Q1: There are 10 flights operating between City A and City B. Find the number of ways in which a person can travel from City A to City B and return by a different flight.
(a) 90
(b) 95
(c) 100
(d) 78
Ans: (a)
Sol:
Given, Total Flight = 10
Suppose a person picks a flight, thus he has 10 options.
Now, for the flights to be different on returning he has 9 options left.
Therefore, the total ways = 10 × 9 = 90
Hence, the correct answer is option (a) i.e. 90
Q2: A multiple choice test contains five questions and each question has four possible options. How many different answer keys are possible?
(a) 512
(b) 1024
(c) 20
(d) 625
Ans: (b)
Sol:
Given,Total question = 5
Since, each question has four possible options,
thus the possible different answer key = 45 = 1024
Q3: A person can go from place ‘A’ to ‘B’ by 11 different modes of transport but is allowed to return back to A by any mode other than the one earlier. The number of different ways, the entire journey can be completed is
(a) 110
(b) 1010
(c) 92
(d) 109
Ans: (a)
Sol:
Modes of transport while going A to B = 11
Modes of transport while going B to A = 10
Total ways = 11 × 10 = 110
Hence, the correct option is (a) i.e. 110
Q4: There are 12 questions to be answered in Yes or No. In how many ways this can be answered?
(a) 1024
(b) 2048
(c) 4096
(d) None of the above
Ans: (c)
Sol:
Given, Total number of question = 12
Since, each of the question can be answered in 2 ways (Yes or No)
Therefore, 12 questions can be answered in 2 × 2 × 2 ...... 12 times
= 212 ways
= 4096 ways
Q5: How many numbers of 5 digits can be made by using digits 3, 5, 6, 7 and 8, no digit being repeated?
(a) 120
(b) 60
(c) 100
(d) None
Ans: (a)
Sol:
Given digits = 3, 5, 6, 7, 8 (5 distinct digits)
Number of 5-digit numbers formed without repetition = 5!
5! = 5 × 4 × 3 × 2 × 1 = 120
Q6: How many 3 digit odd number can be formed using the digits 5, 6, 7, 8, 9, no digit can be repeated?
(a) 55
(b) 36
(c) 65
(d) 85
Ans: (b)
Sol:
Given digits = 5, 6, 7, 8, 9
For an odd number, the unit digit must be odd → (5, 7, 9)
Number of choices for unit digit = 3
Remaining digits = 4
Hundreds place can be filled in 4 ways
Tens place can be filled in 3 ways
Total numbers = 3 × 4 × 3 = 36
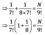
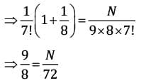
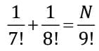
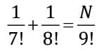
Q7: The value of N in
is
(a) 81
(b) 64
(c) 78
(d) 89
Ans: (a)
Sol:
Given,
⇒ N = 81
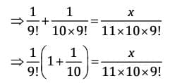
Q8: If
, then the value of x is
(a) 211
(b) 122
(c) 1331
(d) None of these
Ans: (d)
Sol:
Given,⇒ x = 11 × 11 = 121
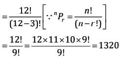
Q9: If 12 schools teams are participating in a quiz contest, then the number of ways First, second and third position may be won is
(a) 1230
(b) 1320
(c) 3210
(d) None of these
Ans: (b)
Sol:
Given; Total number of schools = 12
Since, order matters thus by using permutation
Total number of ways first, second and third position may be won = 12P3
Hence, option (b) is correct.
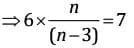
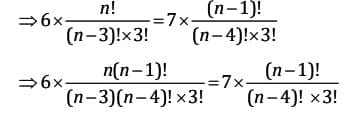
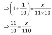
Q10: If six times the number of permutation of n things taken 3 at a time is equal to seven times the number of permutation of (n – 1) things taken 3 at a time, find n.
(a) 21
(b) 20
(c) 15
(d) 27
Ans: (a)
Sol:
According to question, we have
6 × nP3 = 7 × n–1P3
⇒ 6n = 7n – 21
⇒ n = 21
Q11: The number of ways the letters of the word “TRIANGLE” to be arranged so that word ‘ANGLE’ will be always present in
(a) 20
(b) 60
(c) 24
(d) 32
Ans: (c)
Sol:
Given; In the word ‘TRIANGLE’ the word ‘ANGLE’ should always be present.
Thus, consider ‘ANGLE’ as one letter so the letters will be T, R, I and ‘ANGLE’.
Therefore, there are 4 letters which can be arranged in 4! i.e. 24 ways.
Hence, option (c) is correct i.e., 24
Q12: The total number of arrangement of 8 persons of a board in a row with the President and the Vice-President occupying middle places is
(a) 6!
(b) 7!
(c) 6! × 2!
(d) 7! × 2!
Ans: (c)
Sol:
Given; Total persons = 8
Since, the President and the Vice-President be occupying middle places thus the required ways they can be seated is 2!.
Now, remaining persons = 6
Thus, the remaining persons can be seated in 6! ways.Therefore, the total ways = 6! × 2!
Q13: In how many ways can 5 doctors, 4 Professors and 6 Auditors be seated in a row so that all person of the same profession sit together?
(a) 3! × 5! × 4!
(b) 3! × 5!
(c) 3! × 5! × 4! × 6!
(d) 3! × 5! × 6!
Ans: (c)
Sol:
Given, 5 Doctors, 4 Professors and 6 Auditors be seated in a row
Since, all person of the same profession sit together i.e.,
Number of ways Doctors can be seated = 5!
Number of ways Professors can be seated = 4!
Number of ways Auditors can be seated = 6!
Since, these all three can also interchange their seats which can be done in 3! ways.
Therefore, the total required ways = 3! × 5! × 4! × 6! = 23.
Q14: In _______ ways can 4 Americans and 4 English men be seated at a round table so that no 2 Americans may sit together?
(a) 4! × 3!
(b) 4P4
(c) 3 × 4P4
(d) 4C4
Ans: (a)
Sol:
As we know, 4 Americans can be seated at a round table in (4 – 1)! = 3! ways.
Also, there are 4 spaces between two Americans so 4 English men can be seated in 4! ways.
Thus, the possible number of arrangements = 3! × 4!
Hence, option (a) is correct i.e., 4! × 3!
Q15: Out of 7 boys and 4 girls, a team of 5 is to be chosen. The number of teams such that each team includes at least one girl is
(a) 440
(b) 441
(c) 414
(d) 484
Ans: (b)
Sol:
Given, Number of boys = 7
Number of girls = 4
Number of teams with at least one girl = Total number of teams – Number of teams with no girl
= 462 – 21 = 441
Q16: A panel has total of 11 members including 5 males and 6 females. Find out the number of ways of picking 2 males and 3 females from the given panel team.
(a) 200
(b) 110
(c) 220
(d) 350
Ans: (a)
Sol:
Given; Total member = 11
Number of males = 5
Number of females = 6
Therefore, the number of ways of picking 2 males and 3 females from the given team is given by;
Q17: If there are 40 guests in a party. If each guest takes a shake hand with all the remaining guests. Then the total number of hand shake is
(a) 780
(b) 840
(c) 1500
(d) 1600
Ans: (a)
Sol:
No. of guests = 40
As we know for the shake hands, 2 persons are required.
Thus, total number of hand shakes = 40C2
= 40!/(40 2)! 2!
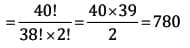
Q18: A fruit basket contains 7 apples, 6 bananas and 4 mangoes. How many selections of 3 fruits can be made so that all 3 are apples?
(a) 120 ways
(b) 35 ways
(c) 168 ways
(d) 70 ways
Ans: (b)
Sol:
Given, Number of apples = 7
Number of bananas = 6
Number of mangoes = 4
Thus, selections of 3 fruits such that all 3 are apples are done in 7C3 ways
= 7!/(7 3)! 3!
= 7 x 6 x 5/3! = 35
Q19: 3 ladies and 3 gents can be seated at a round table so that any two and only two of the ladies sit together. The number of ways is
(a) 70
(b) 27
(c) 72
(d) None of these
Ans: (c)
Sol:
Number of ways to choose 2 ladies out of 3:
3C2 = 3
These 2 ladies can be arranged among themselves in:
2! = 2 ways
The 3 gents can be arranged in:
3! = 6 ways
The remaining lady can be seated in 2 possible places.
Total number of ways = 3 × 2! × 2 × 3! = 72
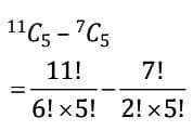
Q20: There are 20 points in a plane area. How many triangles can be formed by these points if 5 points are collinear?
(a) 550
(b) 560
(c) 1140
(d) 1130
Ans: (d)
Sol:
Given, Total points = 20
No. of collinear points = 5
We know that, 3 points are required to form a triangle for which atleast 2 points should be non-collinear.
Thus, the required triangles = 20C3 – 5C3
= 1140 – 10 = 1130Therefore, 1130 triangles can be formed using the given points.
Hence, the correct option is (d).
92 videos|224 docs|83 tests |
| 1. What are permutations? | ![]() |
| 2. How are combinations different from permutations? | ![]() |
| 3. What is the formula for calculating permutations? | ![]() |
| 4. What is the formula for combinations? | ![]() |
| 5. Can you provide an example of when to use permutations and when to use combinations? | ![]() |
92 videos|224 docs|83 tests |
![]() | Explore Courses for CA Foundation exam |