
Surds and Indices form a crucial part of the Quantitative Aptitude section in competitive exams. These concepts help simplify complex expressions involving powers, roots, and irrational numbers. Mastering the underlying rules allows you to solve problems involving exponents, equations, and simplifications with speed and accuracy.
Indices (or exponents) represent repeated multiplication of the same number. Understanding their rules helps simplify expressions quickly.
When the bases are the same:

A fractional index represents a root. Converting between roots and exponents makes it easier to handle radical expressions.


A surd is an irrational root of a rational number that cannot be simplified into a rational form.
Examples: √2, ³√7, √5, etc.

Surds are used to express non-terminating, non-repeating decimal values in an exact form.
The same arithmetic rules apply to surds, provided the radicands (numbers inside the roots) are positive.

Example: √3 × √12 = √36 = 6
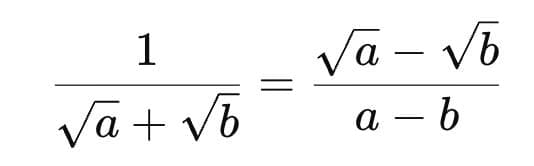
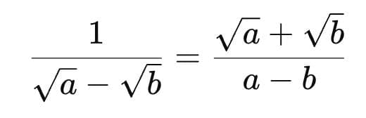
Rationalisation is the process of removing a surd from the denominator of a fraction. Multiply the numerator and denominator by the conjugate of the denominator.
Case 1:

Case 2:

Examples:
1 ÷ (√a + √b) = (√a - √b) ÷ (a - b)
1 ÷ (√a - √b) = (√a + √b) ÷ (a - b)
This helps convert irrational denominators into rational ones for simplification.
(a) Convert all exponential terms to a common base to simplify comparisons or equations.
(b) Factorise the number under a root to extract perfect squares and simplify the surd.
Example:
√72 = √(36 × 2) = 6√2
√50 = √(25 × 2) = 5√2
Therefore, √72 + √50 = (6 + 5)√2 = 11√2
These techniques help in reducing lengthy calculations in CAT questions.
Certain forms appear frequently and can be memorised for faster computation:
√(a²) = |a| (the result is always positive)
√(a²b²) = ab
√(a/b) = √a ÷ √b
If √a + √b = 0 ⇒ a = b = 0

EduRev Tip: Surds and Indices questions often test your ability to simplify expressions and compare powers efficiently. Focus on base conversions, rationalisation, and identifying patterns in powers and roots. Practice regularly to build speed and accuracy.
| 1. What are the laws of indices and how do they apply in simplifying expressions? | ![]() |
| 2. How do fractional and rational indices work in mathematical expressions? | ![]() |
| 3. What are surds and why are they important in mathematics? | ![]() |
| 4. How can I rationalize the denominator of a fraction involving surds? | ![]() |
| 5. What are some shortcut techniques for simplifying expressions involving surds and indices? | ![]() |