UGC NET Exam  >  UGC NET Notes  >  Crash Course Education  >  ANOVA, Correlation and Data Reduction

ANOVA, Correlation and Data Reduction

ANOVA

  • Prof. R. A. Fisher first used the term variance and developed a detailed theory of ANOVA.
  • He explained how ANOVA is useful for practical research applications.
  • ANOVA is a procedure to test whether different groups of data are homogeneous.
  • It partitions the total variation in a data set into two parts: variation due to chance and variation due to specific causes.
  • ANOVA splits variance into components for analytical purposes.
  • It analyses the variance of a response by assigning components to different sources of variation.
  • Using ANOVA, one can study any number of factors believed to affect the dependent variable.

Types of ANOVA

These are as follows:

One-Way ANOVA

  • One-way ANOVA tests differences among two or more independent groups.
  • It is typically applied when comparing three or more groups, because two-group cases can be handled by Student's t-test.
  • When only two means are compared, the t-test and the F-test are equivalent with F = t².
  • For example, a researcher might compare students' attitude towards school across school types: SSC, CBSE and ICSE.
  • Here the dependent variable is attitude towards the school and the groups are SSC, CBSE and ICSE schools.
  • One-way ANOVA tests whether students' attitudes differ among these three groups.
  • One-way repeated measures ANOVA is used when the same subjects receive repeated measurements.
  • That is, the same subjects are measured under each treatment.
  • This design can be affected by carry-over effects.
  • It is commonly used in experiments comparing three or more related measurements, for example pre-test and post-test scores.

Two-Way ANOVA

  • Two-way ANOVA studies the effects of two independent or treatment variables.
  • It is also called factorial ANOVA.
  • The most common factorial design is 2 × 2, meaning two independent variables each with two levels.
  • Two-way ANOVA can have higher levels such as 3 × 3 or higher-order designs like 2 × 2 × 2.
  • Manual calculations for many factors are lengthy, so higher-order analyses became common after data analysis software emerged.
  • For example, a researcher might compare students' attitude by school type (SSC, CBSE, ICSE) and gender.
  • Here the dependent variable is attitude towards the school and the independent variables are school type (three levels) and gender (two levels).
  • This would be a 3 × 2 two-way ANOVA, testing attitude differences by school type and gender.

MANOVA

  • When samples receive repeated measures, such as pre-test and post-test, a factorial mixed design can be used: Multivariate Analysis of Variance (MANOVA).
  • In MANOVA one factor may be a between-subjects variable and the other a within-subjects variable.
  • This is a type of mixed-effects model.
  • MANOVA is used when there is more than one dependent variable.

ANCOVA

  • When comparing two groups on a dependent variable, initial differences on another variable (for example SES or pre-test scores) should be removed.

Assumptions of Using ANOVA

  • Independence of cases.
  • Normality of the distribution in each group.
  • Equality or homogeneity of variances (homoscedasticity); group variances should be similar.
  • Levene's test is commonly used to check homogeneity of variances.
  • The Kolmogorov-Smirnov or Shapiro-Wilk tests may be used to test normality.
  • Lindman argues that the F-test is unreliable when distributions deviate from normality.
  • Ferguson and Takane claim the F-test is robust to such deviations.
  • The Kruskal-Wallis test is a non-parametric alternative that does not assume normality.

Chi-Square (Equal Probability and Normal Probability Hypothesis)

  • A chi-square test (also chi-squared or χ2 test) is any statistical test whose test statistic follows a chi-square distribution when the null hypothesis holds.
  • More generally, the test statistic's distribution can be made to approximate a chi-square distribution as sample size increases.
  • Chi-square tests are commonly used to compare observed data with expected frequencies under a specified hypothesis.
  • For example, if a researcher expects parents' attitudes towards sex education to follow a particular distribution, the chi-square test checks whether observed counts fit those expectations.
  • The null hypothesis states there is no significant difference between observed and expected results.
  • If expected frequencies are assumed equal across cells, the test is the equal distribution hypothesis.
  • If expected frequencies follow a normal distribution, it is the normal distribution hypothesis.
  • The chi-square (χ2) test measures agreement between two sets of frequency counts.
  • These must be categorical counts, not percentages or ratios.

Thus,

Chi-Square (Equal Probability and Normal Probability Hypothesis)

  • fo denotes observed frequency and fe denotes expected frequency.
  • Expected values may need scaling to match observed totals.
  • Total counts for observed and expected values should be equal.
  • In a contingency table, expected frequency can be estimated as fe = (row total × column total) / N.
  • Here N is the grand total of all cells.
  • The calculated chi-square is compared with table values to assess significance.

In a table, the degrees of freedom are computed as follows:

  • df = (R - 1) × (C - 1)
  • Where R = number of rows and C = number of columns.
  • Chi-square indicates whether a significant association exists between variables but does not measure the strength or importance of that association.
  • χ2 is the most used non-parametric test for comparing sample distributions with theoretical or established distributions.
  • It is useful when the population distribution cannot be assumed to be normal.
  • Advantages of chi-square tests include being distribution-free, easy to compute, and applicable when parametric tests are not suitable.
  • The χ2 test was first used by Karl Pearson in 1890.
  • Chi-square can also compare two or more actual samples.

Steps in the Calculation of χ

2

  • First compute expected frequencies (E) using the formula shown in the image below.

2

  • RT = row total for the row containing the cell.
  • CT = column total for the column containing the cell.
  • Compute O - E for each cell.
  • Divide (O - E)² by E for each cell and then sum across all cells.
  • χ2 ranges from zero to infinity; zero indicates perfect agreement between observed and expected counts.
  • Larger discrepancies between O and E produce larger χ2 values.

Basic Computational Equation

(Observed frequency - Expected frequency)²

Basic Computational Equation

Basic Computational Equation

Basic Computational Equation

  • Therefore, accept the null hypothesis.
  • When there is one degree of freedom, Yates' correction for continuity should be applied.
  • This correction subtracts 0.5 from the absolute value of each cell's numerator contribution before squaring.
  • The adjusted chi-square formula with Yates' correction is shown in the image below.

Basic Computational Equation

  • In χ2, the sum of (O - E) over all cells equals zero: ∑(O - E) = N - N = 0.
  • This provides a check on chi-square computations.
  • χ2 depends only on observed and expected frequencies and the degrees of freedom.
  • The χ2 distribution approximates the multinomial distribution and applies to discrete frequency counts.

Level of Significance

Level of Significance

  • The calculated χ2 is compared with the table value for a given degree of freedom at a chosen significance level.
  • Usually a 5% level of significance is selected.
  • If χ2 > table value, the difference between theory and observation is considered significant.
  • χ2 is a random variable that varies by sample and is always non-negative.
  • χ2 is a statistic derived from data, not a population parameter.

Above table represents a graph for degrees of freedom equal to 4 at different significance levels.

Uses of χ

2

 Test

  • χ2 test as a test of independence: it checks whether two or more attributes are associated.
  • To test association, the null hypothesis assumes no relationship between the attributes.
  • If χ2 is less than the table value at the chosen significance level, we do not reject the null hypothesis; the attributes appear unrelated.
  • If χ2 > table value, we reject the null hypothesis and infer the attributes are related.
  • χ2 test as a goodness-of-fit test: it shows how well a theoretical distribution fits observed data.
  • It compares an ideal frequency curve with observed facts to assess fit.
  • χ2 test as a test of homogeneity: it determines whether two or more independent samples come from the same population.

Example: If a fair coin is flipped 20 times, we expect 10 heads and 10 tails, though sampling error can produce variations such as 12 heads and 8 tails.

If the experiment yielded 12 heads and 8 tails, we enter expected (10, 10) and observed (12, 8) frequencies into a table.

 Test

  • With Yates' correction, subtract 0.5 from the absolute difference between observed and expected in each category before squaring.
  • Divide the squared result by the expected frequency and sum across categories to compute χ2.
  • How does a calculated χ2 of 0.450 inform us about the coin flip result 12 vs 8?
  • The chi-square sampling distribution shape depends on degrees of freedom.
  • For a one-way χ2 test, degrees of freedom equal r - 1, where r is the number of levels.
  • Here r = 2, so df = 1.
  • From tables, χ2 ≥ 3.84 is needed for significance at the 0.05 level with 1 df.
  • Our χ2 = 0.450 is less than 3.84, so the deviation could be due to sampling error and is not significant at the 0.05 level.

Different Levels of Significance

 Test

Correlation

  • Correlation is a statistical measure of the relationship between two variables.
  • It quantifies both the strength and direction of that relationship.
  • Each subject must have two measures to compute correlation.
  • If two quantities change together, they are said to be correlated.
  • The degree of correlation indicates how strongly the two variables are related.
  • This degree is summarised by the correlation coefficient.
  • Two independent variables are not correlated because they lack a meaningful relationship to interpret.
  • The correlation coefficient ranges from -1 to +1; -1 is perfect negative, +1 is perfect positive, and 0 means no correlation.
  • Correlation analysis can determine whether a relationship exists, its direction (positive or negative), and whether it is statistically significant.
  • Correlation analysis may also be used in attempts to establish cause-and-effect, though correlation alone does not prove causation.

Types of Correlation

There are different types of correlation, as follows:

Positive and Negative Correlation
  • Positive correlation occurs when both variables move in the same direction; for example, higher intelligence associated with higher adjustability.
  • This is denoted by a plus (+) sign.
  • Negative correlation occurs when the variables move in opposite directions; one increases while the other decreases.
  • This is denoted by a minus (-) sign.
  • A zero coefficient indicates no relationship between the variables.

Simple, Partial and Multiple Correlation

  • These distinctions depend on the number of variables studied.
  • Simple correlation involves two variables.
  • Partial correlation considers more than two variables but examines the relationship between two variables while holding others constant.
  • Multiple correlation studies the relationship among three or more variables simultaneously.

Linear and Non-Linear Correlation

  • Linear correlation means the variables vary in a constant ratio and the relationship remains at a constant rate.
Example

Linear and Non-Linear Correlation

  • If percentage changes in X and Y are not constant and fluctuate, the relationship is non-linear or curvilinear.
Example

Linear and Non-Linear Correlation

Methods of Studying Correlation

These are:

  • Scatter diagram
  • Correlation graph
  • Product-moment coefficient of correlation
  • Rank-difference correlation method
  • Coefficient of concurrent deviation
  • Method of least squares

Uses of Correlation

  • To evaluate reliability and validity of psychological tests and inventories.
  • In factor analysis techniques.
  • To make predictions.
  • In path analysis techniques.

Two Methods of Correlation

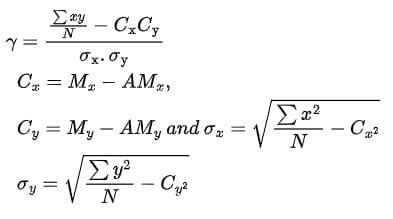
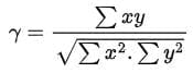
Product-Moment Method of Coefficient

  • Pearson's coefficient is commonly denoted by r.
  • It is used when the relationship between two variables is linear.
  • It applies when data for X and Y are at interval or ratio level and the distribution is linear.
  • The term product-moment refers to the mean of the product of mean-adjusted random variables.
  • It measures the strength and direction of the linear relationship and equals the sample covariance divided by the product of the standard deviations.

Product-Moment Method of Coefficient

A graph shows the minimum Pearson correlation that is significantly different from zero at the 0.05 level for given sample sizes.

  • There are two calculation methods for Pearson's coefficient:
  • Long method (actual mean method)
  • Short method (assumed mean method)

For the actual mean method:

Product-Moment Method of Coefficient

For Assumed Mean Method

Product-Moment Method of Coefficient

  • Care points:
  • If ∑xy is large relative to ∑x² and ∑y², the correlation will be high, and vice versa.
  • If ∑xy is negative, the correlation coefficient will be negative.
  • The degree of y indicates the degree of variation between the two series.

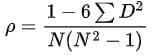
Rank-Order Coefficient of Correlation

  • Used when data are ranks rather than scores.
  • It applies when the relationship is not linear and product-moment methods are inappropriate.
  • In such cases, the rank-order method uses Spearman's rho (ρ) to measure association.

Rank-Order Coefficient of Correlation

  • Where D = difference in ranks for a pair and N = number of pairs.
  • ρ = coefficient of correlation by rank-order method.

Significance of Correlation Coefficient

  • From 0.00 to 0.20 denotes negligible relationship.
  • From 0.20 to 0.40 denotes slight correlation.
  • From 0.40 to 0.70 denotes substantial or marked relationship.
  • From 0.70 to 1.00 denotes high to very high relationship.

Z-Test

  • A Z-test is a type of hypothesis test that helps assess whether test results are likely to be true or repeatable.
  • A hypothesis test determines whether findings are probably true or probably not true.
  • A Z-test is used when data are approximately normally distributed.

When to Use a Z-Test

  • Use a Z-test when your sample size is greater than 30; otherwise use a t-test.
  • Data points should be independent of each other.
  • Data should be normally distributed, though large samples reduce this concern.
  • Samples should be randomly drawn so each item has equal selection chance.
  • Prefer equal sample sizes where possible.

One-Sample Z-Test Example

  • An investor tests whether a stock's average daily return exceeds 1%.
  • A random sample of 50 returns has a mean of 2% and an assumed population standard deviation of 2.50%.
  • The null hypothesis states the mean equals 1% and the alternative states the mean is greater than 1%.
  • Assume α = 0.05 with a two-tailed test, so critical z values are ±1.96.
  • Z is computed as (observed mean - test mean) divided by (standard deviation / √n).
  • Here z = (0.02 - 0.01) / (0.025 / √50) ≈ 2.83.
  • Since 2.83 > 1.96, the investor rejects the null hypothesis and concludes the mean return is greater than 1%.

Qualitative Data Analysis

  • Qualitative data are verbal or symbolic materials describing behaviours, people, situations and events.
  • Analyzing qualitative data means studying organised material to discover underlying facts.
  • Researchers examine the data from many angles to explore new facts or reinterpret known ones.

The types of qualitative data analysis are:

Data Reduction

  • Data reduction involves selecting, focusing, simplifying, abstracting and transforming data from field notes or transcriptions.
  • Raw data must be organised and meaningfully condensed to become manageable.
  • Reduction transforms data to make them intelligible for the research questions.
  • Researchers use the principle of selectivity to choose which data to describe.
  • Data reduction typically combines deductive and inductive analysis.
  • Coding is done by discussion topics, observation checklists or semi-structured interview guides.

Classification

  • Classification groups items by shared attributes to create categories or typologies.
  • Historically, science emphasised classification systems; examples include botanical classifications and the periodic table.
  • Analysts look for recurring patterns in categorized data and form classification systems accordingly.
  • Categories are judged by internal homogeneity and external heterogeneity.
  • A large number of unassignable or overlapping items suggests faults in the category system.
  • Analysts iteratively refine categories by checking data placement and category meaningfulness.
  • Priorities among classification schemes are set by salience, credibility, uniqueness, feasibility and materiality.
  • Completeness is tested by internal and external checks to ensure categories are consistent and form a coherent whole.
  • Category building involves both technical and creative work; no infallible procedure exists.
  • In summary: identify and develop categories, judge them for homogeneity and heterogeneity, assign data, recheck and prioritise categories, test for completeness, and label categories clearly.

Analytical Induction

  • Analytical induction builds explanations by creating and testing causal links within cases and extending these to other cases.
  • It is a research logic used to collect data, develop analysis and structure research findings.
  • Its goal is causal explanation and it originated from symbolic interaction theory.
  • It searches for broad categories and then develops sub-categories; definitions are refined as analysis progresses.
  • If similarities are not found, data or definitions are re-evaluated or categories narrowed.
  • Definitions are treated as hypotheses to be tested and revised using inductive reasoning.
  • Katz defined analytic induction as a logic to collect data, develop analysis and present findings.
  • AI calls for progressive redefinition of the phenomenon and explanatory factors to maintain a universal relationship.
  • Initial cases suggest provisional explanations which are revised as contradictory cases appear.
  • Cressey outlined analytical induction steps as:
  • Define the phenomenon tentatively.
  • Develop a hypothesis about it.
  • Examine a single instance to test the hypothesis.
  • If the hypothesis fails, redefine the phenomenon or revise the hypothesis to include the instance examined.
  • Examine additional cases; if the hypothesis continues to hold, confidence increases.
  • Each negative case requires reformulation until no exceptions remain.

Constant Comparison

  • Constant comparison analyses qualitative data to develop theory and is central to grounded theory methods.
  • It involves comparing newly coded passages with previously coded passages to ensure consistent coding.
  • This helps to identify passages that may be better coded differently or that reveal new dimensions.
  • Comparisons can extend across cases or even to external examples to refine codes.
  • New data are constantly compared with existing data to refine theoretical categories and guide the research.

Strauss and Corbin (1990) recommend these components for constant comparison:

  • Word repetitions - look for frequently used words and repeats that indicate emotions.
  • Indigenous categories - use terms respondents use with special meaning (in vivo codes).
  • Key words in context - examine the range of a term's uses in phrases and sentences.
  • Compare and contrast - ask what a passage is about and how it differs from adjacent statements.
  • Social science queries - introduce explanations to account for conditions, actions and consequences.
  • Searching for missing information - look for expected but absent phenomena.
  • Metaphors and analogies - metaphors may reveal central beliefs and feelings.
  • Transitions - note discursive elements like turn-taking and narrative structures.
  • Paging - mark and scan text using highlights and marginal lines to identify patterns.
  • Cutting and sorting - collect all similarly coded transcript excerpts together to review and analyse them as a set.

Triangulation

  • Triangulation uses more than one method to collect data on the same topic.
  • It validates data by cross-verification from multiple sources.
  • Triangulation tests consistency across instruments and helps assess multiple causes influencing results.
  • It deepens and broadens understanding rather than only providing validation.
  • Triangulation is used in both qualitative and quantitative research.

The term originated in surveying and navigation and was adopted in social science as a metaphor for multiple operationalisation.

  • Campbell and Fiske first applied the term triangulation to research to describe multiple data collection strategies measuring a single concept (data triangulation).
  • The purpose of triangulation is to relate different kinds of data to enhance validity and understanding.

Types of Triangulation

They include:

  • Data triangulation (time, space and person)
  • Method triangulation (design and data collection)
  • Investigator triangulation
  • Theory triangulation
  • Multiple triangulation, which combines two or more triangulation techniques
Data Triangulation
  • Denzin (1989) described three types of data triangulation:
  • Time triangulation - collecting data about a phenomenon at different times; note this differs from longitudinal studies meant to document change.
  • Space triangulation - collecting data at more than one site to distinguish time- or space-specific characteristics.
  • Person triangulation - collecting data from multiple levels of persons (individuals, groups or collectives); Denzin describes aggregate, interactive and collective levels.

Smith lists seven levels of person triangulation:

  • (i) Individual level
  • (ii) Group analysis - interaction patterns among individuals and groups
  • (iii) Organisational units of analysis - units that have qualities beyond the individuals
  • (iv) Institutional analysis - relationships across legal, political, economic and familial institutions
  • (v) Ecological analysis - spatial explanations
  • (vi) Cultural analysis - norms, values, practices and ideologies of a culture
  • (vii) Societal analysis - broad factors like urbanisation, industrialisation, education and wealth
Methods Triangulation
  • Methods triangulation can occur at the design level or the data collection level.
  • Design-level triangulation (between-method) combines quantitative and qualitative methods in the study design, either simultaneously or sequentially.
  • Data-collection triangulation (within-method) uses two different techniques within the same research tradition to gain a fuller understanding of the phenomenon.
  • Method triangulation can be time-consuming and expensive but often yields richer insights.
Investigator Triangulation
  • Investigator triangulation involves multiple researchers with diverse backgrounds collaborating on the same study.
  • Each investigator should have a distinct, complementary role.
Theory Triangulation
  • Theory triangulation uses different theoretical perspectives to interpret the same data.
  • This strategy enhances research quality and helps reveal multiple theoretical explanations.
  • Researchers cycle between data generation and analysis to test emerging theories until conclusions are reached.
Multiple Triangulation
  • Denzin recommends combining multiple methods, data sources and investigators to identify and validate issues.
  • Multiple methods reveal different aspects of reality and together increase trustworthiness and comprehensiveness.
  • Guba argues triangulation enhances credibility, dependability and confirmability in qualitative research.
The document ANOVA, Correlation and Data Reduction is a part of the UGC NET Course Crash Course for UGC NET Education.
All you need of UGC NET at this link: UGC NET

FAQs on ANOVA, Correlation and Data Reduction

1. What is the main purpose of conducting ANOVA in statistical analysis?
Ans. ANOVA, or Analysis of Variance, is primarily used to determine if there are statistically significant differences between the means of three or more independent groups. By comparing the variance within groups to the variance between groups, ANOVA helps in understanding if the observed variations are due to actual differences between the groups or if they occurred by chance.
2. What are the key differences between One Way ANOVA and Two Way ANOVA?
Ans. One Way ANOVA is used when comparing the means of three or more groups based on one independent variable, while Two Way ANOVA allows for the analysis of the means based on two independent variables. In Two Way ANOVA, it is also possible to examine the interaction effects between the two independent variables, providing a more comprehensive understanding of the data.
3. How is the level of significance determined in hypothesis testing, especially in the context of ANOVA?
Ans. The level of significance, often denoted as alpha (α), is a threshold set by the researcher before conducting the test. It typically reflects the probability of rejecting the null hypothesis when it is actually true. Common values for α are 0.05 or 0.01. In ANOVA, if the p-value obtained from the test is less than the chosen α, the null hypothesis is rejected, indicating that there are significant differences among the group means.
4. What are the different types of correlation, and how do they differ?
Ans. There are three primary types of correlation: simple correlation, partial correlation, and multiple correlation. Simple correlation measures the relationship between two variables. Partial correlation assesses the relationship between two variables while controlling for the effect of one or more additional variables. Multiple correlation examines the relationship between one dependent variable and two or more independent variables, providing a comprehensive analysis of the associations.
5. What is the significance of the Chi-Square test in statistical analysis, and how does it relate to ANOVA?
Ans. The Chi-Square test is a statistical method used to determine whether there is a significant association between categorical variables. In the context of ANOVA, while ANOVA is used for comparing means of continuous variables across groups, Chi-Square tests focus on categorical data. Both methods are essential in hypothesis testing but cater to different types of data and research questions.
Explore Courses for UGC NET exam
Get EduRev Notes directly in your Google search
Related Searches
Exam, pdf , video lectures, ANOVA, Sample Paper, Free, Objective type Questions, past year papers, Correlation and Data Reduction, ANOVA, practice quizzes, Semester Notes, Correlation and Data Reduction, ppt, MCQs, Correlation and Data Reduction, study material, shortcuts and tricks, Summary, Extra Questions, Viva Questions, Important questions, ANOVA, mock tests for examination, Previous Year Questions with Solutions;