Q1: The solution of the linear simultaneous equations 2x – y = 4 and 3x + 4y = 17 is
(a) x = 3; y = 2
(b) x = 2; y = 3
(c) x = –3; y = –2
(d) x = –2; y = –3
Ans: (a)
Sol:
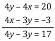
Given, equation; 2x – y = 4 and 3x + 4y = 17
Multiplying first equation by 4 and adding to second equation,
we get
⇒ x = 3
Therefore, y = 2x – 4 = 6 – 4 = 2
Q2: The solution of the following system of linear equation 2x – 5y + 4 = 0 and 2x + y – 8 = 0 will be
(a) (2, –3)
(b) (1, –3)
(c) (3, 2)
(d) (–2, 2)
Ans: (c)
Sol:
Given Equation,
2x – 5y + 4 = 0 ........(i)
2x + y – 8 = 0 ........(ii)
Subtracting both equations, we get
–5y – y + 4 + 8 = 0
⇒ 6y = 12
⇒ y = 2
Substitute the value of x in eq (i), we get
2x – 10 + 4 = 0
⇒ 2x = 6
⇒ x = 3
Therefore, (x, y) = (3, 2)
Q3:The point of intersection between the straight lines 3x + 2y = 6 and 3x – y = 12 lie in
(a) 1st quadrant
(b) 2nd quadrant
(c) 3rd quadrant
(d) 4th quadran
Ans: (d)
Sol:
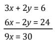
Given lines; 3x + 2y = 6 ....(i)
3x – y = 12 ....(ii)
Multiplying eq (i) by 2, we get,
6x – 2y = 24 ....(iii)
Now adding eq (i) and eq (iii), we get
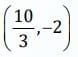
⇒ x = 10/3
Substitute the value of x in eq., (ii) we get
⇒ 3 x 10/3 - y = 12
⇒ y = –2
Therefore, (x, y) =
Hence, the solution set lies in 4th quadrant
Q4: The age of a man is four times the sum of the ages of his two sons and after 10 years, his age will be double the sum of their ages. The present age of the man is
(a) 56 years
(b) 45 years
(c) 60 years
(d) 64 years
Ans: (c)
Sol:
Let the present age of the man be ‘x’ years and that of his sons be ‘y’ years, then
According to question, we have
x = 4y ......(i)
Also, x + 10 = 2(y + 20)
⇒ x + 10 = 2y + 40
⇒ x + 10 =x/2 + 40
⇒x - (x/2) = 40 - 10
⇒x/ 2 = 30
⇒ x = 60
Therefore, the present age of man is 60 years
Q5: The value of y of fraction x/y exceeds with x by 5 and if 3 be added to both numerator and denominator of the fraction it becomes 3/4. Find the fraction.
(a) 12/17
(b) 13/17
(c) - 1/3
(d) None of these
Ans: (a)
Sol:
According to the question, we have
y – x = 5 ....(i)
x + 3/y + 3 = 3/4
⇒ 4(x + 3) = 3(y + 3)
⇒ 4x + 12 = 3y + 9
⇒ 4x – 3y = –3 ....(ii)
Multiplying eq., (i) with 4 and adding with eq., (ii),
we get
⇒ y = 17
Thus, y = 17 – 5 = 12
Therefore, the fraction is 12/17.
Q6: A man wants to cut three lengths from a single piece of board of length 91 cm. The second length is to be 3 cm longer than the shortest and third length is to be twice as the shortest. What is the possible length for the shortest piece?
(a) 22 cm
(b) 20 cm
(c) 15 cm
(d) 18 cm
Ans: (a)
Sol:
Let the shortest piece be x cm.
According to the question,
Second length = ‘x + 3’ cm and Third length = ‘2x’ cm
Thus, x + x + 3 + 2x = 91
⇒ 4x = 91 – 3
⇒ 4x = 88
⇒ x = 22
Therefore, the length of shortest piece of board is 22 cm.
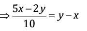
Q7: What are the values of x and y from the given equation?

(a) (20, 25)
(b) (15, 20)
(c) (25, 30)
(d) (30, 35)
Ans: (a)
Sol:
Given Equations;
⇒ 5x – 2y = 10y – 10x
⇒ 15x = 12y
⇒ 5x = 4y ........(i)
Also, x - 5/y - 10 = 1
⇒ x – 5 = y – 10
⇒ x – y = –5
⇒ (4y/5) - y = -5 (From i)
⇒ -y/5 = -5
⇒ y = 25
⇒x = 4y/5 = 20
Therefore, the required solution is (20, 25)
Q8: The cost prices of 3 pens and 4 bags is ₹324 and 4 pens and 3 bags is ₹257, then cost price of 1 bag is equal to
(a) ₹8
(b) ₹24
(c) ₹32
(d) ₹75
Ans: (d)
Sol:
Let the cost price of 1 pen be ₹x and of bag be ₹y.
According to the question,
3x + 4y = 324 & 4x + 3y = 257
On adding the equations, we get
7x + 7y = 581
⇒ x + y = 83 .......(i)
On subtracting, we get
–x + y = 67 ........(ii)
From (i) and (ii), we have
2y = 150
⇒ y = 75
Therefore, the price of 1 bag is ₹75
Q9: 4 tables and 3 chairs together cost ₹2,250 and 3 table and 4 chairs cost ₹1950. Find the cost of 2 chairs and 1 table.
(a) 550
(b) 1005
(c) 750
(d) None of these
Ans: (c)
Sol:
Let the cost of each table and chair be ₹x and ₹y respectively.
According to question, we have
4x + 3y = 2250 ....(i)
3x + 4y = 1950 ....(ii)
Multiplying eq.,(i) by 3 and eq.,(ii) by 3 and subtracting them, we get
16x + 12y – (9x + 12y) = 9000 – 5850
⇒ 7x = 3150
⇒ x = 450
Therefore,
Hence, the cost of 2 chairs and 1 table be 2y + x = 2(150) + 450 = ₹750
Q10: A fraction becomes 1 when 3 is added to the numerator and 1 is added to the denominator. But when the numerator and denominator are decreased by 2 and 1 respectively, it becomes 1/2 . The denominator of the fraction is
(a) 8
(b) 6
(c) 7
(d) 5
Ans: (c)
Sol:
Let the numerator be x and the denominator by y, then
According to question,
x + 3/y + 1 = 1
⇒ x + 3 = y + 1
⇒ x – y = –2 ........(i)
Also, x − 2/y − 1 = 1/2
⇒ 2(x − 2) = (y − 1)
⇒ 2x − 4 = y − 1
⇒ 2x − y = 3 ..................(ii)
From (i) and (ii), we get
2x − x = 3 + 2
⇒ x = 5
Therefore, y = x + 2 = 5 + 2 = 7
Q11: A man starts his job with a certain monthly salary and earns a fixed increment every year. If his salary was ₹1500 after 4 years of service and ₹1800 after 100 years of service, what was his starting salary and what is the annual increment in rupees?
(a) ₹1300, ₹50
(b) ₹1100, ₹50
(c) ₹1500, ₹30
(d) None
Ans: (a)
Sol:
Let the starting salary be ₹a and the annual increment be ₹b.
As the salary was ₹1500 after 4 years of service, we get
⇒ a + 4b = 1500 ....(i)
Similarly, as the salary was ₹1800 after 10 years of service, we get,
⇒ a + 10b = 1800 ....(ii)
Now, on solving eq.,(i) and eq.,(ii)
Simultaneously, we ge
⇒ 6b = 300
⇒ b = 50
Substitute this value of b in eq., (i)
⇒ a + 200 = 1500
⇒ a = 1300
Thus, the starting salar is ₹1300 and the annual increment is ₹50.
Q12: The roots of the equation x2 – 7x + 10 = 0 are
(a) 2 and 5
(b) –2 and –5
(c) 2 and –5
(d) –2 and 5
Ans: (a)
Sol:
x2 – 7x + 10 = 0
⇒ x² – 2x – 5x + 10 = 0
⇒ x(x – 2) – 5(x – 2) = 0
⇒ (x – 2)(x – 5) = 0
⇒ x = 2, 5
Q13: If the square of a number exceeds twice of the number by 15, then number that satisfies the condition is
(a) –5
(b) 3
(c) 5
(d) 15
Ans: (c)
Sol:
Let the number be x, where x > 0 then
x2 = 2x + 15
⇒ x2- 2x - 15 = 0
⇒ x2 - 5x + 3x - 15 = 0
⇒ x(x - 5) + 3(x - 5) = 0
⇒ (x + 3)(x - 5) = 0
⇒ x = -3, x = 5
Therefore, the value of x is 5.
Q14: If α and β are the roots of the equation x2– 8x + 12 = 0, then 1/α + 1/β = ?
(a) 2/3
(b) 3/4
(c) 4/5
(d) 5/6
Ans: (a)
Sol:
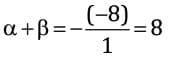
Given, α and β are the roots of the equation x2– 8x + 12 = 0
α β = 12/1 = 12
Thus,
1/ α + β/1
α+β/ αβ = 8/12 =2/3
Q15: If one root of 5z2 + 13z + y = 0 is reciprocal of the other, then the value of y is
(a) 1/5
(b) − (1/5)
(c) 5
(d) –5
Ans: (c)
Sol:
Given equation; 5z2 + 13z + y = 0
Let one root of the equation be a, then the other root will be 1/α .
Comparing the given equation with standard equation az2 + bz + c = 0, we get
a = 5 and b = 13 and c = y
Now product of roots =c/a
⇒ α⋅ = 1/α = y/ 5 y
⇒ 1 = y/5
⇒ y = 5
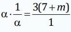
Q16: One root of the equation x2 – 2(5 + m)x + 3(7 + m) = 0 is reciprocal of the other. Find the value of m.
(a) -20/3
(b) 7
(c) 1/7
(d) 117
Ans: (a)
Sol:
Given equation,
x2 – 2(5 + m)x + 3(7 + m) = 0
Let the roots be α& 1/α .
We know that,
For quadratic equation ax2 + bx + c = 0,
its product of roots = c/a
Therefore, for given quadratic equation
Product of roots =
⇒ 3(7 + m) = 1
⇒ m = - (20/3)
Q17: If a, b are the roots of the equation x2 – 4x + 1 = 0, then the value of α3 + β3 will be
(a) –76
(b) 76
(c) –52
(d) 52
Ans: (d)
Sol:
Given equation; x2 – 4x + 1 = 0
Comparing it with ax2 + bx + c = 0, we get
a = 1, b = -4 & c = 1
Thus, Sum of roots, α + β = -b/a = 4
Product of roots, αβ = c/a = 1
We know that,
(α + β)³ = α³ + β³ + 3αβ(α + β)
⇒ α³ + β³ = (α + β)³ – 3αβ(α + β)
⇒ α³ + β³ = (4)³ – 3(1)(4)
⇒ α³ + β³ = 64 – 12
⇒ α³ + β³ = 52
Q18: The quadratic equation 2x² - √5x + 1 = 0 has
(a) two distinct real roots
(b) two equal real roots
(c) no real roots
(d) more than two real roots
Ans: (c)
Sol:
Given equation; 2x² - √5x + 1 = 0
Comparing with standard quadratic equatic equation
ax2 + bx + c = 0, we get
a = 2, b - √5 & c = 1
Now, discriminant is given by;
b² – 4ac = (–√5)² – 4(2)(1)
⇒ b² – 4ac = 5 – 8
⇒ b² – 4ac = –3 < 0
Therefore, the given quadratic equation has no real roots.
Q19: If one root of the equation x2 – 3x + k = 0 is 1, then the value of 'k' is
(a) 2
(b) 1
(c) –2
(d) –1
Ans: (a)
Sol:
Since, 1 is the root of the equation x² – 3x + k = 0,
thus (1)² – 3(1) + k = 0
⇒ 1 – 3 + k = 0
⇒ –2 + k = 0
⇒ k = 2
Q20: Find the condition that one root is double that of other equation ax2 + bx + c = 0
(a) 2b2 = 3ac
(b) b2 = 3ac
(c) 2b2 = 9ac
(d) None
Ans: (c)
Sol:
Let α, β be the roots of the given equation It is given that one root is double then; ⇒ α = 2β
Now we know that the quadratic equation is
⇒ x² – (sum of roots)x + products of roots = 0
The quadratic equation is ax² + bx + c = 0
Sum of roots (α + β) = 3β = -b/a ...(i)
Product of roots (αβ) = 2β² = c/a ...(ii)
Therefore, from the above two equations
We get, (b²/9a²) = c/2a
On cross multiplying, we get
⇒ 2b² = 9ac
96 videos|241 docs|83 tests |
| 1. What are the basic types of equations covered in the CA Foundation exam? | ![]() |
| 2. How do you solve a linear equation? | ![]() |
| 3. What is the significance of the quadratic formula? | ![]() |
| 4. What are simultaneous equations and how are they solved? | ![]() |
| 5. What role do equations play in accounting and finance? | ![]() |
96 videos|241 docs|83 tests |
![]() | Explore Courses for CA Foundation exam |