CBSE Class 10  >  Class 10 Notes  >   Maharashtra SSC Board All Subjects  >  Chapter Notes: Similarity

Chapter Notes: Similarity

Introduction


In this chapter, we delve into the fascinating realm of figures that share the same shape but may differ in size - these are aptly termed similar figures. Building upon the groundwork laid in Class IX regarding the congruence of triangles, we now explore the concept of similarity. Unlike congruent figures that possess both the same shape and size, similar figures exhibit identical shapes while allowing for variations in size. 

Similar Figures

  • Two geometrical figures are said to be similar figures if they have the same shape but not necessarily the same size.
    Or
    A shape is said to be similar to other if the ratio of their corresponding sides is equal and the corresponding angles are equal.
  • Two polygons having the same number of sides are similar, if:
    (i) all the corresponding angles are equal and
    (ii) all the corresponding sides are in the same ratio or proportion.
    Similar FiguresIf only one condition from (i) and (ii) is true for two polygons, then they cannot be similar.

Similarity of Triangles

Two triangles are said to be similar triangles if:

  • Their corresponding angles are equal and 
  • their corresponding sides are proportional (i.e., the ratios between the lengths of corresponding sides are equal).  

For example:
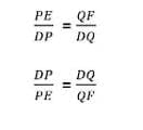
If in ∆ABC and ∆PQR
Similarity of Triangles∠A = ∠P, ∠B = ∠Q, ∠C = ∠R and,AB/PQ = BC/QR = AC/PR
Then, △ABC∼△PQR
where the symbol ∼ is read as 'is similar to'.
Conversely
If △ABC is similar to △PQR, then
∠A = ∠P, ∠B = ∠Q, ∠C = ∠R and,
AB/PQ = BC/QR = AC/PR

Note: The ratio of any two corresponding sides in two equiangular triangles is always the same.

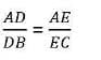
Theorem 1 ( Thales theorem)

If a line is drawn parallel to one side of a triangle to intersect the other two sides in distinct points, then other two sides are divided in the same ratio.
This theorem is known as the Basic Proportionality Theorem (BPT) or Thales theorem.

Theorem 1 ( Thales theorem)

Given: Theorem 1 ( Thales theorem)

To Proof: Theorem 1 ( Thales theorem)

Proof:

Now, Theorem 1 ( Thales theorem)

Theorem 1 ( Thales theorem)

Now,

Theorem 1 ( Thales theorem)                                                                     

Theorem 2 ( Converse of Thales theorem)

If a line divides any two sides of a triangle in the same ratio, then the line is parallel to the third side.


Theorem 2 ( Converse of Thales theorem)

Given: In ΔABC, DE is a straight line such thatTheorem 2 ( Converse of Thales theorem)

To prove DE || BC.

Construction: If DE is not parallel to BC, draw DF meeting AC at F.

Proof: In ΔABC, let DF || BC

[∴ A line drawn parallel to one side of a Δ divides the other two sides in the same ratio.]

Theorem 2 ( Converse of Thales theorem)

⇒ FC = EC.

It is possible only when E and F coincide

Hence, DE || BC.

Example 1:  If a line intersects sides AB and AC of a triangle ABC at D and E respectively and is parallel to BC, 

prove that Theorem 2 ( Converse of Thales theorem)

Theorem 2 ( Converse of Thales theorem)

Solution: 

Theorem 2 ( Converse of Thales theorem)

 If a line is drawn parallel to one side of a triangle to intersect the other two sides in distinct points, the other two sides are divided in the same ratio.

Theorem 2 ( Converse of Thales theorem)

Criteria For Similarity of Triangles

Two triangles are said to be similar triangles if their corresponding angles are equal and their corresponding sides are proportional (i.e., the ratios between the lengths of corresponding sides are equal).

For example:
If in ∆ABC and ∆PQR

Criteria For Similarity of Triangles∠A = ∠P, ∠B = ∠Q, ∠C = ∠R and,

AB/PQ = BC/QR = AC/PR

The, △ABC∼△PQR

where, symbol ∼ is read as, 'is similar to'.

Conversely

If △ABC is similar to △PQR, then

∠A = ∠P, ∠B = ∠Q, ∠C = ∠R and,

AB/PQ = BC/QR = AC/PR

1. AAA Similarity

Theorem 3 : If in two triangles, if corresponding angles are equal, then their corresponding sides are in the same ratio i.e., they are proportional, and hence the two triangles are similar.

This criterion is referred to as the AAA (Angle-Angle-Angle) criterion of similarity of two triangles.

1. AAA Similarity

1. AAA Similarity

1. AAA Similarity

2. AA Similarity


If two angles of one triangle are respectively equal to two angles of another triangle, then the two triangles are similar 

2. AA SimilarityIf ∠A=∠C and ∠B=∠D then ABCDEF

Example: In theΔABC length of the sides are given as AP = 5 cm , PB = 10 cm and BC = 20 cm. Also PQ||BC. Find PQ.

2. AA Similarity

Solution: In ΔABC and ΔAPQ, ∠PAQ is common and ∠APQ = ∠ABC (corresponding angles)

⇒ ΔABC ~ ΔAPQ (AA criterion for similar triangles)

AP/AB = PQ/BC

⇒ 5/15 = PQ/20

⇒ PQ = 20/3 cm

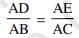
3.  SSS similarity

If in two triangles, sides of one triangle are proportional to (i.e., in the same ratio of ) the sides of the other triangle, then their corresponding angles are equal and hence the two triangles are similiar

This criterion is referred to as the SSS (Side-Side-Side) similarity criterion for two triangles.

3.  SSS similarity

3.  SSS similarity

3.  SSS similarity

3.  SSS similarity

3.  SSS similarity

Using Theorem: if a line divides two sides of a triangle in the same ratio, then the line is parallel to the third side. This theorem is often referred to as the Basic Proportionality Theorem or Thales' Theorem.

3.  SSS similarity

3.  SSS similarity

3.  SSS similarity

3.  SSS similarity

Example: Two triangles ABC and DEF are similar such that AB = 8cm, BC = 10cm, CA =y cm, DE = 6 cm, EF = x cm and FD = 9 cm . Find the Values of x and y?

Solution:  As ABCDEF  then  AB/DE=AC/DF=BC/EF

So now putting values 8/6=y/9=10/x

8/6=y/9   and 8/6=10/x

4/3=y/9 and 4/3=10/x

4*9=y*3 and 4*x=10*3 (Cross multiplying)

so y comes out to be =12

and x=7.5

3.  SSS similarity

4.    SAS Similarity


Theorem:  If one angle of a triangle is equal to one angle of the other triangle and the sides including these angles are proportional, then the two triangles are similar.

This criterion is referred to as the SAS (Side-Angle-Side) similarity criterion for two triangles.

If AB/ED=BC/EF and ∠B=∠E Then ABCDEF

 4.    SAS Similarity

4.    SAS Similarity

Example: Determine if the following triangles are similar. If so, write the similarity criteria

4.    SAS Similarity

Solution:

We can see that BF∠B=∠F and these are both included angles. We just have to check that the sides around the angles are proportional.

ABDFBCFE=128=32=2416=32BC/FE=24/16=3/2  and AB/DF=12/8=3/2

Since the ratios are the same ΔABCΔDFEΔABC∼ΔDFE by the SAS Similarity Theorem.

Summary

  • Similar Figures: Figures with the same shape, regardless of size, are termed similar figures.
  • Congruence vs. Similarity: While all congruent figures are similar, the reverse is not necessarily true.
  • Conditions for Similar Polygons: Two polygons with the same number of sides are similar if their corresponding angles are equal, and their corresponding sides are in proportion.
  • Parallel Lines and Triangle Side Division: Drawing a line parallel to one side of a triangle divides the other two sides in the same ratio.
  • Converse of Triangle Side Division: If a line divides any two sides of a triangle in the same ratio, it is parallel to the third side.
  • AAA Similarity Criterion: If corresponding angles in two triangles are equal, their corresponding sides are in the same ratio, and the triangles are similar.
  • AA Similarity Criterion: If two angles in one triangle are respectively equal to two angles in another triangle, the triangles are similar.
  • SSS Similarity Criterion: If corresponding sides in two triangles are in the same ratio, their corresponding angles are equal, leading to similarity.
  • SAS Similarity Criterion: If one angle of a triangle is equal to one angle of another triangle, and the sides including these angles are in proportion, the triangles are similar.

The document Chapter Notes: Similarity is a part of the Class 10 Course Class 10 Maharashtra SSC Board All Subjects.
All you need of Class 10 at this link: Class 10

FAQs on Chapter Notes: Similarity

1. What are similar figures, and how can we identify them?
Ans. Similar figures are shapes that have the same form but may differ in size. To identify similar figures, we look for corresponding angles that are equal and the lengths of corresponding sides that are in proportion. For example, if two triangles have angles of 30°, 60°, and 90°, and their sides are in the same ratio, they are considered similar.
2. What is the significance of similarity in triangles?
Ans. The significance of similarity in triangles lies in its applications in various fields such as geometry, architecture, and engineering. Similar triangles can be used to solve real-world problems where direct measurement is difficult. For instance, by using the properties of similar triangles, one can find heights of inaccessible objects or distances that are hard to measure directly.
3. What are the criteria for establishing the similarity of triangles?
Ans. There are three main criteria to establish the similarity of triangles: 1. Angle-Angle (AA) Criterion: If two angles of one triangle are equal to two angles of another triangle, then the triangles are similar. 2. Side-Angle-Side (SAS) Criterion: If the ratio of two sides of one triangle is equal to the ratio of two corresponding sides of another triangle, and the included angles are equal, the triangles are similar. 3. Side-Side-Side (SSS) Criterion: If the ratios of the lengths of all three corresponding sides of two triangles are equal, the triangles are similar.
4. How do the properties of similar triangles help in problem-solving?
Ans. The properties of similar triangles assist in problem-solving by allowing the use of proportional relationships between corresponding sides. This means that if you know certain measurements, you can find unknown lengths or heights through cross-multiplication and solving proportions. This is especially useful in fields such as navigation, surveying, and in resolving practical issues in construction.
5. Can you give an example of real-life applications of similar triangles?
Ans. A common real-life application of similar triangles is in determining the height of a tree or a building. If you stand a certain distance away from the object and measure the angle of elevation to the top, you can use the properties of similar triangles to calculate the height of the object using simple trigonometric ratios. Similarly, similar triangles are used in maps and models to represent real-world distances and sizes accurately.
Explore Courses for Class 10 exam
Get EduRev Notes directly in your Google search
Related Searches
MCQs, Important questions, Previous Year Questions with Solutions, ppt, shortcuts and tricks, Sample Paper, pdf , video lectures, Semester Notes, Summary, Objective type Questions, Chapter Notes: Similarity, study material, practice quizzes, past year papers, Viva Questions, Chapter Notes: Similarity, Chapter Notes: Similarity, Exam, mock tests for examination, Free, Extra Questions;