = 770/3 m²
i. Equation for total area of two segments
Area of a circular segment:


ii. Value of r
Combine terms:
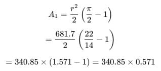
iii. Area of segment with red roses (90°)

⇒ A1 ≈ 194.3 m²
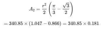
iv. Area of segment with yellow flowers (60°)

⇒ A2 ≈ 61.9 m²
Rangoli is in the shape of square marked as ABCD, side of square being 40 cm. At each corner of a square, a quadrant of circle of radius 10 cm is drawn (in which diyas are kept). Also a circle of diameter 20 cm is drawn inside the square.i. What is the area of square ABCD? (1 mark)
ii. Find the area of the circle. (1 mark)
iii. If the circle and the four quadrants are cut off from the square ABCD and removed, then find the area of remaining portion of square ABCD. (1 mark)
iv. Find the combined area of 4 quadrants and the circle, removed. (1 mark)
Ans:
i. Given, side of square ABCD, 'a' = 40 cm.
∴ Area of square ABCD = a² = (40)²
= 1600 cm².
ii. Given, diameter of inside circle = 20 cm
∴ Radius of circle (r) = 20 / 2 = 10 cm
So, area of the circle = πr²
= π(10)² = 100π
= 100 × 3.14 = 314 cm²
iii. Given, radius of a quadrant (R) = 10 cm
All quadrants are equal at each corner of a square ABCD.
Now, area of a quadrant = (1/4) πR²
= (1/4) π(10)²
= (1/4) × π × 100 = 25π cm²
∴ Area of four quadrants = 4 × 25π = 100π
= 100 × 3.14 = 314 cm²
So, area of remaining portion of square ABCD
= Area of square ABCD - Area of the circle - Area of four quadrants
= 1600 - 314 - 314
= 1600 - 628 = 972 cm²
iv. Combined area of 4 quadrants and the circle, removed
= Area of four quadrants + Area of the circle
= 314 + 314
= 628 cm²
Kritika bought a pendulum clock for her living room. The clock contains a small pendulum of length 15 cm. The minute hand and hour hand of the clock are 9 cm and 6 cm long respectively.
i. Find the area swept by the minute hand in 10 minutes. (1 mark)
ii. If the pendulum covers a distance of 22 cm in the complete oscillation, then find the angles described by pendulum at the centre.
(1 mark)
iii. Find the area swept by the hour hand in 1 hour. (1 mark)
iv. Find the area swept by the hour hand between 11 am and 5 pm (1 mark)
Ans:
i. Area swept by the minute hand in 10 minutes:
Given, length of minute hand = 9 cm
The minute hand completes 360° in 60 minutes.
Angle swept by the minute hand in 10 minutes:
(10/60) × 360° = 60°
Area swept by the minute hand = (θ / 360) × πr²
(60/360) × 3.14 × (9)²
(1/6) × 3.14 × 81
254.34 / 6
42.39 cm²
ii. Angle described by the pendulum at the centre:
Given, Length of the pendulum (r) = 15 cm
Distance covered by the pendulum in one complete oscillation = 22 cm
Angle described at the centre:
θ = (arc length / radius) × (180° / π)
= (22 / 15) × (180 / 3.14)
= 3960 / 47.1
≈ 84°
iii. Area swept by the hour hand in 1 hour:
Given, length of hour hand = 6 cm
The hour hand completes 360° in 12 hours.
Angle swept by the hour hand in 1 hour:
(1/12) × 360° = 30°
Area swept by the hour hand in 1 hour = (θ / 360) × πr²
(30/360) × 3.14 × (6)²
= (1/12) × 3.14 × 36
= 113.04 / 12
= 9.42 cm²
iv. Area swept by the hour hand between 11 am and 5 pm:
Time duration = 5 hours
Angle swept by the hour hand:
5 × 30° = 150°
Area swept:
= (150/360) × π × (6)²
= (5/12) × 3.14 × 36
= 565.2 / 12
= 47.1 cm²
Thus, the area swept by the hour hand between 11 am and 5 pm is 47.1 cm².
| 1. What is the formula for calculating the area of a circle? | ![]() |
| 2. How do you find the circumference of a circle? | ![]() |
| 3. What is the relationship between the radius and diameter of a circle? | ![]() |
| 4. How do you convert the area of a circle to different units? | ![]() |
| 5. What are some real-life applications of circle area calculations? | ![]() |