SSC CGL Exam  >  SSC CGL Notes  >   Tier 2 - Study Material, Online Tests, Previous Year  >  Practice Questions: Profit, Loss & Discount

Practice Questions: Profit, Loss & Discount

Q1: Saleem has 40 articles of same cost price. He sold 24 articles at a profit of 30% and 16 articles at a profit of 20%. Had he sold all the articles at a profit of 15%, then his profit would have been reduced by Rs. 880. What is the cost price (in Rs.) of each article?
A: 120
B: 200
C: 150
D: 160
E: 225
Ans: B
Profit on all the articles = (24 × 30 + 16 × 20)/40 = 26%
(26 - 15)% of total CP of 40 articles = 880
Total CP of 40 articles = Rs. 8000
C.P. of one article = 8000/40 = Rs. 200
Hence, Option B is correct.
Q2: Sohan bought an old Honda Bike and spent Rs. 1500 on its repairs. Then Sohan sold it to Rakesh at a profit of 20%. Rakesh sold it to Raj at a loss of 10%. Raj finally sold it for Rs. 12100 at a profit of 10%. How much did Sohan pay for the old Honda Bike?
A: Rs. 10185
B: Rs. 10800
C: Rs. 8685
D: Rs. 8600
E: None of these
Ans: C
Cost price of Honda Bike for Raj = 12100/1.1 = 11000
Since selling price of Honda Bike by Rakesh = Rs. 11000
Cost price of Honda Bike for Rakesh = 11000/0.9 = Rs. 12222.22
Cost Price of Honda Bike for Sohan = 12222.22/1.2 = Rs. 10185.2
Purchase price for Sohan = 10185.2 - 1500 = Rs. 8685
Therefore option (C) is correct.
Q3: Sourav Ganguly wants to buy a total of 100 sports equipment using exactly a sum of Rs.1000. He can buy ball at Rs.20 per unit, wicket at Rs.5 per unit and bat at Rs.1 per unit. If he has to buy at least one of each equipment and cannot buy any other type of equipment, then in how many distinct ways can he make his purchase?
A: 5
B: 2
C: 3
D: 6
E: 1
Ans: C
Let the number of ball, wickets and bats purchased be A, B and C, respectively.
20A + 5B + C = 1000 and A + B + C = 100
19A + 4B = 900
⇒ B = 225 - (19/4)A

Now, as B is the number of wickets and 0 < B < 99,
So, putting these limiting values of B in the above equation will provide the value of A as 27 < A < 47.
Since A has to be the multiple of 4, so possible values of A are 28, 32, 36, 40 and 44.
Now, for A = 28 and 32; A + B > 100, so these values of A can be rejected.
For all other values of A, we get the desired solution:
A = 36, B = 54, C = 10
A = 40, B = 35, C = 25
A = 44, B = 16, C = 40
Thus, there are three possible solutions.

Hence, option (C) is correct.

Q4: In St. Peter's college Agra an exhibition was organised, hand-made crafts are displayed for sale. Some students are assigned the work of selling crafts. The overall profit p depends on the number of students x selling the crafts on that particular day and is given by the equation p = 250x - 5x2. The school manager claims to have made a maximum profit. Find the number of students engaged in selling the crafts and the maximum profit made.
A: 25 and Rs. 1800
B: 25 and Rs. 2900
C: 25 and Rs. 3125
D: 30 and Rs. 3900
E: None of these

 Ans: C
For profit to be maximum, the derivative of p with reference to x must be 0 and hence
d(250x - 5x2)/dx = 0 = 250 - 10x = 0
So x = 25
Now p for x = 25 is
= 250 (25) - 5 (25)2 = Rs3125
Hence, option (C) is correct.
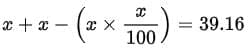
Q5: The marked price of an article is Rs. 3,000. If two successive discounts, each of x%, on the marked price is equal to a single discount of Rs. 1,174.80, then what will be the selling price of the article if a single discount of x% is given on the marked price?
A: Rs. 1700
B: Rs. 2340
C: Rs. 2360
D: Rs. 2400
E: Rs. 2450
Ans: B

Discount = Practice Questions: Profit, Loss & Discount

Practice Questions: Profit, Loss & Discount

x = 22
So the answer Practice Questions: Profit, Loss & Discount

Hence, Option B is correct.

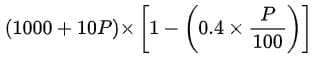
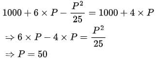
Q 6: Manu bought a Jacket from Sarojini market at Rs.1000 and marked up its price by P%. He then gave a discount of (0.4 × P)% and still got a profit percentage of (0.4 × P)%. What is the amount of discount?
A: Rs. 100
B: Rs. 200
C: Rs. 250
D: Rs. 300
E: None of these
Ans: D

After a markup of P%, the marked price becomes Rs. (1000 + 10P)

After a discount of (0.4 × P)%, the selling price becomes

Practice Questions: Profit, Loss & DiscountPractice Questions: Profit, Loss & Discount

Given that the final profit = (0.4 × P)%

⇒ Selling Price 

Practice Questions: Profit, Loss & Discount

= 1000 + 4P .....(ii)

as equation (i) is equatl to (ii):

Practice Questions: Profit, Loss & Discount

Discount = Marked price - Selling price = (1000 + 10P) - (1000 + 4P) = 6P = 6 × 50 = 300

Hence, amount of discount = Rs. 300.

Therefore, option (D) is correct.

Q7: The cost prices of three sports items, Jacket, Socks and Shoes, are in the ratio 2 : 3 : 4 respectively. If these three items are sold such that a profit of 20% is registered on Jacket, a profit of 25% is registered on Socks and a loss of 10% is incurred on Shoes, then which of the following gives the overall percentage of profit/loss made in the three transactions put together?
A: 8.33% Profit
B: 10.33% loss
C: 11.25% Profit
D: 15.40% Profit
E: None of these

 Ans: Option A
Let the cost price be Rs. 200, Rs. 300 and Rs. 400
Practice Questions: Profit, Loss & DiscountOverall profit % Practice Questions: Profit, Loss & Discount
Hence, option (A) is correct.

Q8: Pranav went to the market and bought apricot, bananas and guava. He purchased at least 25 fruits of each variety and calculated that if the cost of each guava was Re.1 more, and the cost of each banana was Rs.4 more, than his total expenditure on the fruits would have gone up by Rs.136. If he bought a total of 80 fruits, find the number of bananas he purchased.
A: 27
B: 30
C: 25
D: 28
E: None of these

 Ans: Option A
Let the number of apricot, bananas and guava bought be a, b and g respectively.
a + b + g = 80
a ≥ 25, b ≥ 25, g ≥ 25
Increase in expenditure = g × 1 + b × 4 = 136
⇒ g + 4b = 136
Since a, b, g are integers between 25 and 30 (because total = 80 and each ≥ 25),
the only possible value of g that is a multiple of 4 in this range is g = 28.
Then b = (136 - 28)/4 = 27
a = 80 - 28 - 27 = 25
Hence, number of bananas purchased = 27
Hence option A is correct.

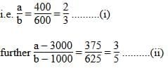
Q9: Aman and Bhanu ran a business after investing some money together. At the end of the first year, out of a total profit of Rs.1000, Aman gets Rs.400, which is Rs.25 more than what he would have got if he had invested Rs.3000 less and Bhanu had invested Rs. 1000 less. Find Bhanu's share of the profit, if Aman had invested Rs.3000 more and Bhanu had invested Rs.3000 less. (Assume the same profit in all cases)
A: 250
B: 350
C: 550
D: 600
E: None of these

Ans: Option C
Let the actual capitals of Aman and Bhanu be in the ratio a : b .

Practice Questions: Profit, Loss & Discount

Solving (1) and (2)
a = 24000 where b = 36,000
If Aman had invested 3000 more and Bhanu had invest 3000 less,
then a : b = (24000 + 3000) : (36000 - 3000) = 9 : 11
Practice Questions: Profit, Loss & Discount
Hence option C is correct.

Q10: Ram went to a shop to buy some Cosco and Plastic balls. Cosco balls cost Rs 300 each while Plastic balls cost Rs.400 each. Ram spent a total of Rs.3600 on the balls. If he had bought as many Plastic balls as the number of Cosco balls he actually bought and vice versa, he would have saved an amount equal to half the cost of one ball of one of the two types. Find the total number of balls he actually bought.
A: 15
B: 25
C: 20
D: 10
E: 12

 Ans: Option D
The cost and the number (actual and 'if) of balls are tabulated below.
Practice Questions: Profit, Loss & Discount
Given 3x + 4y = 36 ...... (1)
And (3x + 4y) - (4x + 3y) = (y - x) = 1.5 or  2
If  y - x = 1.5  we don't get integral value of x , y
∴  y - x = 2 ...... (2)
Solving (1) and (2) we get x = 4 , y = 6
∴ x + y = 10
Hence option D is correct.

Q11: A shopkeeper marked a product, 20% above the cost price and sold the product for Rs. 3888 by giving two successive discounts of 10% each. Find the cost price of the product and the loss percentage of the shopkeeper.
A: 4200, 7.4%
B: 4000, 2.8%
C: 4100, 5.1%
D: 4050, 4%
E: None of these

Ans: option B
Selling price of the product = Rs. 3888
Overall discount percentage
Practice Questions: Profit, Loss & DiscountMarked price of the product
3888/0.81 = Rs.  4800
Cost price of the article (marked 20% above CP)
4800/1.2 = Rs.  4000
Reqd. loss %
Practice Questions: Profit, Loss & DiscountHence, option B is correct.

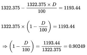
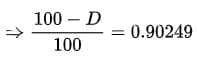
Q12: The marked price of a John Players Denim is Rs. 1490. On the occasion of Rakshabandhan, the showroom offered two successive discounts of 11.25% and D% respectively. If an individual purchased the Denim for Rs. 1193.44, then find the value of 'D'?
A: 9.75
B: 8.75
C: 5.5
D: 10.75
E: 11.25

Ans: option A

Marked price = 1490

1st discount = 11.25%

Price after 1st discount

Practice Questions: Profit, Loss & Discount2nd discount = D%

Price after 2nd discount

Practice Questions: Profit, Loss & Discount
Practice Questions: Profit, Loss & Discount

 D  = 9.75%

Hence, option A is correct.

Q13: The C.P of a Denim is 10% more than C.P of a T-shirt. The shopkeeper marked up Denim at 20% above the C.P and T-shirt at 30% above the C.P. Find the sum of marked price of 4 Denims and 5 T-shirts, if shopkeeper allowed discount of 20% on T-shirt and 25% on Denim and the difference between selling prices of both is Rs. 50.
A: Rs. 11680
B: Rs. 10780
C: Rs. 12680
D: Rs. 11780
E: Rs. 13680

Ans: option D
Let cost price of T-shirt = Rs. 100x
Cost price of Denim = Rs. 110x
Marked price of DenimPractice Questions: Profit, Loss & DiscountMarked price of T-shirt
Practice Questions: Profit, Loss & DiscountSelling price of Denim 
Practice Questions: Profit, Loss & DiscountSelling price of T-shirt 
Practice Questions: Profit, Loss & DiscountAccording to the question,
104x - 99x = 50
5x = 50
x = 10
Marked price of 4 Denims and 5 T-shirts
= Rs. [(132 x 10) x 4 + (130 + 10) x 5] = Rs. 11780 
Hence, option D is correct.

Q14: A vehicle dealer bought 5 second hand tractors for Rs. 2,00,000. He spent Rs. 2,00,000 additional on the maintenance and repairing of these 5 tractors. He sold one of the tractors for Rs. 1,50,000. What should be the average selling price of rest of the four tractors, if he makes 40% profit on the whole transaction?
A: Rs. 1,20,000
B: Rs. 1,00,000
C: Rs. 1,02,500
D: Rs. 1,25,000
E: Rs. 1,50,000

Ans: option C
Initial cost price of 5 tractors = Rs. 2,00,000
Maintenance and repairing cost of the 5 tractors = Rs. 2,00,000
Final cost price of 5 tractors = 2,00,000 + 2,00,000 = Rs. 4,00,000
Profit to be made on the whole transaction = 40%
Total selling price of the 5 tractors
= 4,00,000 + 40% of 4,00,000 = 4,00,000 + 1,60,000 = Rs. 5,60,000
Selling price of 1 tractor = Rs. 1,50,000
Let the average selling price of the remaining 4 tractors be  y .
Thus,
4y + 1,50,000 = 5,60,000
Practice Questions: Profit, Loss & DiscountHence, option C is correct.

Q15: Two denims of Levi's and Mufti, having same marked price have been sold at 15% and 12% discounts, respectively. The cost price of Mufti was Rs. 160 less than the cost price of Levi's. The profit earned on Levi's and Mufti was 6.25% and 20% respectively. Find the marked price of each denim.
A: Rs. 2400
B: Rs. 4000
C: Rs. 4200
D: Rs. 2040
E: Rs. 2080

Ans: option A

Let the marked price of each denim be Rs. x .

Then, the S.P. of Levi's denim = 85% of x = Rs. 17x / 20
And, the S.P. of Mufti denim = 88% of x = Rs. 22x / 25

Practice Questions: Profit, Loss & Discount

According to question,

Practice Questions: Profit, Loss & Discount

∴ Marked price of each denim = Rs. 2400

Hence, option A is correct.

The document Practice Questions: Profit, Loss & Discount is a part of the SSC CGL Course SSC CGL Tier 2 - Study Material, Online Tests, Previous Year.
All you need of SSC CGL at this link: SSC CGL

FAQs on Practice Questions: Profit, Loss & Discount

1. What is profit in the context of commerce?
Ans. Profit is the financial gain obtained when the income generated from sales exceeds the total costs incurred in producing or purchasing goods and services. It is a key indicator of a business's financial health.
2. How is loss defined in business transactions?
Ans. Loss occurs when the total costs of producing or purchasing goods and services exceed the revenue generated from sales. It indicates that a business is not operating profitably and can lead to financial difficulties if not addressed.
3. What is the formula to calculate profit percentage?
Ans. The profit percentage is calculated using the formula: Profit Percentage = (Profit / Cost Price) × 100. This measure helps assess the efficiency of a business in generating profit relative to its costs.
4. How do discounts affect selling price?
Ans. A discount reduces the original selling price of a product. The discounted selling price can be calculated as: Selling Price = Marked Price - Discount. This practice is often used to attract customers and increase sales volume.
5. What role do profit and loss statements play in business?
Ans. Profit and loss statements, also known as income statements, provide a summary of a company's revenues, costs, and expenses over a specific period. They are essential for assessing financial performance, making informed business decisions, and identifying areas for improvement.
Explore Courses for SSC CGL exam
Get EduRev Notes directly in your Google search
Related Searches
Sample Paper, Viva Questions, Loss & Discount, Practice Questions: Profit, Extra Questions, Loss & Discount, practice quizzes, past year papers, Previous Year Questions with Solutions, Loss & Discount, pdf , Objective type Questions, shortcuts and tricks, study material, Semester Notes, Practice Questions: Profit, Summary, video lectures, ppt, MCQs, mock tests for examination, Important questions, Practice Questions: Profit, Exam, Free;