Q1: Directions: In the following questions, A statement of Assertion (A) is followed by a statement of Reason (R). Mark the correct choice as.
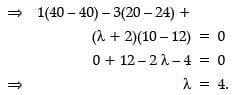
Assertion (A): If the matrix
is singular, then λ = 4.
Reason (R): If A is a singular matrix, then |A|= 0.
(a) Both A and R are true and R is the correct explanation of A
(b) Both A and R are true but R is NOT the correct explanation of A
(c) A is true but R is false
(d) A is false and R is True
Ans: a
Sol: A matrix is said to be singular if |A| = 0
Hence R is true.


Hence A is true.
R is the correct explanation for A.
Q2: Directions: In the following questions, A statement of Assertion (A) is followed by a statement of Reason (R). Mark the correct choice as.
Let A be a 2 × 2 matrix.
Assertion (A): adj (adj A) = A
Reason (R): |adj A|=|A|
(a) Both A and R are true and R is the correct explanation of A
(b) Both A and R are true but R is NOT the correct explanation of A
(c) A is true but R is false
(d) A is false and R is True
Ans: b
Sol: adj (adj A) = |A|n - 2 A
Here n = 2 ⇒ adj (adj A) = A
Hence A is true.
|adj A| = |A|n - 1 n = 2
⇒ |adj A|=|A|
Hence R is true.
R is not the correct explanation for A.
Q3: Directions: In the following questions, A statement of Assertion (A) is followed by a statement of Reason (R). Mark the correct choice as.
Assertion (A): If every element of a third order determinant of value D is multiplied by 5, then the value of the new determinant is 125D.
Reason (R): If k is a scalar and A is an n × n matrix, then |kA|= kn |A|
(a) Both A and R are true and R is the correct explanation of A
(b) Both A and R are true but R is NOT the correct explanation of A
(c) A is true but R is false
(d) A is false and R is True
Ans: a
Sol: If k is a scalar and A is an n × n matrix, then |kA| = kn|A|.
This is a property of the determinant. Hence R is true.
Using this property, |5?| = 53 ? = 125?
Hence A is true.
R is the correct explanation of A.
Q4: Directions: In the following questions, A statement of Assertion (A) is followed by a statement of Reason (R). Mark the correct choice as.
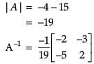
Assertion (A): If
and A-1 = kA, then k = 1/9
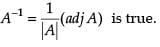
Reason (R): 
(a) Both A and R are true and R is the correct explanation of A
(b) Both A and R are true but R is NOT the correct explanation of A
(c) A is true but R is false
(d) A is false and R is True
Ans: d
Sol: 

Q5: Directions: In the following questions, A statement of Assertion (A) is followed by a statement of Reason (R). Mark the correct choice as.
Assertion (A): If
then 
Reason (R): The inverse of an invertible diagonal matrix is a diagonal matrix.
(a) Both A and R are true and R is the correct explanation of A
(b) Both A and R are true but R is NOT the correct explanation of A
(c) A is true but R is false
(d) A is false and R is True
Ans: a
Sol: 

Q6: Directions: In the following questions, A statement of Assertion (A) is followed by a statement of Reason (R). Mark the correct choice as.
Given

Assertion (A): 2A-1 = 9I - A
Reason (R): 
(a) Both A and R are true and R is the correct explanation of A
(b) Both A and R are true but R is NOT the correct explanation of A
(c) A is true but R is false
(d) A is false and R is True
Ans: a
Sol: 
Hence R is true


∴ 2A-1 =9I - A is true.
R is the correct explanation for A.