Electricity plays a crucial role in our modern world, powering everything from homes and schools to hospitals and industries. But what exactly is electricity? How does it travel through an electric circuit? And what factors influence the flow of current? In this chapter, we'll explore these questions, uncover the principles behind electric circuits, and delve into the heating effects of electric current and its many practical applications.
Electricity originated from the Greek words "Electrica" and "Elektron". The greek philosopher Thales was the first to observe the attracting capacity of certain materials when rubbed together.




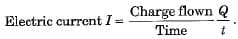
The flow of electric current
Solved example
A current of 0.75 A flows through a heater for 8 minutes. Calculate the amount of electric charge that passes through the circuit.
Solution:
Given:
Current, I=0.75A
Time,
Using the formula:
Q=It
Q=0.75A×480s
Q=360C
So, the electric charge that flows through the circuit is 360 C.
The flow of electric charge in a circuit is similar to water flow in a pipe.

be the amount of work done in taking a charge Q from point B to point A, then

Solved example
How much work is done in moving a charge of 3 C between two points with a potential difference of 9 V?Solution:
The charge Q flowing between the two points with a potential difference V = 9V is 3 C. The work W done in moving the charge can be calculated using the formula:
C
JSo, 27 J of work is done in moving the charge.


George Simon Ohm established a relationship between the electric current flowing through a conductor and the potential difference across its ends, due to which current flows.
V ∝ I or V = IR

Mathematically, Resistance 
Lets do one activity to understand Ohm's law more clearly
Objective:
To study the relationship between the potential difference (V) across a nichrome wire and the current (I) passing through it by varying the number of cells in a circuit.Materials Needed:
Nichrome wire (length 0.5 m), Ammeter, Voltmeter, Four 1.5 V cells, Connecting wires, Switch, Circuit board
Procedure:
Set Up the Circuit:
- Connect the nichrome wire (XY) to a circuit that includes an ammeter in series, a voltmeter in parallel with the wire, and one 1.5 V cell as the power source.
Measure and Record Readings:
- Close the switch and note the current (I) from the ammeter and the potential difference (V) across the nichrome wire from the voltmeter.
- Record these values in a table.
Increase the Number of Cells:
- Add another cell to the circuit to increase the voltage. Again, note the values of current (I) and potential difference (V) and record them.
- Repeat this step by adding a third and then a fourth cell to the circuit, each time noting the ammeter and voltmeter readings.
Tabulate the Results:
Create a table with the number of cells, corresponding potential difference (V), and current (I) readings.
In this Activity, you will find that approximately the same value for V/I is obtained in each case. Thus the V-I graph is a straight line that passes through the origin of the graph,Thus, V/I is a constant ratio. R is a constant for the given metallic wire at a given temperature and is called its resistance. It is the property of a conductor to resist the flow of charges through it.
Important note:-
It is obvious from the ohm's law equation that the current through a resistor is inversely proportional to its resistance. If the resistance is doubled the current gets halved.


Mathematically, R = ρL/A

Ammeter
Voltmeter
Solved example
The resistance of a metal wire of length 1.5 m is 30 Ω at 25°C. If the diameter of the wire is 0.4 mm, what will be the resistivity of the metal at that temperature?Solution:
Given:
Resistance
Diameter 4×10-4m
Length 1.5m
To find the resistivity ρ of the metal, use the formula:
ρ=RA/l= Rπd2/4lSubstituting the given values:
2.51×10-6ΩmThe resistivity of the metal at 25°C is2.51×10-6Ωm.
Another Solved example
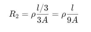
A wire made of a specific material has a length l and a cross-sectional area A, with a resistance of 6 Ω. What would be the resistance of another wire made of the same material but with a length of l/3 and a cross-sectional area of 3A?
Solution:
For first wire
For second wire
R2 = 1/9 ρl/A
R2= 1/9 R1
R2= 1ΩThe resistance of the new wire is 1Ω.
In an electric circuit resistances may be connected in:
(i) Series
(ii) Parallel Arrangement
In the series grouping of resistances:
(i) The current flowing through all the resistances is the same.
(ii) The total voltage across the combination is equal to the sum of the voltage drops across the individual resistors.
(iii) The total resistance of the combination is equal to the sum of the individual resistances.
(iv)If R1, R2, R3,... be the individual resistors joined in series then the equivalent resistor Rs is given by Rs = R1 + R2 + R3 + ...
In the parallel grouping of resistances:
(i) The voltage across each resistor is the same and equal to the voltage across the whole combination.
(ii) The currents in various resistors are inversely proportional to the resistances, and the total current is the sum of the currents flowing through different resistances, and (Hi) the sum of the reciprocals of the separate resistances is equal to the reciprocal of equivalent resistance. If R1, R2, R3,... be the individual resistors joined in parallel then the equivalent resistance Rp is given as :
In household electric circuits, a series circuit is not followed. It is because if one component of the series circuit fails, the entire circuit is broken and none of the components works. Moreover, the same current flows through all the components irrespective of their operating needs.
Solved example
An electric lamp of resistance 20Ω and a conductor of resistance 4Ω are connected to a 6V battery as shown in the circuit. Calculate:(a) The total resistance of the circuit
(b) The current through the circuit
(c)The potential difference across the (i) Electric lamp and (ii) Conductor, and
(d) Power of the lamp.
Answer:
Given, Resistance of electric lamp, R 1 = 20 ohm
Resistance of conductor, R 2 = 4 ohm
Potential difference, V = 6 V
(a) Since R 1 and R 2 are connected in series,Total resistance, R = R 1 + R 2
= 20 + 4
= 24 ohm
Therefore, total resistance of the circuit is 24 ohm.
(b) Let the current through the circuit be I.
According to ohm's law,
V = I*R
I = V / R
= 6 / 24
= 0.25 A
Therefore, the current through the circuit is 0.25 A
(c) (i) For electric lamp,
V = I*R 1
= 0.25 * 20
= 5 V
Therefore, the potential difference across the electric lamp is 5 V.
(ii) For conductor,
V = I*R 2
= 0.25 * 4
= 1 V
Therefore, the potential difference across the conductor is 1 V.
(d)Let the power of the lamp be P.
We know that,
P = V*I
= 5 * 0.25
= 1.25 W
Therefore, power of the lamp is 1 . 25 W

because here V is the same across all branches of the circuit.
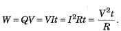
Solved exampleAn electric heater uses 900 W of power when operating at maximum heat and 400 W at minimum heat. The voltage across it is 240 V. What are the current and resistance of the heater in each case?
Solution:
Using the formula the current can be calculated as:
(a) Maximum Heating:
900W
240V
The resistance R is:
(b) Minimum Heating:
V
The resistance is:So, at maximum heating, the current is 3.75 A and the resistance is 64 Ω. At minimum heating, the current is 1.67 A and the resistance is 143.71 Ω.

2. Electric fuse protects an electric circuit or appliance by stopping the flow of any unduly high electric current.

The time rate of doing electric work is called electric power. Thus,
1 kW h = 1000 Wh = 3.6 x 106 J.
Q1. What is electricity?
Ans. Electricity is a form of energy resulting from the movement of charged particles, such as electrons or ions. It can be generated from various sources, including fossil fuels, nuclear power, and renewable sources like wind and solar.
Q2. How does electricity flow through a circuit?
Ans. Electricity flows through a circuit due to the movement of charged particles, which create an electric current. The current flows from the negative terminal of the power source to the positive terminal, following the path of least resistance through the circuit. This movement of electrons through the circuit creates energy, which can be used to power electrical devices.
Q3. What are conductors and insulators?
Ans. Conductors are materials that allow electricity to flow through them easily, due to the presence of free electrons. Examples of conductors include metals like copper, aluminium, and gold. Insulators, on the other hand, are materials that do not allow electrons to flow easily. Examples of insulators include rubber, plastic, and glass.
Q4. What is resistance in an electrical circuit?
Ans. Resistance is the opposition that a material offers to the flow of electrical current. It is measured in ohms and can be affected by factors such as the material of the conductor, its length, and its cross-sectional area. A material with high resistance will require more energy to produce a given amount of current, resulting in a lower flow of electricity.
Q5. What are some common electrical safety hazards?
Ans. Electrical safety hazards can include electric shock, burns, fires, and explosions. Some common causes of these hazards include faulty wiring, damaged electrical cords, and improper use of electrical equipment. To reduce the risk of electrical accidents, it is important to follow safety guidelines and use caution when working with electricity. This can include wearing protective gear, avoiding contact with live wires, and turning off power sources before making repairs or adjustments.
Q6. Why is resistance more in series combination?
Ans. We know R ∝ L. In a series combination of resistors, the effective length of the conductor increases, so the resistance increases.
Q7. Why is it not advisable to handle high-voltage electrical circuits with wet hands?
Ans. The resistance of the dry-skin human body is about 50,000 Ω. When the skin is wet, the resistance gets lowered to about 10,000 Ω. If a person with wet hands touches the electrical circuit, a high current will flow through the body causing a risk to life.
Q.8. How does the use of a fuse wire protect electrical appliances?
Ans. If a current larger than a specified value flows in a circuit, the temperature of the fuse wire increases its melting point. The fuse wire melts and the circuit breaks.
| 1. What is electric current and how is it measured? | ![]() |
| 2. What is the difference between electric potential and potential difference? | ![]() |
| 3. How does Ohm's Law relate to the resistance in an electrical circuit? | ![]() |
| 4. What factors affect the resistance of a conductor? | ![]() |
| 5. What is the heating effect of electric current and how is it utilized? | ![]() |