UPSC Exam  >  UPSC Notes  >  Physics Optional Notes  >  Lorentz Transformations: Velocity Addition

Lorentz Transformations: Velocity Addition

Velocity Addition Transformations

  • Similar to velocity addition to Galilean transformations, the Lorentz transformation equations lead to relativistic velocity addition equations

  • These are again used when there are multiple velocities in the scenario but now some are close to the speed of light

  • Let's go back to the example of Person F in the rocket ship. They now release a missile in front of them

  • In this example:

    • u is the speed of the missile measured in frame S (by Person E)

    • u' is the speed of the missile measured in frame S' (by Person F)

    • v is the speed of frame S' (Person F)
      Velocity Addition Transformations

Person F releases a missile in front of them. Both observers will view the missile travelling at different speeds

In Galilean velocity addition, when v << c, these were:

  • The speed of the missile as measured by Person E: u = u' + v 
  • Or,  u' = u - v

If v and u' are close to the speed of light, we have to use Lorentz velocity addition transformations instead

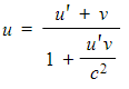
These equations are:
Velocity Addition Transformations

Where:

  • u = the velocity of an object measured from the stationary reference frame
  • u' = the velocity of an object measured from a moving reference frame
  • v = the velocity of the moving reference frame
  • c = the speed of light

Example: A rocket moves to the right with speed 0.60c relative to the ground.
Example: A rocket moves to the right with speed 0.60c relative to the ground.

A probe is released from the back of the rocket at speed 0.82c relative to the rocket.
Calculate the speed of the probe relative to the ground.
Ans:
Step 1: List the known quantities

  • Speed of the rocket, v = 0.60c
  • Speed of the probe relative to the rocket, u' = 0.82c

Step 2: Analyse the situation

  • We have multiple velocities in this scenario in terms of c, so we need to use the Lorentz velocity addition equations
  • The probe is travelling in the opposite direction to the rocket, so its velocity is -0.82c
  • We want the speed relative to the ground, which is a reference frame at rest, so this is u

Step 3: Substitute values into the equation
Example: A rocket moves to the right with speed 0.60c relative to the ground.
Example: A rocket moves to the right with speed 0.60c relative to the ground.
u = -0.43c

The document Lorentz Transformations: Velocity Addition is a part of the UPSC Course Physics Optional Notes for UPSC.
All you need of UPSC at this link: UPSC

FAQs on Lorentz Transformations: Velocity Addition

1. What are the fundamental principles of Lorentz Transformations in physics?
Ans. Lorentz Transformations are mathematical equations that describe how measurements of space and time change for observers in different inertial frames of reference, especially at high velocities close to the speed of light. They account for the effects of time dilation and length contraction, ensuring that the speed of light remains constant for all observers.
2. How do velocity addition transformations work in the context of special relativity?
Ans. In special relativity, velocity addition transformations provide a way to calculate the resultant velocity of an object moving in one frame of reference when observed from another frame. The formula takes into account the relativistic effects at high speeds, ensuring that the resultant velocity never exceeds the speed of light, even when adding velocities that are significant fractions of the speed of light.
3. What is the significance of the speed of light in Lorentz Transformations?
Ans. The speed of light is a fundamental constant in physics, denoted as "c." In Lorentz Transformations, it serves as the maximum possible speed for any object with mass and is invariant across all inertial frames. This constant underpins the structure of spacetime in special relativity and leads to phenomena such as time dilation and length contraction.
4. Can you explain time dilation and its relation to Lorentz Transformations?
Ans. Time dilation is a phenomenon predicted by special relativity, stating that time passes at different rates for observers in different inertial frames. According to Lorentz Transformations, a moving clock ticks slower relative to a stationary observer's clock. This effect becomes significant at speeds approaching the speed of light, illustrating the non-absolute nature of time.
5. How are Lorentz Transformations applied in real-world scenarios, such as GPS technology?
Ans. Lorentz Transformations are crucial for the accurate functioning of GPS technology. Satellites orbiting Earth experience different gravitational fields and velocities compared to observers on the ground, leading to both time dilation and relativistic effects. By applying Lorentz Transformations, GPS systems can accurately synchronize time signals, ensuring precise location tracking.
Explore Courses for UPSC exam
Get EduRev Notes directly in your Google search
Related Searches
ppt, Exam, MCQs, mock tests for examination, pdf , study material, Lorentz Transformations: Velocity Addition, shortcuts and tricks, Semester Notes, practice quizzes, Important questions, Objective type Questions, past year papers, Sample Paper, Lorentz Transformations: Velocity Addition, Summary, Extra Questions, Lorentz Transformations: Velocity Addition, Previous Year Questions with Solutions, Free, Viva Questions, video lectures;