CA Foundation Exam  >  CA Foundation Notes  >  Quantitative Aptitude  >  MCQs' of Finance - Quantitative Aptitude for CA Foundation

MCQs' of Finance - Quantitative Aptitude for CA Foundation

Q1: In how many years will a sum of money becomes four times at 12% p.a. simple interest?
(a) 18 years 
(b) 21 years
(c) 25 years 
(d) 28 years 
Ans:
(c)

Sol: 
If P be the sum of money then amount (A) will be 4P.
Therefore, S.I. = A – P = 4P – P = 3P
We know that
S.I = (P × R × T)/100
⇒ 3P = P(12)(T)/100
⇒ 3 = 12T/100
⇒ T = 300/12 = 25

Q2: Manoj invests ₹12,000 at 6% per annum simple interest to obtain a total amount of ₹14,880. What is the time for which the amount was invested? 
(a) 3 years
(b) 4 years 
(c) 2 years
(d) 5 years

Ans: (b)

Sol:
According to question, we have 
P = ₹12,000, A = ₹14,880 and R = 6% p.a. 
⇒ S.I = ₹14,880 – ₹12,000 = ₹2,880
We know, 
S.I. = P × R × T/100 
⇒ 2880 = 12000 × 6 × T/100 
⇒ T = 2880 × 100/12000 × 6
 ⇒ T = 4 years
Therefore, the required time period is 4 years.

Q3: The simple interest on the principal is ₹2,000 and the rate and time are roots of the equation x² – 11x + 30 = 0 
(a) ₹500
(b) ₹600 
(c) ₹700
(d) ₹800
Ans: 
(b)

Sol:
Given equation, x² – 11x + 30 = 0 
⇒ x² – 6x – 5x + 30 = 0 
⇒ x(x – 6) – 5(x – 6) = 0 
⇒ (x – 5)(x – 6) = 0 
⇒ x = 5, x = 6
Since, the rate and time are roots of the given equation, Rate = 5%, Time = 6 years (or vice-versa)
Simple Interest  = P × R × T/100
= (2000)(6)(5)/100 =  600
Therefore, the simple interest is₹600.

Q4: The rate of interest for the first 2 years is 3% per annum, for next 3 years is 8% per annum and for the period beyond 5 years, 10% per annum. If a man gets ₹1520 as a simple interest for 6 years; how much money did he deposit? 
(a) ₹3800
(b) ₹3000
(c) ₹4000
(d) None of these
Ans: (a)

Sol: 
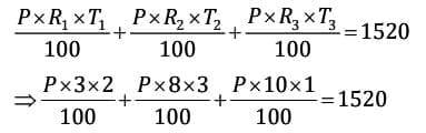
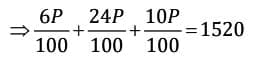
Given, Total simple interest earned in 6 years = ₹1520 
According to the question, 
Rate of interest for 2 years, R₁ = 3% p.a. 
Rate of interest for next 3 years, R₂ = 8% p.a. 
Rate of interest for next 1 year, R₃ = 10% p.a.

In P be the money he deposited (i.e. Principal), then 
MCQs`: Mathematics of Finance
MCQs`: Mathematics of Finance
⇒ 40p/100 = 1520

⇒ P = 3800
Therefore, the man deposited ₹3800

Q5: The annual rate of simple interest is 12.5%. In how many years does the Principal double?
(a) 11 years
(b) 9 years
(c) 8 years
(d) 7 years
Ans: (c)

Sol:
According to question, we have 
A = 2P, where P is the Principal and Rate of Interest (R) = 12.5%
We know, 
S.I. = P × R × T/100 
⇒ P = P × 12.5 × T/100 
⇒ 1 = 12.5 × T/100 
⇒ T = 1 x 100/12.5 
⇒ T= 8 years
Therefore, the required time period is 8 years.

Q6: In what rate % per annum will ₹1,000 amounts to ₹1331 in 3 years if the interest is compounded yearly?
(a) 10%
(b) 12%
(c) 11%
(d) None of these
Ans: (a)

Sol:

Given, 
P = ₹1,000, A = `1331 and n = 3 years 
Let the rate of interest be r% 
Since, the interest is compounded yearly, thus
MCQs`: Mathematics of Finance
MCQs`: Mathematics of Finance

⇒ r = 10
Therefore, the required rate of interest is 10%

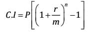
Q7: The compound interest on ₹40,000 at 12% per annum compounded quarterly for 6 months is 
(a) ₹2,643
(b) ₹2,463
(c) ₹2,364
(d) ₹2,436
Ans: (d)

Sol:

Given; P = Rs. 40,000, R = 12% and T = 6 months = 6/12 =  1/2 years

Since, it is compounded quarterly thus n = 4

Therefore, Amount = 40,000 MCQs`: Mathematics of Finance

= 40,000 (103/100)2

= Rs. 42,436

Therefore, C.I = Rs. 42,436 – Rs. 40,000 = Rs. 2,436

Trick:

The required compound interest = 40,000 + 3% + 3% – 40,000 = Rs. 2,436 

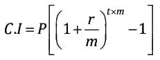
Q8: The compound interest on ₹15,625 for 9 months at 16% per annum compounded quarterly is: 
(a) ₹1851
(b) ₹1941
(c) ₹1951
(d) ₹1961
Ans: (c)

Sol:
According to question, we have
P = ₹15,625, t = 9 months = 9/12 years
⇒ n = t × m = 4 × 9/12 = 3
And r = 16%
We know that,
MCQs`: Mathematics of Finance
⇒ C.I = 15625 MCQs`: Mathematics of Finance
⇒ C.I = 15625 [(1.04)3 – 1]
⇒ C.I =₹1951
Therefore, the required interest is₹1951

Q9: Kanta wants to accumulate Rs. 4,91,300 in her savings account after three years. The rate of interest offered by bank is 6% per annum compounded annually. How much amount should she invest today to achieve her target amount?
(a) Rs. 4,09,600
(b) Rs. 4,37,500
(c) Rs. 46,900
(d) Rs. 49,600
Ans: (a)

Sol:
Given,MCQs`: Mathematics of Finance

Thus, i = MCQs`: Mathematics of Finance

Therefore, A = P(1 + i)n

⇒ 491300 = P MCQs`: Mathematics of Finance

⇒ 491300 = P [(5/4)3
⇒ P = Rs. 4,09,600

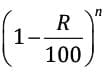
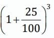
Q10: The present value of a scooter is ₹7290. The rate of depreciation is 10%. What was its value 3 years ago? 
(a) ₹10,000
(b) ₹10,010
(c) ₹9990
(d) ₹12,000
Ans: (a)

Sol:
Given, Present value of scooter = ₹7290
Rate of depreciation, R% = 10%
Let P be the value of scooter 3 years ago, then
7290 = P MCQs`: Mathematics of Finance
⇒ 7290 = P(1 – 0.10)3
⇒ P 7290/(1 – 0.10)3
⇒ P ≈ ₹10,000

Q11: The population of a town increases every year by 2% of the population at the beginning of that year. The approximate number of years by which the total increase of population will be 40% is ___. [Given: (1.02)¹⁸ = 1.7166] 
(a) 15
(b) 17
(c) 19
(d) 20
Ans: (b)

Sol:
Given; Annual increase in population = 2% 
Let the initial population be P and at the end of n years, the population increase by 40% i.e.,
A = P + 40% of P = P + 40/100P = 1.40P
We know that
MCQs`: Mathematics of Finance
⇒ 1.40 = (1.02)n
⇒ = log1.4/log1.02
⇒ n = 0.146/0.0086
⇒ n = 16.97 = 17 years (approx)
Hence, the correct answer is option (b)

Q12: A machine depreciates at 10% of its value at the beginning of a year. The cost and scrap value realized at the time of sale being ₹23,240 and ₹9,000 respectively. Approximately, for how many years the machine is put to use?
(a) 7 years
(b) 8 years
(c) 9 years
(d) 10 years
Ans: (c)

Sol:
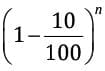
Given, Cost value =₹23,240, Scrap value =₹9,000
Rate of depreciation = 10%
Let for n years, the machine was put to use. 
We know that,
Scrap value = Cost value ×MCQs`: Mathematics of Finance
⇒ 9000 = 23240MCQs`: Mathematics of Finance
⇒ 9000/23240 = (0.9)n
⇒ 0.3873 = (0.9)n
Taking log on both sides, we get
log(0.3873) = n log(0.9)
⇒ n = log(0.3873)/log(0.9)
⇒ n = 9 years (Approx)
Therefore, for 9 years, the machine was put to use. 
Hence, the correct answer is option (c)

Q13: The present population of town is 25,000. If it grows at the rate of 4%, 5% and 3% during 1st year, 2nd year, 3rd year respectively, then find the population after 3 years. 
(a) 28,119
(b) 29,844
(c) 29,448
(d) 28,944
Ans: (a)

Sol:

Present population = 25,000

Population after 1st year:

= 25000 × (1 + 4/100)

= 25000 × 1.04

Population after 2nd year:

= 25000 × 1.04 × (1 + 5/100)

= 25000 × 1.04 × 1.05

Population after 3rd year:

= 25000 × 1.04 × 1.05 × (1 + 3/100)

= 25000 × 1.04 × 1.05 × 1.03

= 25000 × 1.12476

= 28119

Q14: Compute the compound interest on ₹6,000 for 1¹⁄₄ years at 8% p.a., interest will be compounded quarterly.
(a) ₹642
(b) ₹630.78
(c) ₹634.68
(d) ₹624.48
Ans: (d)

Sol:
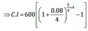
According to question, we have
P = ₹6000, t = MCQs`: Mathematics of Finance years & r = 8% p.a.
Since, the interest is compounded quarterly,
thus m = 4
We know that,
MCQs`: Mathematics of Finance
MCQs`: Mathematics of Finance
⇒ C.I = 600[(1.02)5 – 1]
⇒ C.I = 624.48
Therefore, the required interest is ₹624.48.

Q15: What will be the population after 3 years, when present population is 1,10,000 and the population increases at 3% in 1st year, at 4% in second year and 5% in third year
(a) 1,23,724
(b) 1,15,476
(c) 1,20,576
(d) 1,25,600
Ans: (a)

Sol:

Present population = 1,10,000

Population after 3 years:

= 110000 × (1 + 3/100) × (1 + 4/100) × (1 + 5/100)

= 110000 × 1.03 × 1.04 × 1.05

= 110000 × 1.12476

= 123724

Q16: The difference between simple interest and compound interest on a certain sum for 2 years at 10% p.a. is ₹10. Find the sum.
(a) ₹1010
(b) ₹1095
(c) ₹1000
(d) ₹990
Ans: (c)

Sol:
Given, 
Difference between compound interest and simple interest = ₹10
C.I. – S.I. = Pi2
⇒ 10 = P × (10/100)2
⇒ P = 10/(0.1)2
⇒ P = 1000
Therefore, the required sum is ₹1000.

Q17:  At a certain rate of interest per annum, the difference between the compound interest and simple interest on Rs. 3,00,000 for two years is Rs. 480, then the rate of interest per annum is:
(a) 2%
(b) 4%
(c) 6%
(d) 8%
Ans: (b)

Sol:

Given:

P = 3,00,000

Difference between CI and SI = 480

Formula:

Difference between CI and SI for 2 years = P × (r/100)²

Substituting values:

480 = 300000 × (r/100)²

(r/100)² = 480 / 300000

(r/100)² = 0.0016

r/100 = 0.04

r = 4%

Q18: If the difference between the compound interest compounded annually and simple interest on a certain amount at 10% per annum for two years is ₹372, then the principal amount is
(a) ₹37,000
(b) ₹37,200

(c) ₹37,500
(d) None of these

Ans: (b)

Sol:
We know that,
Difference between compound interest and simple interest for two years is given by Pr².
⇒ Pr² = 372
⇒ P(0.10)² = 372
⇒ P = 372 / (0.10)²
⇒ P = 372 / 0.01
⇒ P = 37,200
Therefore, the required principal amount is ₹37,200.

Q19: There is 60% increase in an amount in 6 years at simple interest. What will be the compound interest of ₹12,000 after 3 years at the same rate?
(a) ₹2,160
(b) ₹3,972
(c) ₹3,279
(d) ₹2,679
Ans: (b)

Sol:

Let the principal be P.

Given: 60% increase in 6 years

Amount = 1.6P

Simple Interest formula:

A = P(1 + rt)

Substitute values:

1.6P = P(1 + 6r)

1.6 = 1 + 6r

6r = 0.6

r = 0.1 = 10%

Now find compound interest on ₹12,000 for 3 years:

CI = P[(1 + r)³ − 1]

CI = 12000[(1.1)³ − 1]

CI = 12000(1.331 − 1)

CI = 12000 × 0.331

CI = 3972

⇒ Compound Interest = ₹3,972

Q20:  Mr. X makes a deposit of ₹50,000 in bank for a period of 2½ years. If the rate of interest is 12% per annum compound half yearly, then the maturity value of the money deposited by Mr. X is
(a) ₹66910
(b) ₹66123

(c) ₹67925
(d) ₹66550

Ans: (a)

Sol:
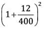
According to question, we have
P = ₹50,000, t = 2½ years & r = 12%
Since, the interest is compounded half yearly,
thus n = t × 2
⇒ n = t × m = 5/2 × 2 = 5
We know that,
Maturity value is given by:
P(1 + i)n
= 50000 MCQs`: Mathematics of Finance
= 50000(1.06)5
= 66910
Therefore, the required value is ₹66910.

The document MCQs' of Finance - Quantitative Aptitude for CA Foundation is a part of the CA Foundation Course Quantitative Aptitude for CA Foundation.
All you need of CA Foundation at this link: CA Foundation
96 videos|241 docs|83 tests

FAQs on MCQs' of Finance - Quantitative Aptitude for CA Foundation

1. What are the main components of the Mathematics of Finance?
Ans. The main components of the Mathematics of Finance include interest calculations (simple and compound), annuities, present and future value concepts, and the assessment of various financial instruments such as loans, investments, and insurance products.
2. How is simple interest calculated?
Ans. Simple interest is calculated using the formula I = P × r × t, where I represents the interest earned, P is the principal amount, r is the rate of interest per annum, and t is the time in years. The total amount after interest can be calculated as A = P + I.
3. What is the difference between present value and future value?
Ans. Present value (PV) refers to the current worth of a sum of money that is to be received in the future, discounted at a specific interest rate. Future value (FV), on the other hand, is the amount of money that an investment will grow to over a specified period at a given interest rate. The relationship between them can be expressed through the formulas PV = FV / (1 + r)ᵗ and FV = PV × (1 + r)ᵗ.
4. What are annuities and how are they classified?
Ans. Annuities are financial products that provide a series of payments made at equal intervals. They are classified into two main types: ordinary annuities, where payments are made at the end of each period, and annuities due, where payments are made at the beginning of each period. The calculation of their present value and future value differs based on this classification.
5. Why is understanding the time value of money important in finance?
Ans. Understanding the time value of money is crucial because it demonstrates that a sum of money has different values at different points in time due to its potential earning capacity. This concept underpins various financial decisions, including investment analysis, loan assessments, and retirement planning, emphasising the importance of earning interest on money over time.
Related Searches
pdf , MCQs' of Finance - Quantitative Aptitude for CA Foundation, Extra Questions, mock tests for examination, Exam, ppt, video lectures, past year papers, MCQs' of Finance - Quantitative Aptitude for CA Foundation, practice quizzes, Previous Year Questions with Solutions, MCQs' of Finance - Quantitative Aptitude for CA Foundation, study material, shortcuts and tricks, MCQs, Viva Questions, Semester Notes, Objective type Questions, Summary, Important questions, Sample Paper, Free;