Q1: If p : q = r : s, implies q : p = s : r, then the process is called.
(a) Componendo
(b) Invertendo
(c) Alternendo
(d) Dividendo
Ans: (b)
Sol:
We know,
p : q = r : s implies q : s : r, is the process of Invertendo.
Q2: 3x - 2/5x + 6 is the duplicate ratio of 2/3 , then find the value of x.
(a) 6
(b) 2
(c) 5
(d) 9
Ans: (a)
Sol:
Given, 3x - 2/5x + 6 is the duplicate ratio of 2/3
We know that, a2 : b2 is the duplicate ratio of a : b.
⇒ The duplicate ratio of![]()
According to the given problem, we have
On cross multiplication, we get
9(3x – 2) = 4(5x + 6)
⇒ 27x – 18 = 20x + 24
⇒ 27x – 20x = 24 + 18
⇒ 7x = 42
⇒ x = 6
Therefore, the value of x is 6.
Hence, the correct option is (a).
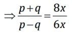
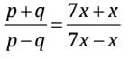
Q3: What is the value of P + q/p - q if p/q = 7?
(a) 2/3
(b) 4/3
(c) 2/6
(d) 7/8
Ans: (b)
Sol:
Given, p/q = 7
p/q = 7/1
Let p = 7x and q = x, then
Q4: If x : y = 7 : 8, then for 6x + 5y : 4x + 3y = ?
(a) 11 : 7
(b) 30 : 12
(c) 35 : 24
(d) 41 : 26
Ans: (d)
Sol:
Given, x : y = 7 : 8
Let x = 7a and y = 8a, then 6x + 5y/4x + 3y= 82a/52a
= 41/26
= 41 : 26
Q5: If x : y = 4 : 6 and 2 : x = 1 : 2, then y = ?
(a) 4
(b) 6
(c) 1/2
(d) 3/2
Ans: (b)
Sol:
Given, 2 : x = 1 : 2
⇒ 2/x = 1/2
⇒ x = 4
Also, x : y = 4 : 6
=x/y = 4/6
⇒ = 4/y = 4/6
⇒ y = 6
Q6: If x : y = 2 : 3, then (5x + 2y) : (3x - y)
(a) 19 : 3
(b) 16 : 3
(c) 7 : 2
(d) 7 : 3
Ans: (b)
Sol:
Given, x : y = 2 : 3
Let x = 2a and y = 3a, then
(5x + 2y) : (3x – y)
= 5(2a) + 2(3a)/3(2a) - 3a
= 10a + 6a /6a - 3a
= 16 : 3
Sol:
Given, A : B = 2 : 5
Let A = 2x and B = 5x
Thus, (10A + 3B) : (5A + 2B)
= 10A + 3B/5A + 2B= 7 : 4
Sol:
Given that, Salaries of A, B, C are in the ratio 2 : 3 : 5.
Let A = 2K, B = 3K and C = 5K
After the increment of 15%, 10% and 20% then
A's new salary = 2K + 15% of 2K = 115/110 of 2K =B's new salary = 110/100 of 3K == 6K
C's new salary = 120/100 of 5K == 6K
New Ratio == 23 : 33 : 60
Sol:
Given, Ratio of 25 paise, 10 paise and 5 paise coins = 3 : 2 : 1
Total value = ₹40
Let the number of 25 paise coins, 10 paise coins and 5 coins be 3x, 2x and x respectively.
Then, the value = 0.25 × 3x + 0.10 × 2x + 0.05 × x
⇒ 0.75x + 0.20x + 0.05x = 40
⇒ x = 40
Therefore, the number of 5 paise coins = x = 4
Ans: (a)
Sol:
Let the number of 1 rupee coins = x, then
Number of 50 paise coins = 4x
Number of 25 paise coins = 2x
Since, total amount = ₹56
Thus, 1 × x + 0.50 × 4x + 0.25 × 2x = 56
⇒ x + 2x + 0.5x = 56
⇒ 3.5x = 56
⇒ x = 16
Therefore, the number of 50 paise coins = 4x 4(16) = 64.
Sol:
We know,
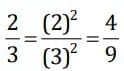
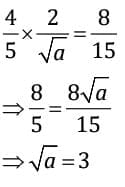
Sub-duplicate of 4 : a is √4 : √a = 2 : √a
Since, ratio compounded of 4 : 5 and sub-duplicate of 4 : a = 8 : 15 ie.
⇒ a = 32
⇒ a = 9
Sol:
Let the income of A and B be 5x and 4x respectively.
We know, Expenditure = Income – Savings
According to question, we have
⇒ 2(5x - 1600) = 3(4x - 1665)
⇒ 10x - 3200 = 12x - 4800
⇒ 12x - 10x = 4800 - 3200
⇒ 2x = 1600
⇒ x = 800Therefore, the income of A will be 5(800) = ₹4000
Sol:
Let b be the mean proportional between 8 and 32.
Then, b2 = 8 × 32
⇒ b = 16
Sol:
Let the third proportional be c, then 49 : 21 = 21 : x
⇒ 49/21 = 21/x
⇒ (21)2 = 49x
⇒ x = (21)2/49 ⇒ x = 9
Sol:
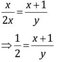
Let the fourth proportional to x, 2x, (x + 1) be y, then
⇒ y = 2(x + 1)
⇒ y = 2x + 2
Sol:
Let the mean proportional between 12x2 and 27y2 be 'b', then
b2 = 12x2 × 27y 2
⇒ b2 = 324x2 y2
⇒ b = 18xy
Sol:
Given, D is 50% more than E
Let E = x, then D = x + 50% of x
⇒ D = x + 0.5x
⇒ D = 1.5x
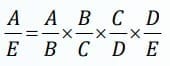
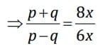
Also, A : B = 3 : 4, B : C = 7 : 9, C : D = 2 : 3
Therefore, the ratio between A and E is given by⇒ A/E = 7/12
Sol:
Given, 1/2,1/3, 1/5 and 1/x are in proportion, then
⇒ 3/2 = 5/ x
⇒ x = 15/2
Sol:
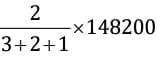
Given, Ratio of shares of wife, son and daughter = 3 : 2 : 1
Total assets value = ₹1,48,200
Therefore, share of son =2/6 x 148200 = 49400
Hence, the share of his son is ₹49,400.
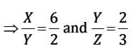
Sol:
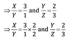
According to the question, we have X = 3Y and Y = 2/3 Z⇒ X : Y : Z = 6 : 2 : 3
Sol:
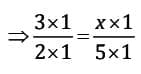
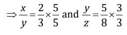
Let the number be x, y and z. According to question, we have
x : y = 2 : 3 and y : z = 5 : 8⇒ x : y : z = 10 : 15 : 24
Sum of the ratios = 10 + 15 + 24 = 48
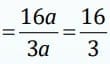
Therefore, the second number × (15/49) x 98 = 30
Sol:
Given, Ratio of students in three classes = 2 : 3 : 5
Let the students in three classes be 2x, 3x and 5x respectively.
According to question
(2x + 40) : (3x + 40) : (5x + 40) = 4 : 5 : 7⇒ 5(2x + 40) = 4(3x + 40)
⇒ 10x + 200 = 12x + 160
⇒ 2x = 40
⇒ x = 20
Therefore, the total students originally were,
2x + 3x + 5x = 10x = 10(20) = 200
Sol:
Since, 3 times Anil's share, 6 times Sunil's share and 8 times Nimal's share are all equal i.e.,
3A = 6B = 8C
Therefore, Anil's share is given by:
Sol:
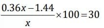
Let the quantity of mixture be x, then Quantity of acid = (100 – 64)% of x = 0.36x
Now, quantit of acid in 4 litres of mixture = 4 × 36% = 1.44
Since, 4 litres of the solution were taken out of the vessel, thus
Remaining acid = 0.36x – 1.44
Also, same quantity of water was added, thus
Total quantity = x – 4 + 4 = x litres
Therefore, the percentage of acid is⇒ 0.36x - 1.44 = 0.3x
⇒ 0.06x = 1.44
⇒ x = 24 litres
Q25: If x = ya , y = zb , z = x c, then the value of abc is
(a) 1
(b) 2
(c) 3
(d) 4
Ans: (a)
Sol:
Given, x = ya , y = zb , z = x c
⇒ x = ya & y = zb
⇒ x = (zb)a
⇒ x = zab
Also, z = xc
⇒ x = (xc)ab
⇒ x = xabc
⇒ abc = 1
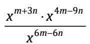
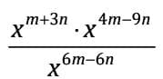
Q26: 
(a) xm
(b) x–m
(c) xn
(d) x–n
Ans: (b)
Sol:
x5m–6n–(6m–6n) = x–m
Q27: Find the value of 
(a)
(b)
(c)
(d)
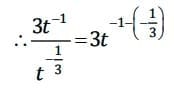
Ans: (a)
Sol:
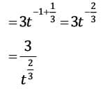
To simplify:We know that,
am/an = am - n
Hence, the correction answer is option (a) i.e.,
96 videos|241 docs|83 tests |
| 1. What is the definition of ratio in mathematics? | ![]() |
| 2. How is proportion defined and how does it relate to ratios? | ![]() |
| 3. What are indices and why are they important in mathematics? | ![]() |
| 4. Can you explain the laws of indices? | ![]() |
| 5. What is a logarithm and how is it related to indices? | ![]() |
96 videos|241 docs|83 tests |
![]() | Explore Courses for CA Foundation exam |