Q1. Find the ratio of 2.4 m to 150 cm.
(a) 4:5
(b) 8:5
(c) 5:8
(d) 12:15
Ans: (b) 8:5
Sol:
Convert both to the same unit.
2.4 m = 240 cm, and
150 cm = 150 cm.
Ratio = 240 : 150.
On simplifying (divide by 30),
the ratio becomes 8 : 5.
Q2. Simplify the ratio 42 : 70.
(a) 3:5
(b) 6:10
(c) 21:35
(d) 2:3
Ans: (a) 3:5
Sol: Find HCF of 42 and 70 = 14.
Divide both terms by 14:
42 ÷ 14 = 3,
70 ÷ 14 = 5.
Simplified ratio = 3 : 5.
Q3. Which ratio is larger: 7:12 or 9:16?
(a) 7:12
(b) 9:16
(c) Both are equal
(d) Cannot be compared
Ans: (a) 7:12
Sol: Compare 7/12 and 9/16 by cross-multiplying.
7 × 16 = 112, 12 × 9 = 108.
Since 112 > 108,
7/12 > 9/16.
So, 7:12 is larger.
Q4. If 12 : x = 9 : 15, find x.
(a) 18
(b) 20
(c) 12
(d) 10
Ans: (b) 20
Sol: Write as fractions: 12/x = 9/15.
Cross-multiply: 12 × 15 = 9 × x.
180 = 9x
→ x = 20.
Q5. The cost of 5 notebooks is ₹120. What is the cost of 8 notebooks?
(a) ₹160
(b) ₹180
(c) ₹192
(d) ₹200
Ans: (c) ₹192
Sol: Cost of 1 notebook = 120 ÷ 5 = ₹24.
Cost of 8 notebooks = 24 × 8 = ₹192.
Q6. Simplify the ratio
Ans:
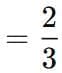
Q7. Divide ₹840 in the ratio 2 : 5.
Ans:
Sum of ratio terms = 2 + 5 = 7.
First share = (2/7) × 840 = ₹240.
Second share = (5/7) × 840 = ₹600.
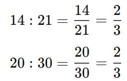
Q8. Are the ratios 14:21 and 20:30 equal?
Ans:
Hence both the ratios are equal
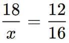
Q9. In a proportion, 18 : x :: 12 : 16. Find x.
Ans: A proportion means
18 x 16 = 12x
x = 288 / 12 = 24
Q10. 7 kg of rice costs ₹490. Find the cost of 3 kg of rice.
Ans:
Cost of 7kg = ₹490
Cost of 1 kg = 490 ÷ 7 = ₹70.
Cost of 3 kg = 70 × 3 = ₹210.
Q11. If 14 bags of rice weigh 112 kg, how many bags of rice will weigh 168 kg?
Ans:
First, find the weight of 1 bag using the unitary method:
Weight of 1 bag = 112 ÷ 14 = 8 kg
Now, find how many bags make 168 kg:
Number of bags = 168 ÷ 8 = 21
Q12. A ribbon 210 cm long is cut into two parts in the ratio 4 : 3. Find the length of each part.
Ans:
Step 1: Add the ratio parts
Ratio = 4 : 3
Sum of parts = 4 + 3 = 7Step 2: Find the value of 1 part
Total length = 210 cm
Length of 1 part = 210 ÷ 7 = 30 cmStep 3: Find the two parts
First part = 4 × 30 = 120 cm
Second part = 3 × 30 = 90 cm
Q13. A shop sells apples at a constant price. If 6 kg cost ₹270, find:
(i) the cost of 9 kg
(ii) how many kilograms can be bought for ₹200.
Ans: Step 1: Find the cost of 1 kg of apples
6 kg = ₹270
So,
1 kg = 270 ÷ 6 = ₹45(i) Cost of 9 kg
Cost of 1 kg = ₹45
Cost of 9 kg = 9 × 45 = ₹405
(ii) How many kilograms can be bought for ₹200
1 kg = ₹45
So,
Number of kilograms = 200 ÷ 45 = 4.44 kg
| 1. What is the difference between ratio and proportion? | ![]() |
| 2. How do you solve problems using the unitary method? | ![]() |
| 3. Can you give an example of a real-life application of ratio and proportion? | ![]() |
| 4. What are some common mistakes students make when working with ratios and proportions? | ![]() |
| 5. How can practicing ratio, proportion, and unitary method problems benefit students? | ![]() |