Q1: The solution set of the equations x + 2 > 0 and 2x – 6 > 0 is
(a) (–2, ∞)
(b) (3, ∞)
(c) (–∞, –2)
(d) (–∞, –3)
Ans: (b)
Sol:
Since x + 2 > 0
⇒ x > -2
Also, 2x - 6 > 0
⇒ 2x > 6
⇒ x > 3
From (i) and (ii), the common solution set will be:
x > 3 i.e., (3, ∞)
Q2: If 3x – 2 < 4x – 5 and 4x – 5 ≥ 2x – 3, then x can take from the following values:
(a) 3
(b) –1
(c) 2
(d) –3
Ans: (c)
Sol:
3x + 2 < 2x + 5
⇒ 3x - 2x + <5 - 2
⇒ x < 3
And, 4x - 5 ≥ 2x - 3
⇒ 4x - 2x ≥ -3 + 5
⇒ 2x - 2 ≥ -2x - 1
Combined:
15x < 3
From given options, x can take the value of 2.
Therefore, the required value is 2.
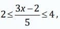
Q3: Solve for x of the inequalities
where x ∈ N
(a) {5, 6, 7}
(b) {3, 4, 5, 6}
(c) {4, 5, 6}
(d) {4, 5, 6, 7}
Ans: (d)
Sol:
10 ≤ 3x – 2 ≤ 20
12 ≤ 3x ≤ 22
4≤ x ≤ 22/3
⇒4 ≤ x ≤ 7.33
Since x ∈ ℕ, possible values of x are:
{4, 5, 6, 7}
Q4: In a hostel, ration is stocked for 400 students for 31 days. After 28 days, 280 students vacate the hostel. Find the number of days for which the remaining ration will be sufficient for the remaining students
(a) 5
(b) 4
(c) 7
(d) 10
Ans: (c)
Sol:
Total stock of ration = 400 × 31 × 1 = 12400 units (assuming 1 unit per student per day).
Ration consumed in first 28 days by 400 students = 400 × 28 × 1 = 11200
Remaining ration = 12400 - 11200 = 1200
Remaining students = 400 – 280 = 120
Let remaining ration last for D days: 120 × D × 1 = 1200
120D = 1200
⇒D =1200/120 = 10
Q5: A senior typist can type five reports and a junior typist can type three reports per day. But the management needs to complete at least 30 reports in a day. If S and J denote the number of senior and junior typists assigned for the work, which of the following inequality represents the constraint
(a) 5S + 3J ≥ 30
(b) 3S + 5J < 30
(c) 5S + 3J ≥ 30
(d) 3S + 5J > 30
Ans: (c)
Sol:
Let S = number of senior typists
Let J = number of junior typists
A senior typist types 3 reports/day → contributes 3S
A junior typist types 2 reports/day → contributes 2J
The company wants at least 30 reports done in a day, so the total contribution must be greater than or equal to 30:
3S + 2J ≥ 30
Q6: A dealer has only ₹5760 to invest in fans (x) and sewing machines (y). The cost per unit of fan and sewing machine is ₹360 and ₹240 respectively. This can be shown by:
(a) 360x + 240y ≥ 5760
(b) 360x + 240y ≤ 5760
(c) 60x + 240y = 5760
(d) None of these
Ans: (b)
Sol:
The total investment cannot exceed ₹5760.
Cost per fan = ₹360
Cost per sewing machine = ₹240
Let:
x = number of fans
y = number of sewing machines
Then the total cost is: 360x + 240y ≤ 5760
Q7: On an average, an experienced person does 5 units of work whereas an unexperienced person does 3 units of work daily. The employer has to maintain output of at least 30 units of work per day. The situation can be expressed as:
(a) 5x + 3y ≤ 30
(b) 5x + 3y ≥ 30
(c) 5x + 3y = 30
(d) None of these
Ans: (b)
Sol:
x = number of experienced workers
Given,
y = number of unexperienced workersWork done by experienced: 5x
Work done by unexperienced: 3y
Total work: 5x + 3y
Given: Employer needs at least 30 units of work
per day, so;
5x + 3y ≥ 30
Q8: A company produce two type of product A and B which required processing in two machines. First machine can be used up to 15 hrs. and second can be used at most 12 hrs. in a day. The product A requires 2 hrs. on machine 1 and 3 hrs. on machine 2. The product B requires 3 hrs. on machine 1 and1 hour on machine 2. This can be expressed as:
(a) 2x1 + 3x2 ≤ 15, 3x1 + x2 ≤ 15
(b) 2x1 + 3x2 ≤ 15, 3x1 + x2 ≤ 12
(c) 3x1 + 2x2 ≤ 15, 2x1 + x2 ≤ 12
(d) 2x1 + 3x2 ≤ 12, 3x1 + x2 ≤ 15
Ans: (b)
Sol:
From the given data:
Machine 1:Product A takes 2 hours
Product B takes 3 hours
Total machine 1 time used:
2x1 + 3x2 ≤ 15
Machine 2:
Product A takes 3 hours
Product B takes 1 hour
Total machine 2 time used:
3x1 + x2 ≤ 12
So, the correct constraints are:
2x1 + 3x2 ≤ 15, 3x1 + x2 ≤ 12
Q9: A small manufacturing firm produces two types of gadgets A and B, which are first processed in the foundry then sent to the machine shop for finishing. The number of man-hours of labour required in each shop for the production of each unit of A and B, and the number of manhours the firm has available per week are as follows:

Let the firm manufactures x units of A and y units of B. The constraint are:
(a) 10x + 6y ≤ 1000, 5x + 4y ≥ 600, x ≥ 0, y ≤ 0
(b) 10x + 6y ≤ 1000, 5x + 4y ≤ 600, x ≥ 0, y ≥ 0
(c) 10x + 6y ≥ 1000, 5x + 4y ≤ 600, x ≤ 0, y ≤ 0
(d) 10x + 6y ≤ 1000, 5x + 4y ≥ 600, x ≤ 0, y ≤ 0
Ans: (b)
Sol:
Foundry constraintEach unit of A uses 10 hrs, B uses 6 hrs
Total available in foundry = 100 hrs
10x + 6y ≤ 1000Machine-shop constraint
Each unit of A uses 5 hrs, B uses 4 hrs
Total available = 600 hrs
5x + 4y ≤ 600Non-negativity constraints
Cannot produce negative units:x ≥ 0, y ≥ 0
Therefore, the constraints are:
10x + 6y ≤ 1000, 5x + 4y ≤ 600, x ≥ 0, y ≥ 0
Q10: Given the constraints x ≤ 3, y ≤ 4 and 4x + 3y ≤ 12, the point ______ is in the feasible region
(a) (3, 4)
(b) (2, 4)
(c) (2, 2)
(d) (1, 1)
Ans: (d)
Sol:
3 ≤ 3, true
Go by options
For option (a): (3, 4)
Here,
4 ≤ 4, true
4(3) + 3(4) = 24 ≤/ 12For option (b): (2, 4)
2 ≤ 3, true
4 ≤ 4, true
4(2) + 3(4) = 20 ≤/ 12
For option (c): (2, 2)
2 ≤ 3, true
4 ≤ 4, true
4(2) + 3(2) = 14 ≤/ 12For option (d): (1, 1)
1 ≤ 3, true
1 ≤ 4, true
4(1) + 3(1) = 7 ≤ 12, true
Q11: The shaded area is represented by which of the following option?
(a) x + y > 6; 2x – y > 0; x > 0
(b) x + y < 6; 2x – y > 0; x < 0
(c) x + y > 6; 2x – y < 0; x > 0
(d) x + y > 6; 2x – y > 0; x < 0
Ans: (a)
Sol:
Let us consider a point in the shaded portion of the intersection of lines.
Taking the point (7, 1)
Now, let us substitute this point in all the inequalities for each option and check if it
satisfies the inequalities.
For option (a),
⇒ x + y > 6
⇒ 7 + 1 = 8 > 6, which is true
⇒ 2x – y > 0
⇒ 2(7) – 1 = 13 > 0, which is true
All inequalities are satisfied.
For option (b),
⇒ x + y < 6
⇒7 + 1 = 8, which is not less than 6.
Inequalities are not satisfied.
For option (c)
⇒ x + y > 6
⇒ 7 + 1 = 8 > 6, which is true
⇒ 2x – y < 0
⇒ 2(7) – 1 = 13, which is not less than 0.
Inequalities are not satisfied.
For option (d), as all the inequalities in option
(a) are satisfied by the point (7, 1) in the shaded region, so the option (d) is incorrect.
Thus, the shaded region represents:
x + y > 6, 2x – y > 0
Q12: On solving the inequalities 5x + y ≤ 100, x + y ≤60, x ≥ 0, y ≥ 0, we get the following situation
(a) (0, 0), (20, 0), (10, 50) and (0, 60)
(b) (0, 0), (60, 0), (10, 50) and (0, 60)
(c) (0, 0), (20, 0), (0, 100) and (10, 50)
(d) None of these
Ans: (a)
Sol:
The inequalities are:
5x + y ≤ 100 x + y ≤ 60
The line of equation for inequality: 5x + y ≤ 100
Reference of points:The line of equation for inequality: x + y ≤ 60
⇒ x + y = 60
Reference of points:For the inequalities, the value of x and y will lie either on the lines x + y = 60 and 5x + y = 100 or
below them.
It is given x ≥ 0, y ≥ 0
Thus the value of x and y belongs to 1st quadrantThus we get the four points
A = (0, 60); B = (10, 50); C = (20, 0); D = (0, 0)
Q13: On solving the inequalities 6x + y ≥ 18; x + 4y ≥12; 2x + y ≥ 10, we get the following situation:
(a) (0, 18), (12, 0), (4, 2) and (2, 6)
(b) (3, 0), (0, 3), (4, 2) and (7, 6)
(c) (5, 0), (0, 10), (4, 2) and (7, 6)
(d) (0, 18), (12, 0), (4, 2), (0, 0) and (7, 6)
Ans: (c)
Sol:
Given inequalities
6x + y > 18
x + 4y > 12
2x + y > 10
6x + y = 18 passes through points:
When x = 0, y = 18 → (0, 18)
When y = 0, x = 3 → (3, 0)
x + 4y = 12 passes through points:
When x = 0, y = 3 → (0, 3)
When y = 0, x = 12 → (12, 0)
2x + y = 10 passes through points:
When x = 0, y = 10 → (0, 10)
When y = 0, x = 5 → (5, 0)The shaded area on the graph shows thefeasible region that satisfies all inequalities.
Therefore, the vertices of the feasible region are (0, 18), (12, 0),(4, 2) & (2, 6).
Trick: Go be choices
Option (a): (0, 18), (12, 0), (4, 2) and (2, 6)
Check for all the given inequalities i.e.,
6x + y ≥ 18; x + 4y ≥ 12; 2x + y ≥ 10
Clearly, all the points are satisfying the inequalities, whereas the points given in other options are not satisfying the inequalities.
For (0, 18)
6(0) + 18 ≥ 18, true
(0) + 4(18) ≥ 12, true
Q14: A dietician recommends mixture of two kinds of foods to a person so that mixture contains at least 45 units of carbs, 25 units of protein, 15 units of fat and 15 units of fibre. The above contents of nutrients are available in the foods as below:

If 'x' units of food-1 is mixed with 'y' units of food-2, how dietician recommendation can be expressed?
(a) 20x + 10y ≤ 45; 5x + 2y ≥ 25; 3x + 4y ≤ 15; 2x + 5y ≥ 15; x ≥ 0; y ≥ 0
(b) 20x + 10y ≤ 25; 5x + 2y ≥ 45; 3x + 4y ≤ 15; 2x+ 5y ≥ 15; x ≥ 0; y ≥ 0
(c) 20x + 10y ≥ 45; 5x + 2y ≥ 25; 3x + 4y ≥ 15; 2x+ 5y ≥ 15; x ≥ 0; y ≥ 0
(d) 20x + 10y ≤ 45; 5x + 2y20x + 10y ≤ 45; 5x + 2y ≤ 25; 3x + 4y ≤ 15; 2x + 5y ≤ 15; x ≥ 0; y ≥ 0
Ans: (c)
Sol:
Given,
x = units of Food-1
y = units of Food-2
Now calculate the total nutrients from the mixture:
Carbohydrates: 20x + 10y ≥ 45
Protein: 5x + 2y ≥ 25
Fat: 3x + 4y ≥ 15
Fibre: 2x + 5y ≥ 15
Also, x ≥ 0, y ≥ 0
So the correct inequalities are:
20x + 10y ≥ 45
5x + 2y ≥ 25
3x + 4y ≥ 15
2x + 5y ≥ 15
x ≥ 0
y ≥ 0
Q15: A firm makes two types of products: Type A and Type B. The profit on product A is ₹20 each and that on product B is ₹30 each. Both types are processed on three machines M1, M2 and M3. The time required in hours by each product and total time available in hours per week on each machine are as follows:

The constraints can be formulated takings x1=number of units A and x2 = number of unit of B as
(a) x1 + x2 ≤ 22, 5x1 + 2x2 ≤ 50, 2x1 + 6x2 ≤ 60,x1 ≥ 0, x2 ≥ 0
(b) 3x1 + 3x2 ≥ 36, 5x1 + 2x2 ≤ 50, 2x1 + 6x2 ≥ 60,x1 ≥ 0, x2 ≥ 0
(c) 3x1 + 3x2 ≤ 36, 5x1 + 2x2 ≤ 50, 2x1 + 6x2 ≤ 60,x1 ≥ 0, x2 ≥ 0
(d) None of these
Ans: (c)
Sol:
Given, x1 = number of units of A and x2 = number of units of B
Clearly, x1 ≥ 0, x2 ≥ 0
According to the given data,
The constraints can be formulated as:
3x1 + 3x2 ≤ 36
5x1 + 2x2 ≤ 50
2x1 + 6x2 ≤ 60 such that x1 ≥ 0, x2 ≥ 0
Q16: A manufacturer produces two products A and B. The profit on product A is ₹8 on each unit, and the profit on product B is ₹13 on each unit. Then the objective function is:
(a) Maximize Z = 8x1 + 13x2
(b) Minimize Z = 8x1 + 13x2
(c) Minimize Z = 13x1 + 8x2
(d) Maximize Z = 13x1 + 8x2
Ans: (a)
Sol:
Given,
x1 = number of units of product A
x2 = number of units of product B
Since, we want to maximize profit, and profitper unit of A is ₹8 and B is ₹13:
Therefore, the objective function is;
Maximize Z = 8x1 + 13x2
Q17: A manufacturer produces two items A and B. He has ₹10,000 to invest and space to store 100 items. A table costs him ₹400 and a chair ₹100.Express this in the form of linear inequalities.
(a) x + y ≤ 100, 4x + y ≤ 100, x ≥ 0, y ≥ 0
(b) x + y ≤ 100, 2x + 5y < 1000, x ≥ 0, y ≥ 0
(c) x + y > 100, 4x + y ≥ 100, x ≥ 0, y ≥ 0
(d) None of these
Ans: (a)
Sol:
Given,
x = number of tables (item A)
y = number of chairs (item B)
According to question, we have
Total budget = ₹10,000
Cost of a table = ₹400 → total cost from tables = 400x
Cost of a chair = ₹100 → total cost from chairs = 100y
Therefore,
400x + 100y ≤ 10,000
4x + y ≤ 100
Also given;
Maximum storage = 100 items
Thus, x + y ≤ 100
Now the number of tables and chairs cannot be negative, thus
x ≥ 0, y ≥ 0
Hence, x + y ≤ 100, 4x + y ≤ 100, x ≥ 0, y ≥ 0
96 videos|241 docs|83 tests |
| 1. What are linear inequalities? | ![]() |
| 2. How do you graph linear inequalities? | ![]() |
| 3. What is the significance of the solution set in linear inequalities? | ![]() |
| 4. Can linear inequalities have multiple solutions? | ![]() |
| 5. What role do linear inequalities play in optimisation problems? | ![]() |
96 videos|241 docs|83 tests |
![]() | Explore Courses for CA Foundation exam |