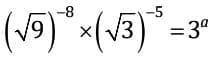
Q1: If (25)150 = (25x) 50, then the value of x will be
(a) 53
(b) 54
(c) 52
(d) 5
Ans: (b)
Sol:
Given, (25)150 = (25x) 50
⇒ (52)150 = (52x)50
⇒ 5300 = 5100x50
⇒ x = 5 200/50
⇒ x = 54
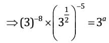
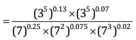
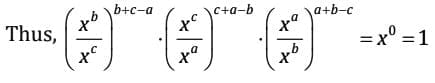
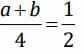
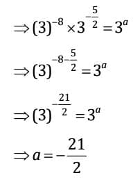
Q2: Find the value of a from 
(a) 2/21
(b) 21/2
(c) -21/2
(d) -2/21
Ans: (c)
Sol:
Given,
![]()
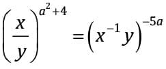
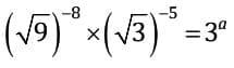
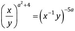
Q3: If
then the value of a is
(a) 4, –1
(b) –4, 1
(c) –4, –1
(d) 4, 1
Ans: (d)
Sol:
Given,⇒ a² + 4 = 5a
⇒ a² - 5a + 4 = 0
⇒ a² - 4a - a + 4 = 0
⇒ a(a - 4) - 1(a - 4) = 0
⇒ (a - 1)(a - 4) = 0
⇒ a = 1, 4
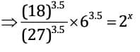
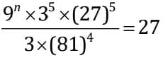
Q4: (18)3.5 ÷ (27)3.5 × 63.5 = 2x , then the value of x is
(a) 3.5
(b) 4.5
(c) 6
(d) 7
Ans: (d)
Sol:
(18)3.5 ÷ (27)3.5 × 63.5 = 2x
⇒ (4)3.5 = 2x
⇒ (2)7 = 2x
⇒ x = 7
Therefore, the value of x is 7.
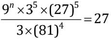
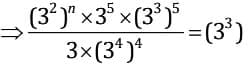
Q5: If
then find the value of n.
(a) 2
(b) 0
(c) 3
(d) 4
Ans: (b)
Sol:
Given,
⇒ 32n× 35 × 315= 33 × 31 × 316
⇒ 32n+20 = 320
⇒ 2n + 20 = 20
⇒ 2n = 0
⇒ n = 0
Q6: The value of
is;
(a) 3/7
(b) 7/3
(c) 1 (3/7)
(d) 2(2/7)
Ans: (a)
Sol:
= 3/7
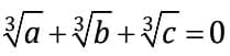
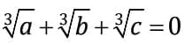
Q7: If
, then find the value of 
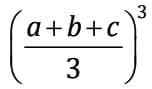
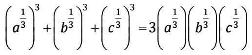
(a) abc
(b) 9abc
(c) 1/abc
(d) 1/9 ab
Ans: (a)
Sol:
We know, If p + q + r = 0
Then, p3 + q3 + r3 = 3pqr
Therefore
⇒ a + b + c = 3(abc) 1/3
⇒ (a + b + c) 3 = 27abc
⇒ (a + b + c/3) = abc
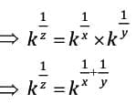
Q8: If 4x = 5y = 20z, then z is equal to
(a) xy
(b) (x + y)/xy
(c) 1/xy
(d) xy/((x + y)
Ans: (d)
Sol:
Given, 4x = 5y = 20z
Let 4x = 5y = 20z = k
⇒ 4 = k1/x, 5 = k1/yand 20 = k1/z
We know,
20 = 4 × 5
⇒ z = xy/x + y
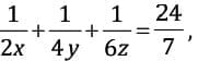
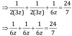
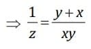
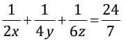
Q9: If 2x = 4y = 8z and
then the value of z is
(a) 7/16
(b) 7/32
(c) 7/48
(d) 7/64
Ans: (c)
Sol:
Given, 2x = 4y = 8z
⇒ 2x = (22)y = (23)z
⇒ 2x = 22y = 23z
⇒ x = 2y = 3z .... (i)
Also,⇒ 3/6z = 24/7
⇒ 1/2z = 24/7
⇒ z = 7/48
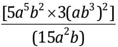
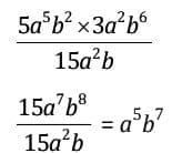
Q10: The simplified value of
is
(a) a7 b7
(b) a5 b7
(c) a5 b5
(d) a7 b5
Ans: (b)
Sol:
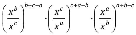
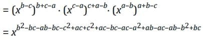
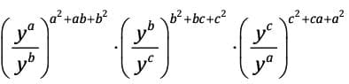
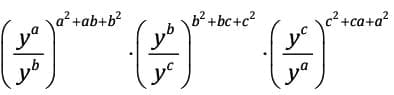
Q11: What is the value of
(a) xabc
(b) x (a + b + c)
(c) –1
(d) 1
Ans: (d)
Sol:
x0 = 1 'or' cyclic order trick
Since, (b − c)[b + c − a] + (c − a)[c + a − b] + (a − b)[a + b − c] = 0
Q12: If
is equal to
(a) y
(b) –1
(c) 1
(d) None of these
Ans: (c)
Sol:
⇒ y0 = 1
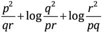
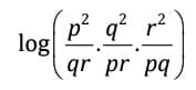
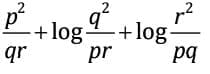
Q13: Find the value of log 
(a) 0
(b) 1
(c) log pqr
(d) pqr
Ans: (a)
Sol:
log
= log (1) = 0
Q14: If loga b = 3 and logb c = 2, then loga c is
(a) 5
(b) 6
(c) 10
(d) 4
Ans: (b)
Sol:
Given, loga b = 3 and logb c = 2
loga b x loga c
⇒ log c/log a
⇒ loga c = loga b × loga c
⇒ loga c = 3 × 2
⇒ loga c = 6
Q15: The value of [log10(5 log10 100)]2 is
(a) 1
(b) 2
(c) 10
(d) 25
Ans: (a)
Sol:
[log10(5 log10 100)]2
= [log10(5 log10 102)]2
= [log10(5 x 2 log10 10)]2
= [log10(5 x 2(1))]2
= [log10 (10)]2
= (1)2 = 1
Q16: If log x = log 5 + 2 log 3 – (1/2) log 25, then the value of x is
(a) 8
(b) 9
(c) 10
(d) None of these
Ans: (b)
Sol:
Given, log x = log 5 + 2 log 3 – (1/2) log 25
⇒ log x = log 5 + log 32- log(25)1/2
⇒ log x = log 5 + log 9 - log 5
⇒ log x = log 9
⇒ x = 9
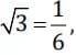
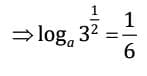
Q17: If 1 loga
find the value of a.
(a) 3
(b) 9
(c) 27
(d) 81
Ans: (c)
Sol:
Given, loga
⇒ 1/2 loga 3 = 1/6
⇒ loga 3 = 1/3
⇒ 3 = a1/3
⇒ a = 33
⇒ a = 27
Q18: Given that log10 2 = x and log10 3 = y, then the value of log10 60 is expressed as
(a) x – y + 1
(b) x + y + 1
(c) x – y – 1
(d) None of these
Ans: (b)
Sol:
Given, log10 2 = x and log10 3 = y
We know,
log10 60 = log10 (2 × 3 × 10)
= log10 2 + log10 3 + log10 10
= x + y + 1
Q19: Find the value of log(x6) if log x + 2 log (x2 ) + 3 log (x3) = 14
(a) 3
(b) 4
(c) 5
(d) 6
Ans: (d)
Sol:
Given, log x + 2 log (x2 ) + 3log (x3) = 14
⇒ log x + 2 × 2 log (x) + 3 × 3 log (x) = 14
⇒ log x + 4 log x + 9 log x = 14
⇒ 14 log x = 14
⇒ log x = 1
Therefore, log (x6) = 6 log x = 6(1) = 6
Q20: If log10 x = m + n – 1 and log10 y = m – n, then the value of 10 (100x/y2) expressed in terms of m and n is
(a) 1 – m + 3n
(b) m – 1 + 3n
(c) m + 3n + 1
(d) m 2 – n 2
Ans: (a)
Sol:
Given, log10 x = m + n – 1 and log10 y = m – n
Now, the given expression can be simplified as;
log10 (100x /y2) = log10(100) + log10(x) - log10(y2)
⇒ log10(100x/y2) = log10(102) + log10(x) - log10(y2)
⇒ log10(100x/y2) = 2log10(10) + log10(x) - 2log10(y)
⇒ log10(100x/y2) = 2(1) + (m + n - 1) - 2(m - n)
⇒ log10(100x/y2) = 2 + m + n - 1 - 2m + 2n
⇒ log10(100x /y2) = 1 - m + 3n
Q21: 
(a) 1
(b) 2
(c) 3
(d) None of these
Ans: (b)
Sol:
= logxyz (xy) + logxyz yz + logxyz (xz)
= logxyz (xy × yz + xz)
= logxyz (xyz²)
= 2logxyz (xyz)
= 2(1) = 2
Q22: log4 (x2 + x) – log4 (x + 1) = 2. Find x.
(a) 16
(b) 0
(c) –1
(d) None of thes
Ans: (a)
Sol:
log4 (x2 + x) – log4 (x + 1) = 2
⇒ log4 (x2 + x)/(x + 1) = 2
⇒ log4 x(x + 1)/x + 1 = 2
⇒ log4 x = 2
⇒ x = 42
⇒ x = 16
Q23: log2 log2 log4 256 + 2log √2 2 log 2 is equal to
(a) 2
(b) 3
(c) 5
(d) 7
Ans: (c)
Sol:
log2 log2 log4 256 + 2log √2 2
= log2 log2 log4 44+ 2 loglog 22
= log2 log2 (4 log4 4) +log2 2
= log2 log2 (22 ) + 4(1)
= log2 2 + 4 = 1 + 4 = 5
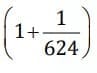
Q24: The value of log5
+ log5
+ ....... + log5
(a)2
(b) 3
(c) 5
(d) Cannot be determined
Ans: (b)
Sol:
log5+ log5
+ ....... + log5
= log5 (6/5) + log5 (7/6)+ ....... + log5 (625/624)
= log5 (625/5)
= log5 (125) = log5 (53) = 3
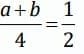
Q25: If log
(log a + log b), then the value of a/b + b/a will be
(a) 12
(b) 14
(c) 16
(d) 8
Ans: (b)
Sol:
Given, log(log a + log b)
⇒log a + b/4 = 1/2 log (ab)
⇒log a + b/4 = log (ab)1/2
⇒ a + b/4 = log (ab)1/2
⇒ (a + b/4) 2= ab
⇒ (a² + b² + 2ab) /16 = ab
⇒ a² + b² + 2ab = 16ab
⇒ a² + b² = 14ab
⇒ (a² + b²)/ab = 14
⇒ a/b + b/a = 14
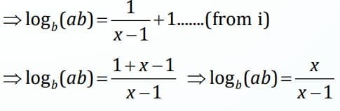
Q26: If loga (ab) = x, then logb(ab) is
(a) 1/x
(b) x/1 + x
(c) x/x −1
(d) None of these
Ans: (c)
Sol:
Given, loga (ab) = x
logb/ loga= x - 1 ......(i)
Therefore,
logb (ab) = log ab/ log b
⇒ logb (ab) = (log a + log b)/log b
⇒ logb (ab) = log a/log b + 1
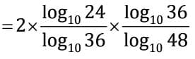
Q27: If x = log24 12, y = log36 24, z = log48 36, then xyz + 1 = ?
(a) 2xy
(b) 2xz
(c) 2yz
(d) 2
Ans: (c)
Sol:
Given, x = log24 12, y = log36 24, z = log48 36
Thus, xyz + 1
= log48 12 + log48 48
= log48 (12 × 48)
= log48 (576)
= log48 (24)²
= 2 log48 (24)
For option (c): 2yz
= 2(log36 24)(log48 36)
= 2 log48(24)
Therefore, xyz + 1 = 2yz
96 videos|241 docs|83 tests |
| 1. What is the definition of ratio in mathematics? | ![]() |
| 2. How do you solve a proportion? | ![]() |
| 3. What are indices in mathematics? | ![]() |
| 4. What are logarithms and how are they used? | ![]() |
| 5. What is the relationship between indices and logarithms? | ![]() |
96 videos|241 docs|83 tests |
![]() | Explore Courses for CA Foundation exam |