CA Foundation Exam  >  CA Foundation Notes  >  Quantitative Aptitude  >  MCQs' Sequence and Series - Arithmetic and Geometric Progressions - Quantitative

MCQs' Sequence and Series - Arithmetic and Geometric Progressions - Quantitative

Q1: If the fourth term of an Arithmetic Progression (A.P.) series is zero, then what is the ratio of the twenty-fifth term to the eleventh term?
(a) 4
(b) 5
(c) 3
(d) 2
Ans: (c)

Sol:
Let the first term be a and the common difference be d.
The nth term of an AP is:
tn = a + (n–1)d
Since, the 4th term is zero thus
t4 = a + 3d = 0
a = –3d
Now the 25th and 11th terms is given by:
t25 = a + 24d
t11 = a + 10d
Substitute a = –3d into these terms:
t25 = –3d + 24d = 21d
t11 = –3d + 10d = 7d
Therefore, the required ratio is given by:
t25/t11 = 21d/7d = 3

Q2: The 3rd term of arithmetic progression is 7 and Seventh term is 2 more than thrice of third term. The common difference is
(a) 4
(b) 3
(c) 5
(d) 6
Ans: (a)

Sol:
Let the first term be a, and common difference be d.
Third term: t3 = a + 2d = 7 ....(1)
Seventh term: t7 = a + 6d ....(2)
Given,
t7 = 3 × t3 + 2 = 3 × 7 + 2 = 21 + 2 = 23
From eq. (1)
a = 7 – 2d
Substitute into (2):
t7 = a + 6d = (7 – 2d) + 6d = 7 + 4d
i.e., 7 + 4d = 23
⇒ 4d = 16
⇒ d = 4

Q3: If 9th and 19th term of an Arithmetic Progression are 35 and 75 respectively, then its 20th term is
(a) 80
(b) 85
(c) 90
(d) 75
Ans: (b)

Sol:
Given: 9th and 19th term of an Arithmetic Progression are 35 and 75 respectively i.e.,
a9 = 35 & a19 = 75
Here, common difference is given by:
d = (a19 – a9)/(19 – 9)
⇒ d = 4
Therefore, 20th term is given by:
a20 = a19 + d
⇒ a20 = 75 + 4
⇒ a20 = 79

Q4: Find the 9th term of the A.P.: 8, 5, 2, –1, –4, ……
(a) –24
(b) –10
(c) –16
(d) –4
Ans: (c)

Sol:
Given A.P: 8, 5, 2, -1, -4, ...
Here, a = 8, d = 5 – 8 = -3
Thus, 9th term is given by 
t9 = a + (9 – 1)d
t= 8 + 8(-3) 
t9 = 8 – 24 
t9 = -16

Q5: In an arithmetic progression (A.P.), the seventh term is x and the (x + 7)th term is 0. Then, what is the xth term?
(a) 6
(b) 7
(c) 8
(d) 10
Ans: (b)

Sol:
First term = a
Common difference = d
Given,
t= a + 6d = x ...(1)
x + 7 = a + (x + 6)d = 0 ...(2)
or,
a = x – 6d   [From Equ. (1)]
tx + 7 = (x – 6d) + (x + 6)d = 0
Thus,
x – 6d + xd + 6d = 0
⇒ x + xd = 0
⇒ d = -1
Now, a = x – 6d = x – 6(1) = x + 6
Therefore, the xᵗʰ term is given by:
tx = a + (x – 1)d
= (x + 6) + (x – 1)(-1)
= x + 6 – x + 1 = 7
Hence, the xth  term is 7.

Q6: Find the 17th term of an AP series if 15th and 21st terms are 30.5 and 39.5 respectively.
(a) 33.5
(b) 35.5
(c) 36.0
(d) 38.0
Ans: (a)

Sol:
According to question, we have 
t15= 30.5 and t21 = 39.5
 ⇒ a + 14d = 30.5 and a + 20d = 39.5
On subtracting both the equations, we get 
a + 20d – (a + 14d) = 39.5 – 30.5 
⇒ 20d – 14d = 9
 ⇒ 6d = 9 
⇒ d = 1.5
Now, a = 30.5 – 14d = 30.5 – 14(1.5) = 9.5
Therefore, 17th term is given by: 
t17  = a + 16d 
⇒ t17 = 9.5 + 16(1.5) 
⇒ t17 = 33.5

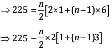
Q7: Find the value of ‘x’ for the following data 1 + 7 + 13 + 19 + ……. + x = 225.
(a) 56
(b) 63
(c) 49
(d) 42
Ans: (c)

Sol:
Given data; 1 + 7 + 13 + 19 + ....... x = 225
Clearly, it is an A.P with a = 1 & d = 6. 
We know that, 
Sum of n terms of A.P MCQs`: Sequence and Series - Arithmetic and Geometric Progressions

MCQs`: Sequence and Series - Arithmetic and Geometric Progressions

⇒ n(1 + 3n – 3) = 225
⇒ n(3n – 2) = 225
⇒ 3n2 – 2n – 225 = 0
⇒ 3n2 – 27n + 25n – 225 = 0
⇒ 3n(n – 9) + 25(n – 9) = 0
⇒ (3n + 25)(n – 9) = 0
⇒ n = 9, n = -25/3 (Reject)
⇒ n = 9
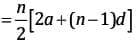
Also, sum of n terms is given by:
Sn= n/2 (a + l)
⇒ n/2 (1 + x) = 225
⇒ 9/2 (1 + x) = 225
⇒ (1 + x) = 50 
⇒ x = 449

Q8: The 4 arithmetic means between –2 and 23 are
(a) 3, 13, 8, 18
(b) 18, 8, 3, 13
(c) 3, 8, 13, 18
(d) None of these
Ans:(c)

Sol:
We are to insert 4 arithmetic means between –2 and 23. 
So, the sequence will have 6 terms total: 
–2, _, _, _, _, 2
This is an Arithmetic Progression (A.P.) Let the common difference be d.
Let the sequence be: 
–2, a2, a3, a4, a5, 23
The 6th term in an A.P. is: 
a6 = a1 + 5d = –2 + 5d = 23 
⇒ 5d = 25 
⇒ d = 5
Now compute the terms:
⇒ a1 = –2
⇒ a2 = –2 + 5 = 3 
⇒ a3 = 3 + 5 = 8 
⇒ a4 = 8 + 5 = 13 
⇒ a5 = 13 + 5 = 18
⇒ a6 = 18 + 5 = 23
The four arithmetic means are: 3, 8, 13, 18

Q9: Insert 4 numbers between 2 and 22 such that the resulting sequence is an Arithmetic Progression (A.P.).
(a) 4, 8, 12, 16
(b) 5, 9, 13, 17
(c) 4, 10, 15, 19
(d) 6, 10, 14, 18
Ans: (d)

Sol:
We are to insert 4 numbers between 2 and 22 → total 6 terms in the A.P. 
Let the 6 terms be:
2, a2, a3, a4, a5, .....22
Let the common difference be d. Then:
First term, a = 2
Sixth term, a + 5d = 22
2 + 5d = 22
⇒ 5d = 20
⇒ d = 4
Now compute the terms:
a2 = 2 + d= 6
a3 = 2+ 2d = 10
a4 = 2+ 3d = 14 
a5 = 2+ 4d = 18
Therefore, the required numbers are 6, 10, 14, 18.

Q10: A roadside tea stall merchant borrows ₹5,000 at 2.76% simple interest per annum. The principal and interest are to be paid in 10 monthly instalments, where each instalment is double the preceding one. Find the value of the last instalment.
(a) ₹4,608
(b) ₹1,024
(c) ₹9,207
(d) ₹4,096
Ans: (b)

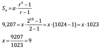
Sol:
According to question, we have
Principle P = ₹9,000
Rate R = 2.76% per annum
Time T = 10 months = 10/5 =  12/6 = year
Simple Interest (S.I.) is given by
MCQs`: Sequence and Series - Arithmetic and Geometric Progressions

Total amount to be repaid = ₹9,000 + ₹207 = ₹9,207

Let the first instalment be = ₹x.

Each instalment is double the previous one → geometric progression with: 
First term a = x 
Common ratio r = 2 
Number of terms n = 10
Sum of a G.P
MCQs`: Sequence and Series - Arithmetic and Geometric Progressions
Therefore, the last instalment is given by: 
Last (10th) instalment = x.29 = 9.512 = ₹4,608

Q11: The 7th term of the series 6, 12, 24, ….. nth term is_____.
(a) 384
(b) 834
(c) 438
(d) 854
Ans: (a)

Sol:
The series is 6, 12, 24...... which is a Geometric Progression (G.P.) because each term is multiplied by the same ratio. 
First term, a = 6
Common ratio, r = 12/6 = 2
The nth term of a G.P. is given by
tn = a × rn–1
For the 7th term: 
t= 6 × 27–1 = 6 × 26 = 6 × 64 = 384

Q12: The last term of the series x², x, 1, ….. to 31 terms is
(a) x28
(b) 1/x
(c) 1/x28
(d) 1/x30
Ans: (c)

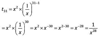
Sol:
The series is:
x2, x, 1,.......

This is a Geometric Progression (G.P.) with:
 First term a = x2
Common ratio r = x/x2 = 1/x
Therefore, the 31st term is given by;
MCQs`: Sequence and Series - Arithmetic and Geometric Progressions

Q13: In a G.P. 5th term is 27 and 8th term is 729. Find its 11th term
(a) 729
(b) 6561
(c) 2187
(d) 19683
Ans: (d)

Sol:
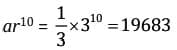
Let the first term of G.P. be ‘a’ and common ratio ‘r’.
According to question, we have
t5 = ar= 27 ...(1)
t8 = ar7 = 729 ...(2)
Dividing eq., (2) by eq., (1), we get
ar7/ ar4 = 729/27
⇒ r3 = 27 
⇒ r3 = 3 3
 ⇒ r = 3
Put the value of ‘r’ in eq (1), we get 
a (3)4 = 27 
⇒ a = 1/3
Therefore, the 11th term will be

MCQs`: Sequence and Series - Arithmetic and Geometric Progressions

Q14: If 4th, 7th and 10th terms of a Geometric Progression are p, q and r respectively, then:
(a) p2 = qr + r2
(b) p2 = qr
(c) q= pr
(d) pqr + pr + 1 = 0
Ans: (b)

Sol:

According to question, we have
a4 = ar3 = p ...(1)
a7 = ar6 = q ...(2)
a10 = ar9 = r ...(3)
Multiplying eq. (1) and eq (3), we get
(ar3)(ar9) = pr
⇒ a2 r12 = pr
⇒ (ar6)2 = pr
⇒ q2 = pr

Q15: Find the sum of the series:
MCQs`: Sequence and Series - Arithmetic and Geometric Progressions …… up to 6 terms
(a) 63/32
(b) 32/63
(c) 26/53
(d) 53/26
Ans: (a)

Sol:
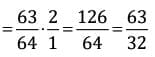
Given series:MCQs`: Sequence and Series - Arithmetic and Geometric Progressions
This is a Geometric Progression (G.P.) where;

First term a = 1

Common ratio r = 1/2

Number of terms, n = 6

We know that,

MCQs`: Sequence and Series - Arithmetic and Geometric Progressions
MCQs`: Sequence and Series - Arithmetic and Geometric Progressions

Q16: The sum of 3 numbers of a G.P is 39 and their product is 729. The numbers are-
(a) 3, 27, 9
(b) 9, 3, 27
(c) 3, 9, 27
(d) None of these
Ans: 
(c)

Sol:
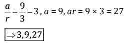
Let the three numbers of Geometric Progression be;
a/r , a , a r
According to question, we have
a/r + a + ar = 39
a + ar + ar2 = 39r 
⇒ a(1 + r + r2) = 39r
Also, product of numbers is given by
(a/r) ·a· ar = a3 = 729
⇒ a = ³√729 = 9
Substitute the value of a in above equation, we get
9(1 + r + r2) = 39 r
3(1 + r + r2) = 13 r
3 + 3 r + 3 r2 = 13 r
⇒ 3 r2 – 10 r + 3 = 0
Use quadratic formula:
MCQs`: Sequence and Series - Arithmetic and Geometric Progressions
So,
r = 18/6 = 3
r = 2/6 = 1/3
Case 1: r = 3, a = 9
Numbers
MCQs`: Sequence and Series - Arithmetic and Geometric Progressions
Case 2: r = 1/3
Then the numbers are:
a/r = 9/(1/3) = 27 
a = 9
 a r = 9 · (1/3) = 3
So the numbers are: 27, 9, 3 
Therefore, the required numbers are 3, 9, 27.

Q17: The product of three numbers which are in GP is 512. Then the second number is:
(a) 3
(b) 2
(c) 6
(d) 8
Ans: 
(d)

Sol:
Let the three numbers in GP be:
a/r, a, ar
i.e., a3 = 512
MCQs`: Sequence and Series - Arithmetic and Geometric Progressions
Therefore, the second number is a = 8

Q18: The sum of three numbers in G.P is 70. If the two extremes multiplied each by 4 and the mean by 5, the product are in A.P. The numbers are
(a) 12, 18, 40
(b) 10, 20, 40
(c) 40, 20, 15
(d) None of these
Ans: (b)

Sol:
Go by options:
Option (a): 12, 18, 40
Clearly, 12, 18, 40 are not in G.P. since common ratio is not constant i.e., 18/12 ≠ 40/18
Option (b): 10, 20, 40
Clearly, they are in G.P.
Sum of numbers = 10 + 20 + 40 = 70
Now, on multiplying two extremes each by 4 and the means by 5, we get 40, 100 and 160
Therefore, 100 – 40 = 60 and 160 – 100 = 60
Clearly, they are in A.P.
Hence, 10, 20, 40 satisfies all the given conditions.

Q19: The numbers x, 8, y in Geometric Progression (G.P) and the numbers x, y, -8 are in Arithmetic Progression (A.P). Find the values of x and y respectively.
(a) 4, 16
(b) 16, 4
(c) 4, 8
(d) 8, 4
Ans: (a)

Sol:

Since, x, 8, y are in G.P., the middle term squared equals the product of the first and third terms: 
82 = x × y ⇒ 64 = x y  ...(1)

Since, x, y, –8 are in A.P., twice the middle term equals the sum of the first and third terms: 
2y = x + (–8) ⇒ 2y = x – 8   ...(2)

From eq. (2), we have 
x = 2y + 8

Therefore, eq.(1) will becomes 
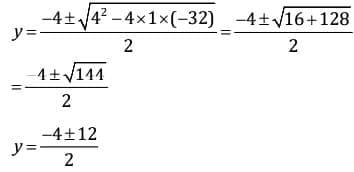
64 = y(2y + 8) = 2y2 + 8y 
2y2 + 8y – 64 = 0 
y2 + 4y – 32 = 0
MCQs`: Sequence and Series - Arithmetic and Geometric Progressions
MCQs`: Sequence and Series - Arithmetic and Geometric Progressions
Therefore, the value of x will be; 
For y = 4; x = 2(4) + 8 = 8 + 8 = 16

For y = –8; x = 2(–8) + 8 = –16 + 8 = –8

Therefore, (16, 4), (–8, –8) are the requiredpairs.

Hence, out of the given options, option (a) is correct.

Q20: If the A.M and G.M. for two numbers are 6.50 and 6 respectively then the two numbers are
(a) 6 and 7
(b) 9 and 4
(c) 10 and 3
(d) 8 and 5
Ans: (b)

Sol:
Let the two numbers be a and b.
Step 1: Use A.M. formula
A.M = (a + b)/2 = 6.5
⇒ a + b = 13
Step 2: Use G.M. formula
G.M = √(ab) = 6
⇒ ab = 36
We now have,
 a + b = 13
ab = 36
Clearly, option (b) satisfies both the above conditions i.e.,
9 + 4 = 13 and 9 × 4 = 36
Hence, option (b) is correct.

The document MCQs' Sequence and Series - Arithmetic and Geometric Progressions - Quantitative is a part of the CA Foundation Course Quantitative Aptitude for CA Foundation.
All you need of CA Foundation at this link: CA Foundation
96 videos|241 docs|83 tests

FAQs on MCQs' Sequence and Series - Arithmetic and Geometric Progressions - Quantitative

1. What is an Arithmetic Progression (AP)?
Ans. An Arithmetic Progression (AP) is a sequence of numbers in which the difference between any two consecutive terms is constant. This constant is known as the common difference, denoted by 'd'. For example, in the sequence 2, 5, 8, 11, the common difference is 3.
2. How do you find the nth term of an Arithmetic Progression?
Ans. The nth term of an Arithmetic Progression can be calculated using the formula: aₙ = a + (n - 1)d, where 'a' is the first term, 'd' is the common difference, and 'n' is the term number. This formula allows one to determine any term in the sequence based on its position.
3. What is a Geometric Progression (GP)?
Ans. A Geometric Progression (GP) is a sequence of numbers where each term after the first is obtained by multiplying the previous term by a fixed non-zero number known as the common ratio, denoted by 'r'. For example, in the sequence 3, 6, 12, 24, the common ratio is 2.
4. How can you calculate the sum of the first n terms of a Geometric Progression?
Ans. The sum of the first n terms of a Geometric Progression can be calculated using the formula: Sₙ = a(1 - rⁿ) / (1 - r) for r ≠ 1, where 'a' is the first term, 'r' is the common ratio, and 'n' is the number of terms. This formula helps in finding the total of the first n terms effectively.
5. What is the relationship between Arithmetic and Geometric Progressions?
Ans. The relationship between Arithmetic and Geometric Progressions lies in their definitions and characteristics. While an AP is defined by a constant difference between terms, a GP is defined by a constant ratio. Though they represent different types of sequences, they can sometimes be interrelated in certain mathematical problems, such as when considering the product of terms in an AP forming a GP or vice versa.
Related Searches
Important questions, Extra Questions, ppt, MCQs, Sample Paper, Exam, Semester Notes, Objective type Questions, MCQs' Sequence and Series - Arithmetic and Geometric Progressions - Quantitative, Summary, Viva Questions, shortcuts and tricks, pdf , video lectures, practice quizzes, past year papers, MCQs' Sequence and Series - Arithmetic and Geometric Progressions - Quantitative, mock tests for examination, study material, Previous Year Questions with Solutions, Free, MCQs' Sequence and Series - Arithmetic and Geometric Progressions - Quantitative;